Abstract
Mature and old-growth forests (MOG) provide essential ecosystem services, yet they face increasing threats. Currently, high-intensity, high-severity wildfires are the main driver for loss of MOG on federally managed forests across the United States. Quantifying MOG forests with greatest exposure to stand-replacing wildfires provides essential information for land managers. We integrated geospatial data from fire behavior simulations (fire intensity), fire refugia prediction (fire severity), forest type mapping, and carbon estimates to assess exposure of MOG forests to stand-replacing wildfires in national forests within the Northwest Forest Plan region of the Pacific Northwest. We show that ca. 75% of MOG exposure is in areas with historically frequent, low-severity fire, that fire refugia capacity may help mitigate exposure between 6 to 21% across forest types, and expected carbon emissions are greatest in the Klamath Mountains ecoregion. Our findings demonstrate the geography of exposure for MOG and aim to inform regional priorities for MOG stewardship.
Similar content being viewed by others
Introduction
Mature and old-growth (MOG) forests provide crucial ecosystem services, from carbon sequestration1,2, ecotourism and cultural services, regulation of hydrological cycles3, to critical habitats for biodiversity4. Through the 1900s, MOG on national forests in the United States (USA) experienced major declines due to logging5. In recent years, wildfires have become the primary threat to older forests on many federal lands5, representing a net loss of 2.6 million acres of mature forest and 700,000 acres of old-growth forest since 20005 on federal lands mandated for multiple uses (e.g., timber, habitat, recreation). Current trends reveal a continuous increase in area burned and wildfire severity in the western USA recorded in the last decade6,7, driven by a growth in number of human ignitions8,9,10, warmer and drier fire seasons, along with increased droughts, exacerbated by climate change11,12,13,14, and landscape fuels created through management and fire exclusion policies15,16.
Development of land management strategies to address the loss of MOG to stand-replacing wildfire is critical to maintaining these socio-ecological resources. Quantifying the spatial footprint of regional exposure of these high-value resources using spatial data and fire ecology analytics provides information necessary to understand the geography of MOG forests with greatest (and least) exposure, and help prioritize stewardship actions. Here, we use the term exposure to represent the spatial coincidence of the likelihood of stand-replacing fire and the location of highly valued resources17.
The importance of MOG has been long recognized in the Pacific Northwest USA, and efforts to protect MOG forests, conserve biodiversity, and support timber economies led to the creation of the Northwest Forest Plan (NWFP) in 199418. Given the monitoring needs for this plan, an annual time series of forest structure and composition map layers was developed and annually updated19,20. These same data layers can be used to understand the geography of hazard in this region, which first requires mapping MOG forests (e.g., using Old-Growth Structure Index—OGSI19,20), recognizing variability in MOG forest types, and understanding MOG ecological dynamics. Differentiating between types of MOG—such as dry forest, moist forest, and cold forest or e.g., by using Potential Natural Vegetation—PNV21—is essential to interpreting MOG resilience and management needs. Equally important is integrating the concept of fire refugia—areas that burn less severely or less frequently than their surroundings (e.g., topo-climatic fire refugia, holistic fire refugia)22,23,24,25—to identify where the interaction between topography, vegetation, and fire weather and climate is most likely to provide refugial capacity and maintain MOG in the face of fire. Finally, including information about historical fire regimes, i.e., fire frequency and severity patterns prior to European settlement26, provides context for understanding exposure to stand-replacing fire, given the effects of fire exclusion policies in reshaping forest conditions in the region for more than 150 years.
Risk-based landscape analysis can inform land managers and decision-makers as to the expected outcomes for values at risk from a range of actions and a no-action alternative27. This risk framework incorporates the likelihood of an event, the distribution of event intensities, and the impact of each intensity on the value at risk (the response function), allowing estimation of the expected value change from each management action. Currently, simulations and empirical statistical models are a fundamental component of fire risk assessment frameworks for hazard prediction (e.g.28,). Large-scale fire simulations have been used in multiple studies and contexts, as they are able to provide crucial knowledge across broad regions and help shape fire and forest management policies29. Recent developments in fire simulations supported the creation of national maps of annual burn probability and conditional fire intensity (flame length) in the USA30. Among other applications, these nation-wide products quantify and guide target actions to highest exposure of human communities to wildfires31,32, leading to the development of a national strategy to address the wildfire crisis in the western US29. Similarly, estimates of annual burn probability and specific flame length values can be combined to generate information on the expected annual burned area at high-intensity fire (aBAHI). Given that fire intensity is related to fire severity33, this fire descriptor can then be used to assess the exposure of MOG to high-intensity/high-severity stand-replacing fire, and provide a comprehensive framework for informing conservation efforts aimed at sustaining MOG forests in fire-prone landscapes.
In this study, our primary objective is to quantify the geography of exposure of MOG forests to intense wildfire behavior linked to high-severity fire effects in forests. Understanding this exposure is essential for guiding management actions that reduce the risk of stand-replacing wildfire and sustain critical ecosystem services. Particularly, we ask: 1) how does exposure of MOG to wildfire vary among national forest units, ecoregions, and forest types, within the context of historic fire regimes; 2) what is the potential role of fire refugia in mitigating exposure to stand-replacing fire?; and 3) what is the geography of projected carbon emission related to loss of MOG to stand-replacing wildfire as a key ecosystem service provided by MOG forests? We use fire behavior simulations to assess the exposure of vegetation-specific MOG forests located in national forests (NFs) in the region of the NWFP in the Pacific Northwest USA (Fig. 1) to high-intensity stand-replacing wildfires. We identified the MOG forest types that are most exposed to high-intensity fires, integrated these outcomes with quantitative estimates of fire refugia to understand the potential capacity of local-scaled biophysical conditions to maintain MOG, and analyzed the results in the context of historical fire regimes to connect our findings with current understanding of socio-ecological risks of fire exclusion. By using the NWFP as an example, we showcase how multiple data layers - such as fire exposure, forest type, and fire refugia - can be combined to comprehensively characterize MOG exposure to stand-replacing fires. Overall, fire exclusion has left historically fire-resilient MOG forests disproportionately exposed. This analysis offers critical information to inform discussion of regional priorities for MOG stewardship to promote the resistance and resilience of MOG forests and forest ecosystems as a whole.
a Shows the Omernik Level III ecoregions, and b shows the historical fire regimes (adapted from ref. 26).
