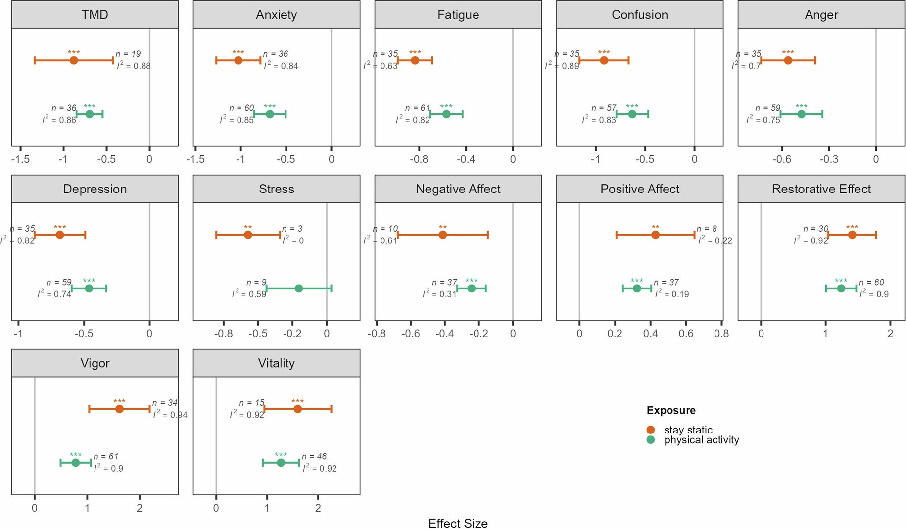
Extended Data Fig. 6: Subgroup analysis of pooled effect sizes for mental health outcomes by nature exposure type.

All statistical elements in the forest plots—including error bars, significance levels, sample sizes (n), and heterogeneity statistics (I²)—are as described in Fig. 3.