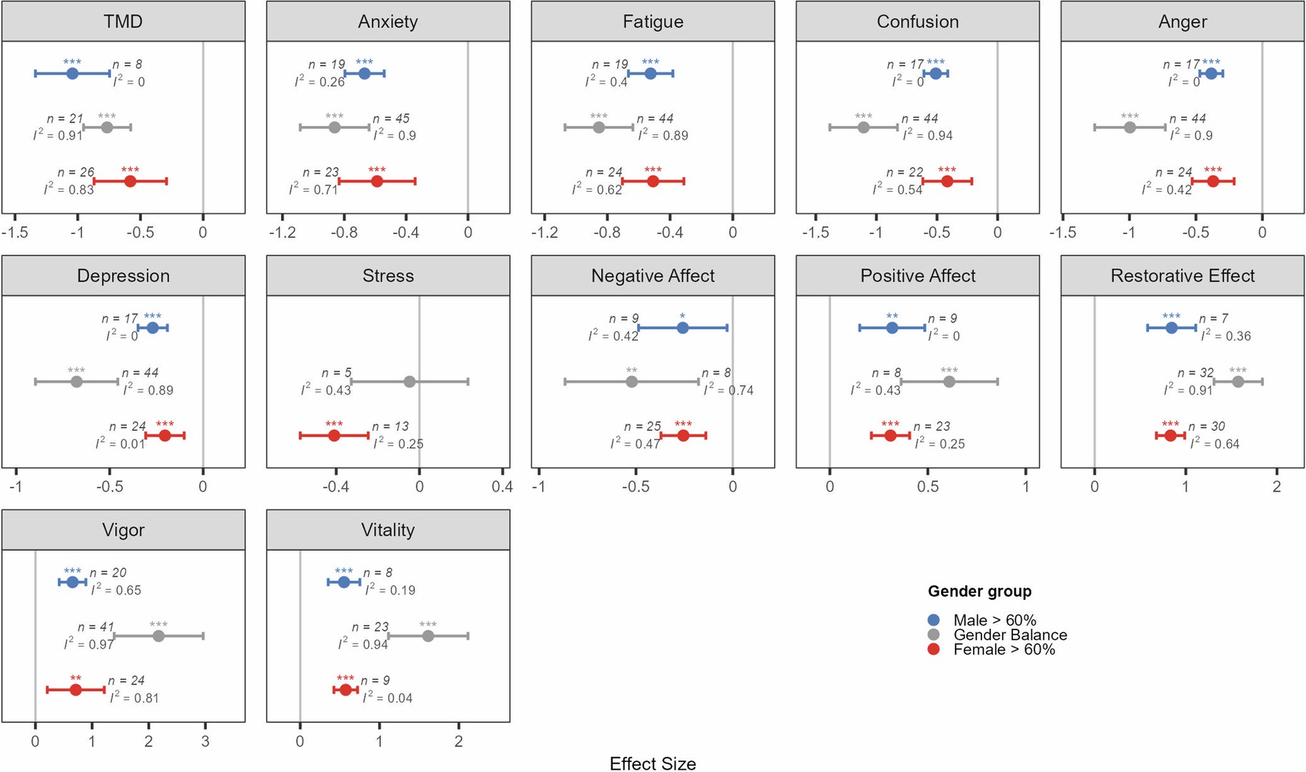
Extended Data Fig. 8: Subgroup analysis of pooled effect sizes for mental health outcomes by gender representation.

All statistical elements in the forest plots—including error bars, significance levels, sample sizes (n), and heterogeneity statistics (I²)—are as described in Fig. 3. We categorized studies based on the proportion of female and male participants to account for potential gender differences, as most experimental studies included mixed-gender samples with limited effect size data available for male-only or female-only groups.