Results
MOG exposure to stand-replacing fires
The amount of simulated annual burned area at high intensity (aBAHI) represents the magnitude of exposure for each NF, ecoregion, and forest types within the footprint of the NWFP region (Fig. 1) Figures S1 and S2 illustrate mapped aBAHI across the entire region, also presented as interactive figures (https://firerefugia.forestry.oregonstate.edu/npj_MOG_interactive.html). Results for old-growth forests (Fig. 2a) show the Shasta-Trinity NF is the most exposed to high-intensity fires, with an annual average area of aBAHI of ca. 800 ha (representing 1% annually of the total amount of old-growth in this NF), followed by the Okanogan-Wenatchee NF and by Klamath NF, with an aBAHI of ca. 710 ha (0.8%) and ca. 500 ha (0.65%), respectively. A similar pattern is observed in mature forests (Fig. 2b), with Okanogan-Wenatchee being the NF with more area of mature forests threatened annually by high-intensity fire (ca. 2500 ha, representing 1% of the total amount of mature forests in this NF), followed by Shasta-Trinity (ca. 2100 ha, 0.9%) and Klamath (ca. 800 ha, 0.6%).
The figure shows estimates for (a) old-growth and (b) mature forests by national forest within the Northwest Forest Plan region, organized by ecoregion and by PNV forest type. Note the range of values illustrated on y-axis varies among panels. Panels are organized from highest to lowest, from left to right; the Klamath Mountains and North Cascades ecoregions host the highest overall exposure for both old-growth and mature forests. To view these data as percentage of total area, see Supplementary Material Figs. S3, S6, S8, including interactive materials: https://firerefugia.forestry.oregonstate.edu/npj_MOG_interactive.html.
By ecoregion and for both old-growth and mature forests, the highest exposure is in the Klamath Mountains/California High North Coast Range, followed by the North Cascades (Fig. 2). The ecoregion with lowest exposure is the Coast Range. In fact, for both old-growth and mature forests, the total aBAHI within the Klamath Mountains/California High North Coast Range (hereafter Klamath Mountains) alone is higher than the sum of the aBAHI in all the other NF and ecoregions.
Calculating the exposure as percentage of total MOG within a study unit provides important detail for understanding the context of potential loss. The Okanogan-Wenatchee has the highest percentage and amount of MOG exposed to high intensity fire, followed by Shasta-Trinity, Mt. Hood, and Klamath (Fig. S3). Overall, the calculated aBAHI is correlated with the total MOG in each NF, illustrating the more MOG there is the more likely it is to be exposed. Notable exceptions include fire-infrequent Mt. Baker-Snoqualmie and the Willamette NFs with proportionally lower exposure given high amounts of MOG (Fig. S4). Similar patterns occur when calculating exposure as percentage of total MOG in each ecoregion. For example, substantial MOG (37% of total in study area) occurs within the Klamath Mountains ecoregion and it has the highest aBAHI of all ecoregions (Fig. S3). Within MOG as a whole, the proportion of mature versus old-growth exposed to stand-replacing fire (aBAHI) varies by NF and forest type, but over the region old-growth forests are less exposed (Fig. S5).
The most exposed forest types, by total area, across the region are the white fir—grand fir and Douglas-fir Potential Natural Vegetation (PNV) types, with ca. 1371 ha and 671 ha annually exposed in old-growth areas, and 3006 ha and 2662 ha in mature forests, respectively (Fig. S6). The estimated exposure is roughly correlated with total area of each MOG forest type (Fig. S7), with some exceptions. Notably, the subalpine fir—Engelmann spruce MOG forest type is relatively rare but has the highest annual percentage of total MOG exposed (Fig. S8). The PNV forest type classification system identifies forests by their dominant ‘late seral’ species, i.e., in the absence of disturbance. Accordingly, white fir-grand fir and Douglas-fir forest types are often proxies for forests where historically frequent or mixed severity fire regimes maintained dry, open forest species (e.g., ponderosa pine (Pinus ponderosa), Douglas-fir (Pseudotsuga menziesii), sugar pine (Pinus lambertiana), oaks (Quercus spp.) and tanoak (Notholithocarpus densiflorus, larch (Larix spp.), etc.) as characteristic old forest components, and where fire exclusion has resulted in the densification and infilling of stands to closed-canopy late seral conditions.
MOG exposure to stand-replacing fires: fire refugia capacity
Topo-climatic and holistic fire refugia data are integrated into analysis to further refine and quantify the geography of exposure to stand-replacing fire for MOG, since fire refugia capacity presents the opportunity to mitigate wildfire exposure. The topo-climatic fire refugia dataset considers topographic variables and climate to model fire refugia capacity, while the holistic fire refugia dataset uses the variables of topography, fire weather, and fuels/vegetation to model fire refugia capacity25. The two datasets can also be combined, so that fire refugia capacity is identified whenever at least one of the datasets indicates fire refugia (topo-climatic + holistic).
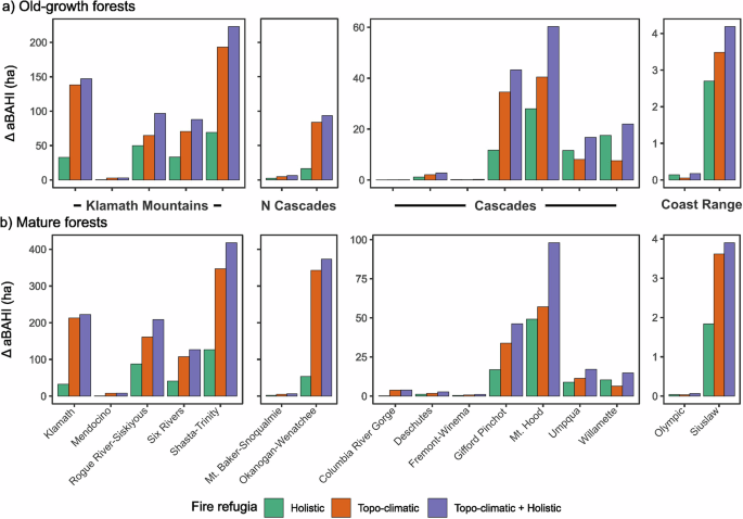
Fire refugia capacity potentially protects MOG against stand-replacing wildfire, represented here as a change (delta) in aBAHI. Figure 3 shows the overall change in aBAHI, organized by national forest and ecoregion. Overall, the cumulative layer that includes areas with high probability of topo-climatic and holistic fire refugia indicates the greatest capacity (by area) for protecting MOG, followed by the topo-climatic, and then holistic fire refugia layers alone. Considering both layers as a combined indicator of refugial capacity leverages the related information each provides. Note, we consider fire refugia capacity here as ‘potential’, recognizing these models represent probabilities of fire refugia and are not intended to provide certain outcomes. In absolute terms, the Shasta-Trinity shows the greatest potential change in aBAHI for all three classes of fire refugia capacity. In comparison, the Okanogan-Wenatchee appears to have more limited refugial capacity for MOG both in absolute and relative terms (see Table S1 and Table S2). By percentage change in aBAHI for MOG (Fig. S9), the Siuslaw exhibits the highest fire refugial capacity, highlighting strong fire refugial capacity in a context of relatively low aBAHI. Naturally, the overall area of fire refugia in MOG sites, and percentage of MOG classified as fire refugia varies across NFs (Fig. S9). For example, the Siuslaw NF shows the highest fire refugia in MOG areas (85% (ca. 100,000 ha) of all MOG sites are considered to be fire refugia when considering the topo-climatic + holistic dataset), while the Fremont-Winema shows the lowest (4% (ca. 2700 ha) of all MOG sites when considering the same fire refugia dataset).
