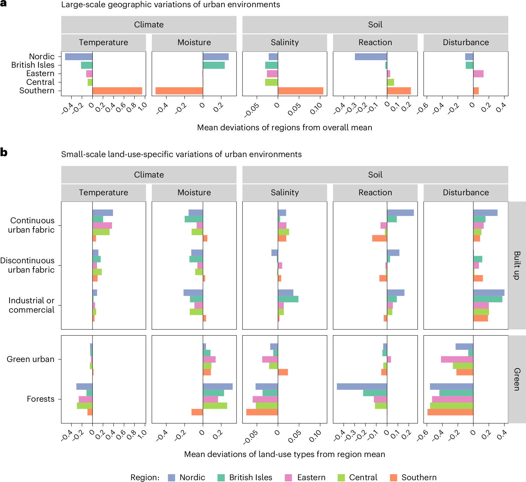
Fig. 2: Urban environmental variation of European cities inferred by MCSE.
From: Urbanization signatures on climate and soils uncovered by crowd-sensed plants

a, Between-region variations of city-mean conditions plotted as region deviations from the overall mean. For example, the climatic gradients ranging from the warm and dry Southern countries to the cool and moist Nordic countries are shown. b, Within-city variations by urban land use are plotted as mean deviations of land-use types from the region mean. Besides the well-known urban heat island phenomenon, parallel patterns of consistent environmental land-use profiles across regions are also evident for moisture, soil disturbance and salinity. Panels a and b show a consistent scale for comparison of the environmental gradients between regions and between land-use types within cities. Results are based on the marginal effects obtained by a mixed-effect analysis of variance (fixed effects: region, land-use class and their interaction; random intercept: city) for each environmental variable of 326 cities (Nordic (n = 19), Eastern (n = 31), Central (n = 188), British Isles (n = 45) and Southern (n = 31); Methods). Extended Data Fig. 6 shows the results including light, soil nutrients and agricultural land use and Extended Data Fig. 7 shows the results based on biogeographic regions instead of planning families. Estimated marginal means, standard errors and 95% confidence intervals of model parameters are provided in the.