The figure shows reductions of (a) old-growth and (b) mature forests area exposed to stand-replacing fires by national forest when considering fire refugia capacity. Note the range of values illustrated on y-axis varies among panels. Panels are organized from highest to lowest, from left to right.
Overall, old-growth forests (Fig. 3a) and mature forests (Fig. 3b) show similar patterns for reduction in aBAHI when considering fire refugial capacity. By overall area, mature forests have more fire refugia capacity than old-growth (Fig. 3), but proportionally a greater amount of old-growth forest occurs in fire refugia (Tables S1 and S2). A total of 8%, 19%, and 24% reduction in aBAHI is estimated for old-growth across the study area for holistic, topo-climatic and holistic + topo-climatic datasets, respectively. For mature forests, the estimated reduction in aBAHI is 6%, 17% and 20% for the same datasets. When considering MOG forests as a whole, we estimate a reduction of 6%, 18% and 21% in aBAHI from fire refugia capacity.
We quantified the relative exposure of MOG by forest type and the role of fire refugia to highlight forest types potentially facing the highest risk of loss, even if those forest types are not widespread (Fig. 4). Overall, the MOG forest types proportionally most exposed to stand-replacing fire across the NWFP region are subalpine fir (1.1% aBAHI), foothill pine (0.9%), Douglas-fir (0.9%), and white fir—grand fir (0.7%; Fig. 4a). From these four forest types, the exposure of both the subalpine fir and foothill pine is almost entirely within a single NF (Okanogan-Wenatchee and Shasta-Trinity, respectively (Fig. S6)—also highlighting the limited area of these forest types in the region—Fig. S8), while the exposure of white fir—grand fir and Douglas fir appears to be more dispersed, reflecting the widespread range of these forest types (Fig. S6). Figure 4b shows the reduction in the exposure to stand-replacing fires for each forest type when fire refugia are considered. From the four forest types proportionally most threatened by stand-replacing wildfires (subalpine fire, foothill pine, Douglas-fir, white fir-grand fir), the subalpine fir type seems to occur in areas where fire refugia capacity is the weakest, particularly when considering the holistic fire refugia. This limited fire refugial capacity likely reflects the properties of this ecosystem type, and low fire resistance plant traits for dominant tree species such as thin bark. The Douglas-fir type shows the highest fire refugia capacity, illustrated by the potential reduction in the annual percentage of MOG exposed when considering all fire refugia datasets (topo-climatic + holistic). Both foothill pine and white fir—grand fir forest types show intermediate fire refugia capacity. Of note, the tanoak, Port Orford cedar, and redwood forest types also show high refugial capacity demonstrated by a high reduction in annual exposure to stand-replacing wildfires, particularly when considering the holistic fire refugia. The patterns described above are similar between old-growth and mature forests (Figs. S10 and S11).
a Represents the annual percentage of MOG forest exposure to stand-replacing wildfires and b the estimated reduction in exposure, expressed as annual percentage, when fire refugia capacity is considered.
Comparison with historical fire regimes
The aBAHI in MOG forests classified by historical fire regime provides important context for exposure metrics. For most NFs, the greatest aBAHI occurs in areas historically characterized by “very frequent fire with low severity” and “frequent fire with mixed severity”, with 11 of 16 NF having more than 50% of aBAHI in these two classes (Fig. 5). This is particularly evident in the Klamath Mountains ecoregion. These regions where fire was a frequent disturbance process have experienced the most impactful change in stand and landscape conditions from fire exclusion, which has led to fuel accumulation and consequent emergence of homogeneous landscapes that are now prone to burn at high-intensity and high-severity. In comparison, in the Coast Range and North Cascades ecoregions, a large proportion of aBAHI occurs in areas characterized by “infrequent fire with high severity” and “moderately frequent with mixed severity”, suggesting a closer alignment between historical and contemporary fire regimes (see Figs. S12, S13 and S14 for characterization of aBAHI per fire regimes). From the NFs characterized by an infrequent fire regime, the Willamette shows the highest exposure.
Green and purple represent historic fire regimes where frequent, low severity fire is understood to be critical for maintaining forest resilience. NA represents areas with no fire regime assigned (i.e., classified as non-forested areas in ref. 82).
When considering the overall aBAHI regardless of NF, the fire regime classes dominated by “very frequent fire with low severity” and “frequent fire with mixed severity” account for ca. 75% of the overall aBAHI, suggesting high contemporary exposure in locations with historically frequent fire (Fig. 5; see Fig. S15 for proportional exposure of old-growth and mature forests).
Exposure of forest carbon in MOG to stand-replacing wildfire
The total carbon stored in MOG forests is an important ecosystem service, where stand-replacing fire can result in near-term emission of stored carbon to the atmosphere. The amount of carbon stored in MOG stocks is unevenly distributed across NFs (Fig. 6a), with Willamette and Mt. Baker-Snoqualmie showing the greatest amount of carbon (ca. 90 million and 84 million tons, respectively). In terms of ecoregions, both Cascades and Klamath Mountains show the highest carbon in the NWFP region, with ca. 277 and 233 million tons of carbon, respectively, together representing ~71% of the total carbon in the NFs inside the NWFP. Overall, the spatial pattern of carbon stored follows the pattern observed for MOG area across NFs.
a Represents carbon sequestered (million tons) in MOG forests, b annual average of carbon emitted due to stand-replacing wildfire (eCEHI) in thousands of tons), and c annual percentage of the initial carbon stock lost due to stand-replacing wildfires.
Combining the estimated exposure to high-intensity wildfires (aBAHI) with the information of carbon sequestered in MOG forests provides information about the annual expected carbon emissions from high-intensity fire (eCEHI) by area of interest (Fig. 6b), and proportional effects (Fig. 6c). The eCEHI is calculated by weighting the likelihood of stand-replacing fires by the estimated carbon emissions from those fires; we use the eCEHI terminology to recognize uncertainty in wildfire emissions and fire simulated intensity. The Okanogan-Wenatchee and the Shasta-Trinity are the two NFs with the highest value of overall potential fire-released carbon from MOG forests, with 80 thousand (0.14% of total carbon in the forest) and 77 thousand tons (0.12% of total carbon in the forest) annually of eCEHI, respectively, corresponding to ca. 53% of the total carbon emissions across the region. In terms of the eCEHI by ecoregions, the Klamath Mountains shows the highest value, with an annual average of 160 thousand tons from MOG forests (54% of the total eCEHI). By considering proportional effects we’re able to identify areas where MOG-carbon stored is moderately abundant but has high risk of loss, such as the Okanogan-Wenatchee, Shasta-Trinity, Klamath, Mt. Hood and Six Rivers (Fig. 6c). Overall, eCEHI (carbon emissions) is strongly correlated with aBAHI indicating a general equivalency of contemporary MOG carbon profiles across the region (see Fig. S16).
By summing eCEHI across all forests, approximately 300 thousand tons of carbon (0.04% of the total carbon sequestered in MOG across the study area) are estimated to be emitted annually as a consequence of stand-replacing fire in MOG forests. When we integrate fire refugia capacity, the pattern is the same as described above in ‘fire refugia capacity’, with the Klamath Mountains showing the highest potential reduction in eCEHI due to fire refugia capacity, particularly when considering the holistic fire refugia data product (Fig. S17). Across NFs, fire refugia capacity is estimated to reduce expected annual carbon emissions from MOG between 7% (corresponding to ca. 20,000 tons for holistic dataset) and 21% (corresponding to ca. 60,000 tons for topo-climatic + holistic dataset).
Discussion
Mature and old-growth (MOG) forests on federal lands in the Pacific Northwest, along with the critical ecosystem services they provide, are increasingly threatened by stand-replacing wildfires5. In this study, we quantify the geography of MOG exposure to stand-replacing (high-intensity, high-severity) fire for national forests by integrating fire exposure, fire refugia capacity, forest type, historic fire regimes, and carbon estimates. Our findings illustrate clear spatial variability in the exposure of MOG forests to stand-replacing fires across NFs and ecoregions of the Pacific Northwest. By NF, MOG forests within the Shasta-Trinity, Okanogan-Wenatchee, and Klamath have the highest exposure to high-intensity stand-replacing fires by area exposed (hectares exposed). The most exposure was found to be in areas historically characterized by “very frequent fire with low severity” and “frequent fire with mixed severity”, suggesting high contemporary exposure in locations with historically frequent fire. By ecoregion the Klamath Mountains have the highest exposure by area. We underscore the exposure of specific MOG forest types, particularly white fir—grand fir and Douglas-fir Potential Natural Vegetation (PNV). When considering the percentage of MOG type exposed, the subalpine fir, foothill pine, Douglas-fir, and white fir—grand fir types show the greatest exposure, which, together with information from historic fire regime classes highlights a profile of vulnerability in montane, infrequent fire cold forests (subalpine fir) and fire excluded dry forest types. Carbon emissions were strongly correlated with exposure to high-intensity fire across the region, suggesting that the assumed protection of MOG against stand-replacing fire would generally equate to protection of terrestrial carbon equivalently among forests. By comprehensively identifying areas of greatest exposure using the context of NF, ecoregion, forest type, and historical fire regime, we offer insights to inform land stewardship decisions and support efforts to maintain and restore MOG forests.
By including concepts and data sources for fire refugia capacity in our characterization of exposure, we revealed where fire refugia present the opportunity to mitigate exposure to stand-replacing fire at local scales. Interestingly, the greatest amount of fire refugia capacity for MOG was identified in the Klamath Mountains ecoregion, including Douglas-fir and tanoak forest types, likely due to the complex terrain in this ecoregion, and the importance of topography34 as key predictors in both the holistic and topo-climatic fire refugia products. In contrast, fire refugial capacity was low in areas dominated by fire-sensitive trees such as subalpine fir—Engelmann spruce, in part reflecting their low fire resistance traits. We found proportionally higher refugia capacity in old-growth forests than in mature forests— likely related to old forest development depending on longevity provided by refugial locations, and mature “fire-excluded” forests more likely to occur outside of fire refugia locations supported by topographic features. Regarding the expected carbon emissions from high-intensity fire, we estimate annual emissions of 300 thousand tons, from which the Okanogan-Wenatchee and the Shasta-Trinity NF contribute ca. 53%. Fire refugia capacity could potentially reduce overall carbon emissions from high-intensity fires by up to 21%. Overall, we found that the occurrence of fire refugia may offer some degree of local protection to MOG forests, but the magnitude of this effect varies considerably among NFs, forest type, and typology of fire refugia considered. By comprehensively identifying areas of greatest exposure, we offer insights to inform land stewardship decisions and support efforts to maintain and restore MOG forests and their carbon profiles.
The type of mature or old-growth forest is an important consideration for conservation and management decisions, and our findings illustrate variability in exposure by forest type and historical fire regime across the region. When considering the total amount of area threatened annually, our analysis revealed that white fir—grand fir and Douglas-fir forests are the most expansive exposed types across both old-growth and mature forests. These two forest types often represent dry MOG forest, where historically frequent fire has been excluded and forest succession has contributed to expansion of highly continuous fuels. Fire exclusion has resulted in significant changes in forest structure, composition, and distribution (e.g., densification, mesophication, expansion of stands from fire refugia)35,36,37,38, in historically more open-canopy stands, which increase fire intensity and severity. However, when considering the proportion of the forest type in mature and old-growth forests, subalpine fir, foothill pine, Douglas-fir, and white fir—grand fir have the highest exposure. Subalpine forests are cold seasonal snow-type forests where fire behavior is strongly linked to hot-dry-windy conditions and timing of snowmelt. In these regions, infrequent high-severity fire events are a dominant component of the historic and contemporary fire regime. Subalpine forests were previously identified as experiencing the largest increase in fire frequency and severity in the period 1985–2010 in the eastern Cascade Mountains39. Our results reinforce the urgent need for restoration and adaptation efforts in dry forest settings to reduce the probability of stand-replacing fire and tailor actions to support characteristic MOG forest types40,41.
The analysis provides a demonstration of how fire analytics can provide estimates characterizing exposure of MOG to stand-replacing fire by leveraging unique information from different products. Including fire refugia capacity in analysis allowed us to identify the potential role of fire refugia in mitigating exposure to stand-replacing fire predicted by fire behavior models, through local biophysical settings that could provide conditions that protect MOG34. Fire spread simulations are crucial to capture fire patterns across large landscapes42, but are usually run at a spatial resolution that captures coarser patterns and using model assumptions that are not as sensitive to local fire refugia (e.g., 270 m used for fire simulations against the 30 to 90 m resolution used for fire refugia mapping)23,43. Fire refugia products identify biophysical settings most likely to persist as fire refugia at local scales and provide probabilistic maps of potential fire refugia capacity with a high spatial resolution based on recent observations of fire effects. Furthermore, the fire refugia models we use here are relativized–in other words they represent the probability of fire refugia given a fire were to occur. By synthesizing the aBAHI and fire refugia capacity metrics, we more comprehensively capture fire probability, intensity, and severity as a whole. As the science-manager community increasingly develops new data analytic products it is important to consider, and to experiment with, how data ensembles can be brought together in effective ways.
We used historical fire regimes to provide context for interpreting the patterns of area burned at high intensity (aBAHI). The historical fire regimes characterize fire frequency and severity prior to fire exclusion (i.e., ≈ 1850s), which are often used to estimate how current conditions are departed from a more resistant and resilient historical condition. Our results show the majority of aBAHI occurs in areas that historically burned frequently and with low to mixed severity, where current conditions are more likely to carry crown fire than in the past. Fire exclusion is a well-described driver for landscape homogenization, fire intensity, severity, and size44, with greatest impacts in ecosystems historically adapted to frequent fire16. As a consequence, recent decades show an increase in burned area and severity, that led to the loss of important forest and ecosystem components45,46. The Mendocino NF is a particularly extreme example where ca. 90% of the forest has burned in the period 2018-2023. Even though overall fire exposure in the Mendocino is relatively low compared with other NFs, the effects of long-term fire exclusion had altered the forests such that they had become highly susceptible to adverse fire effects. Protecting the remaining MOG forests that occur in fire refugia from stand-replacing fires while restoring historically resilient forest conditions outside of fire refugia is critical to avoid the complete loss of MOG across the forest. High-severity fire has played an important ecological role in the NWFP region historically; however, the patch size, overall regional extent, and frequency of high-severity fire in recent years are raising concerns for forest management and conservation, given the legacy of land use and land cover change in the region. Interestingly, a fire deficit still likely persists even considering the recent increase in burned area47, but that deficit skews toward insufficient lower severity fire. As highlighted by Parks et al.47, area burned in recent years is not unprecedented across many North American forests, but fire severity likely is.
Areas that historically burned frequently with low severity have been identified as priorities for fuel treatment for more than two decades48. Our findings further highlight the need for land managers to prioritize reducing fire intensity and stand-replacing fire in these areas with historically high-frequency low-severity fire to safeguard MOG trees and forest stands. Theoretically, managers could treat a stand of MOG that is fire excluded and vulnerable to stand-replacing fire to restore it back to a more fire resistant MOG condition, as an example of active management supporting MOG forests. Importantly, it is critical to understand there is still fire refugia capacity in landscapes where fire exclusion has modified forest conditions. Fire refugia can occur as open-canopy and closed-canopy fire refugia40, with unique biophysical conditions to support maintenance and recruitment of MOG forests. Integrating fire refugia into conservation planning, and understanding their characteristic locations on the landscape40, can help managers distinguish where protective actions are sufficient and where active restoration (e.g., thinning, prescribed fire) is most needed to restore heterogeneous landscape mosaics, and to create fire resilient conditions to support habitat for species, and maintain ecosystems services41.
In the Pacific Northwest USA, MOG forests are widely recognized as crucial global carbon reservoirs49,50, particularly relevant for climate change mitigation strategies. Our analysis revealed that the Willamette and Mt. Baker-Snoqualmie NFs support the greatest amount of carbon in forest ecosystems of the NWFP region and that these two forest units do not currently have high exposure to stand-replacing fires in MOG relative to other forests in the region. However, projected increases in frequency and extent of large wildfires due to climate change are expected across the region, especially on the Willamette National Forest51,52, as seen in the last few years of observed fire activity.
We found that expected carbon emissions from high-intensity fire (eCEHI), i.e., loss, are highly correlated with exposure, such that stand-replacing fires impact all MOG types and geographies similarly. The variability observed in fire effects, including above ground carbon loss, is dependent on fire intensity. Our analysis is restricted to high-intensity fire within MOG and calculations do not include combustion of carbon in soils, so it is unsurprising that carbon emissions scale directly with the area burned at high intensity. The Okanogan-Wenatchee and the Shasta-Trinity are the NFs with the greatest exposure for carbon emissions to the atmosphere from MOG, corresponding to 80 thousand and 77 thousand tons annually of eCEHI, respectively, corresponding to ca. 53% of the total eCEHI from MOG across NFs. The Klamath Mountains ecoregion shows the highest eCEHI value, with the majority (54%) of the estimated emissions from MOG occurring in this region. Fire refugial capacity shows a relevant effect in reducing eCEHI (total maximum reduction of ca. 60,000 tons - 21% - when considering the topo-climatic + holistic dataset), with the Klamath Mountains being the ecoregion with the greatest reduction in eCEHI. The potential loss of MOG forests, either due to intense wildfires or due to potential modification in federal forest policy and harvest restrictions53 will impact the capacity of these forests to serve as carbon reservoirs in the future51,54.
Our findings are highly dependent on the definition and mapping of mature and old-growth forests55, and characteristics of fire behavior and severity. Defining MOG forests was previously described as a “wicked problem”56, as its definition relies on considerations of ecology, policy, and values57. However, ongoing and future investments in MOG mapping continue to provide refined estimates of this important stage of forest succession through remote sensing and field estimation. The results shown here are also highly dependent on the fire simulations. Carlson et al.58 and Moran et al.59 showed that estimated burn probability BP are correlated with observed burned area in the subsequent years. This benchmarking of performance also highlights areas where burn probability was underestimated due to recent changes in climate, vegetation or human ignition patterns that were not reflected in the fire simulations58. Building on these efforts, there is still a need to evaluate how well fire spread models can replicate observed fire intensity patterns, especially given that recent FSim modeling for the NWFP region indicates increasing fire activity in the moister forest types52. Similarly, fire refugia models have elements of uncertainty and error40, such that our assumption here that locations identified with high fire refugia capacity would necessarily mitigate high-intensity fire predicted by the fire behavior simulations in silica is unlikely to occur at all times if played out in the real world. However, these models and fire analytics provide the opportunity to use best available scientific data to understand complex phenomena at broad scales of management and scientific relevance.
MOG mapping technologies, fire spread simulations, and fire refugia models are in constant refinement. For instance, lidar data are being increasingly used for mapping MOG in ways that complement existing methods, new fire simulations include relevant updates in input data, model calibration, and analytical windows to better characterize fire hazard and dynamic landscapes. Also, fire refugia models become more robust as more historical data become available to train and test models40. Potential refinements to the carbon emissions modeling include quantification of carbon combustion in soils and improved representation of forest floor carbon pools, expanding the temporal analysis to quantify the carbon fluxes associated with the transition of trees from live biomass to dead material e.g., through delayed mortality and decomposition, and storage of carbon in relatively stable forms of pyrogenic carbon. Finally, it is important to note that climate change was not considered in any part of the analysis. Climate change is expected to have a significant impact on fire frequency, extent and behavior in this region11,51,52. The increase in extreme fire seasons, together with other climate events such as droughts, can further exacerbate fire severity and tree mortality60,61. While historically MOG forests, especially the interior portions of closed-canopy MOG patches, are generally more resistant to these climate-enabled events62,63,64, the continued loss of MOG, the edge effects created by landscape fragmentation, and continued impacts of fire exclusion in historically frequent fire landscapes may further erode the persistence of MOG across the region. Identifying management actions to protect and restore existing MOG, and recruit MOG in the long-term, are key conserving and adapting forests of the region to global change.
With this study we provide a regional overview and spatial ecology of MOG exposure to stand-replacing fire, that contributes to the ongoing conversation about forest stewardship, restoration, and adaptation of forest ecosystems in the PNW. We demonstrate how exposure of MOG forests to stand-replacing wildfire varies among national forest units, ecoregions, and forest types within the context of historic fire regimes; examine the potential role of fire refugia in mitigating this exposure; and estimate the geography of projected carbon emissions related to loss of MOG to stand-replacing wildfire. The findings from our work can be of interest to researchers, regional and local managers, and planners65 to support the decision-making process, including for example, the distribution and prioritization of restoration and fuel reduction investments. We demonstrate one example of using fire refugia data and concepts to refine wildfire risk assessment, but emphasize there are many different ways these products could be applied, as illustrated in the growing case studies using fire refugia data to inform management25,40,41. Continued collaborative partnerships between scientists and local managers to develop realistic strategies and tools to mitigate loss and restore MOG within forest landscapes are critical to the development of science-based solutions for forests globally.
Methods
Study area
The study was conducted in the Northwest Forest Plan area (NWFP; Fig. 1). The NWFP covers ca. 9.9 million ha of federally managed forest lands across western Oregon, Washington, and northwestern California. The NWFP was established in 1994 to balance the competing demands of protecting old-growth forests, conserving biodiversity, and supporting timber production and rural communities18. Our study was conducted in ca. 8 million ha, unevenly divided across 16 NFs and one national scenic area located inside the NWFP as identified in Fig. 1. The Modoc and Lassen NF were not considered in this study since only ca. 3% of their area is inside the NWFP footprint.
Mature and old-growth forest data (MOG)
We used the Old-Growth Structure Index (OGSI) to quantify mature and old-growth (MOG) forest across the region19. The OGSI is a continuous metric that incorporates structural attributes typically associated with older forests, that was developed for monitoring purposes across the NWFP region. It is defined using density of large live trees, diversity of live tree size classes, density of large snags, and cover of down woody material19,20. The index ranges from 0 to 100, with higher values reflecting increasing old-growth structural characteristics20. Two thresholds are applied to OGSI to reflect mature and old-growth forests, based on estimated stand age: ≥ 80 years (OGSI-80), representing forests that had achieved structure associated with mature and late-successional forest in the region, as well as forests that progressed past maturation and show a structure associated with old-growth; and ≥200 years (OGSI-200) that represents only forests with a structure associated with old-growth in the NWFP region20. To isolate mature forests from old-growth forests, the spatial footprint of OGSI-200 was subtracted from the OGSI-80 to differentiate between the spatial distribution of mature forests and old-growth (MOG) forests.
The OGSI maps representing mature and old-growth forests were further classified based on spatial pattern: cores, edges, fingers, and scatter19,20. In this study, we selected only the cores and edges (that together form patches), which represent stands of older forest that are at least 0.8 hectares in size. Fingers and scatter were discarded from the analysis as they represent isolated or fragmented MOG forests19. The selection of patches of MOG identified from OGSI follows previous analysis, see ref. 19. However, it is important to recognize that using OGSI to map MOG forests is based on forest inventory and analysis (FIA) plots integrated with remote sensing and gradient nearest neighbor models–and despite the maps being the best available estimate of MOG across the region, they are not perfect representations.
Here, we used the OGSI version updated to 2025 (latest version available) at 30 m resolution. This version considers the OGSI value from a baseline model year of 2017, then corrects the classified value in areas with relevant disturbance (e.g., fire severity) between the years 2018 and 2024. The Morphological Spatial Patterns algorithm is used with these OGSI maps to develop the landscape metrics of core, edges, fingers, and scatter based on neighboring pixels19.
Potential natural vegetation (forest types)
We used Potential Natural Vegetation (PNV) to quantify forest types across the region66 and summarized these into 18 forest types. PNV reflects the capacity of land to support specific ecosystems, and can be interpreted as what “would become established if all successional sequences were completed (…) under the present climatic and edaphic conditions” in the absence of human and natural (e.g., fire) interference21. We use the PNV to characterize the spatial patterning of forest types as they would likely occur under current climate and soil conditions, and then interpret the results in the context of historic fire regimes to clarify the “potential” or climax stage, versus “characteristic” forest types in locations where fire exclusion has disrupted fire-succession cycles. For example, a white fir-grand fir PNV represents biophysical settings that could support closed-canopy stands with these true firs as the dominant tree type in the absence of fire (e.g., their potential or climax). However, historically frequent fire in these dry forest types more often kept them in open-canopy conditions, with important fire-resistant species like ponderosa pine being the ‘characteristic’ historical condition; the same could be said for the Douglas-fir PNV. This is also true for moister forest types. For example, the western hemlock PNV is the ‘potential’ for what we largely observed as characteristic Douglas-fir forests across the region. The exclusion of fire in many forest types of the region has resulted in infilling and densification, including the loss of historically characteristic old pines and oaks. The PNV system is valuable as a scaffolding of forest types across the region, but needs to be interpreted correctly. The PNV is determined by several factors, including climate, geology, geomorphology, soil characteristics, and vegetation67, and reflects the relationships between vegetation, land, and ecosystem processes68.
Here, we used the 2022 version of PNV for the region66. The PNV maps were built using gradient nearest neighbor modelling69, with further refinements that consider local characteristics (see70 for details on methods and accuracy assessment). We overlapped the 30 m resolution 2022 version of PNV with the OGSI data to classify the different zones of mature and old-growth forests.
Wildfire simulation
We used fire occurrence and growth simulations to quantify the exposure of MOG forest to high-intensity wildfire. Simulation data were derived from the FSim model30,42, which was designed to simulate fire occurrence and growth under thousands of hypothetical fire seasons that represent current spatial patterns and fire regimes. FSim attempts to model the ignition and growth of relatively large and fast-moving fires, since those are the ones accounting for the majority ( ~80–97%) of total area burned. For this reason, the weather conditions used to simulate fire spread represent at least the 80th percentile condition, i.e., dry fuel conditions30. Fire growth and behavior is calculated using standard FlamMap routines and the minimum travel time (MTT) algorithm. FSim outputs include burn probability and fire intensity (e.g., flame length) of a given area (i.e., pixel) in the landscape. The fire simulations used were developed by Dillon et al.30 for the United States with a spatial resolution of 270 meters. The FSim model was calibrated by comparing the simulated and historical statistics, such as mean annual number of large fires per million burnable acres, and mean annual large-fire area burned per million burnable acres (see ref. 30 for more details). The fire simulations represent the landscape that existed in the year of 2020. Every year, the fuels profile of the region changes due to additional disturbance and succession, however, due to the computational demand of running these models it is common for simulations to be used in analyses even if there is a modest difference in the timestamps of data being used. The broad regional scale of analyses means that the overall patterns observed are robust, even if the fuel characteristics of any particular pixel may have changed. The FSim simulations (both the current and previous version) have been used in a wide range of studies (e.g. refs. 31,32), with some having direct impact on fire and land management policies29.
Our focus in this study is on high-intensity fire that would be expected to degrade MOG forest zones through high-severity, stand-replacing fire effects. The FSim outputs of annual Burn Probability (aBP) and probability of flame length over 2.4 m (8 feet) were combined to create the annual Burn Probability of High-Intensity fire (aBPHI). The use of 2.4 m as a threshold to define high-intensity fires was based on the possibility of occurrence of torching and crown fire, as identified in Tedim et al.71.
Old-growth exposure to high-intensity wildfires
The probability of occurrence of high-intensity wildfire was calculated as the product of the probability of flame length over 2.4 m and the estimated aBP. This was converted to annual burn area at high intensity (aBAHI)72 by multiplying by the area of each pixel j (30 m resolution):
Where \({{aBAHI}}_{j}\) is the annual burned area at high intensity ( ≥2.4 m; in hectares) in pixel j; \({{aBP}}_{j}\) is the estimated annual burned probability at pixel j; the \({{FLP}}_{\ge 2.4{m}}\) is the probability of a fire exhibit a flame length greater or equal to 2.4 m in pixel j; and the pixel area represents the area of pixel j, which is 0.009 hectares (30-m resolution resulting from resampling of the original resolution to match the remaining datasets). We use the term ‘stand-replacing fire’ to refer to high intensity behavior.
Fire refugia data
We used fire refugia data products to quantify fine scale locations on the landscape where unburned or low severity fire effects are expected if a fire were to occur (i.e., contingent on fire occurrence). Fire refugia can be described as locations that burn less severely and/or less frequently than surrounding areas22,23,24. The term fire refugia is used in a flexible way, and can be applied to unburned areas as well as areas that experience low severity fires. The fire refugia data products were developed using more refined topographic information than included in the fire simulations, and are estimated using statistical models at a finer spatial scale.
Two datasets of fire refugia were used in this study: the topo-climatic and the holistic fire refugia25. The topo-climatic fire refugia uses four topographic variables conditioned on climate (normal fire environment from Davis et al.51) as explanatory variables to model the conditional probability of fire refugia. The topo-climatic fire refugia models do not include information on fuels/vegetation, and characterize the fire environment based on 30-year baseline normal climate (1971–2000); predictions for climate at 1991–2020, 2031–2060, and 2071–2100 are available but not used here. The holistic fire refugia incorporate topography, fire weather, and fuels/vegetation to model the conditional probability of fire refugia, following general methods illustrated in ref. 73. The holistic fire refugia products were developed for three different fire weather conditions: benign, moderate and high fire weather conditions. Here, we selected the fire refugia probability calculated from the high fire weather conditions scenario, that represents the 90th percentile of daily temperature and the 10th percentile of daily relative humidity. Both fire refugia datasets are available for the NWFP area74.
The two fire refugia datasets represent complementary estimates of fire refugia capacity, quantified as a continuous likelihood for occurrence of fire refugia, conditional on fire burning the pixel. Following previous studies25, we set a threshold of 40% to define potential fire refugia sites, as this threshold represents a moderate-high fire refugia potential. The datasets were used individually to generate a 1) holistic and 2) topo-climatic refugia scenarios, and 3) topo-climatic + holistic by extracting the maximum value of fire refugia between the two datasets per pixel and applying the 40% threshold25. There is no one best way to apply fire refugia models to analysis. Increasingly managers and scientists are applying fire refugia data to analyses and decision-making and co-producing ideas for how best to include fire refugia products for a given goal, for example see refs. 25,40,41.
We integrated these fine scale fire refugia data (30 m for holistic, 90 m for topo-climatic) with the coarser scaled FSim exposure to high-intensity fire (aBAHI) data to identify the degree to which fire refugial capacity might mitigate loss of MOG to stand-replacing fire, in particular due to topographic protection and stand conditions. The assumption is that high-intensity fires (or stand-replacing fire effects) do not occur inside fire refugia areas, even if a high-intensity fire occurred in the fire behavior simulations. However, we emphasize that fire refugia capacity here is considered as ‘potential’, recognizing these models represent probabilities of fire refugia and are not intended to provide certain outcomes. Validation studies to compare predicted fire refugia capacity with observed fire severity from fire events not used for model development demonstrates that observed low/unburned fire severity patterns generally correlate with high fire refugia probability, though with substantial variability40,73. Both the fire simulations and fire refugia data are models considered best available science that capture generalized fire effects.
Historical fire regimes
We use data mapping historical fire regimes to characterize the conditions prior to European colonization and settlement, and before the disruption of fire stewardship practiced by Indigenous peoples, and fire exclusion policies (ca. pre-1850 in the western US26). Four fire regime categories were identified26 and include: infrequent fire with high severity, moderately frequent with mixed severity, frequent fire with mixed severity, and very frequent fire with low severity.
The four categories of fire regime estimate the pyrogeography of the region. Following the characterization in Spies et al.26, infrequent fire with high severity is generally categorized by more than 200-year return intervals and by large patches (1 thousand to one million acres) of high-severity fire, as stand-replacing events. The moderately frequent with mixed severity fire regime is characterized by fires with a return interval between 50 to 200 years, with burned areas exhibiting patches burned at high-severity interspersed with moderate and low severity. The frequent fire with mixed severity category is characterized by a return interval between 15 to 50 years, with medium sized-patches (up to 10,000 acres) burned at high-severity and widespread low severity fire. Finally, the very frequent fire with low severity is characterized by 5 to 25-year return interval, dominated by low intensity low severity surface fires. Historically, fire was more frequent in drier forests with ponderosa pine (Pinus ponderosa), grand fir (Abies grandis) and white fir (Abies concolor), Douglas-fir (Pseudotsuga menziesii) and tanoak (Notholithocarpus densiflorus)26. Moister and colder ecosystems with western hemlock (Tsuga heterophylla), Pacific silver fir (Abies amabilis), mountain hemlock (Tsuga mertensiana), Engelmann spruce (Picea engelmannii) and grand fir were characterized by lower fire frequency but with higher intensity and/or severity26. Historical fire regimes are often used as a guideline for restoration of resistant and resilient forest ecosystems, considering the long history of persistence of those forest types prior to fire exclusion policies (e.g., refs. 48,75). Fire exclusion is considered one of the major threats to historically frequent and mixed severity fire ecosystems, due to local and landscape increases in fuel loads, continuity, and homogeneity in the last 100+ years16,76.
Carbon data
We used the forest carbon dataset produced in (77; 2020 data is unpublished but available from the author). Forest carbon was estimated for 2020 at a spatial resolution of 30 m by simulating TreeMap78 and FuelMap79 stands in the Fire and Fuels Extension to the Forest Vegetation Simulator (FFE-FVS)80 and extracting the total stand carbon from the Carbon Table. The forest carbon was then intersected with the mapped MOG forests.
The expected annual carbon emitted by stand-replacing wildfires (eCEHI) was calculated using an actuarial framework27. FFE-FVS was used to simulate fires at a set of six intensities to estimate carbon emissions to correspond to FSim conditional flame length probability (FLPs) maps, also reported in the Carbon Table. Expected carbon emissions from high-severity wildfire were calculated by multiplying the carbon emissions from the two highest FLs (8–12 ft and ≥12 ft) by the corresponding FLP, summing these results, and weighting them by the total burn probability. The eCEHI was calculated for each pixel \(j\) as:
where \({{aBP}}_{j}\) is the annual burn probability of pixel \(j\) burning at any flame length; \({{CE}}_{i,j}\) is the estimated carbon emissions at fire intensity \(i\) for pixel \(j\); and \({{FLP}}_{i,j}\) is the probability of pixel \(j\) burning with a flame length of \(i\), given a fire occurs. FLPs are calculated from distribution of fire intensities for each pixel from FSim fire spread simulations at fixed intervals, i.e. 8–12 ft, but carbon emissions from wildfires were estimated by setting static flame lengths in FFE-FVS simulations. For \({{FLP}}_{5}\) (flame length ≥ 8 feet and < 12 feet) the mid-point value of 10 ft was used, and for \({{FLP}}_{6}\) the class of flame length ≥12 feet a value of 20 ft was used30. The carbon and carbon emission datasets were generated at a spatial resolution of 30 m; and represent immediate carbon emissions from above ground biomass combustion.
Geospatial analysis
This study uses several datasets to assess MOG exposure to stand-replacing wildfire, as detailed above. The datasets have different native resolutions, from the coarser 270 m fire simulation data to the higher resolution 30 m data from the MOG, PNV, holistic fire refugia, and carbon sources. All datasets were snapped and resampled to 30 m resolution as needed. The datasets were then overlapped to estimate exposure of MOG forests inside NFs in the NWFP region at a 30-m resolution; note that resampling to 30-m resolution does not reflect additional spatial detail. All analyses were conducted in R environment81.
Data availability
All data used in this study are publicly available. The data generated from the analyses is available upon reasonable request.
Code availability
All the code developed in this study for the analyses is available from the first author upon reasonable request.
References
Beckman, N. D. & Wohl, E. Carbon storage in mountainous headwater streams: the role of old-growth forest and logjams. Water Resour. Res. 50, 2376–2393 (2014).
Luyssaert, S. et al. Old-growth forests as global carbon sinks. Nature 455, 213–215 (2008).
Perry, T. D. & Jones, J. A. Summer streamflow deficits from regenerating Douglas-fir forest in the Pacific Northwest, USA. Ecohydrology 10, e1790 (2017).
Watson, J. E. M. et al. The exceptional value of intact forest ecosystems. Nat. Ecol. Evol. 2, 599–610 (2018).
US Forest Service. Mature and old-growth forests: analysis of threats on lands managed by the Forest Service and Bureau of Land Management. (2024).
Halofsky, J. E., Peterson, D. L. & Harvey, B. J. Changing wildfire, changing forests: the effects of climate change on fire regimes and vegetation in the Pacific Northwest, USA. Fire Ecol. 16, 4 (2020).
Higuera, P. E. et al. Shifting social-ecological fire regimes explain increasing structure loss from Western wildfires. PNAS Nexus 2, pgad005 (2023).
Nagy, R. C., Fusco, E., Bradley, B., Abatzoglou, J. T. & Balch, J. Human-related ignitions increase the number of large wildfires across U.S. ecoregions. Fire 1, 4 (2018).
Balch, J. K. et al. Human-started wildfires expand the fire niche across the United States. Proc. Natl. Acad. Sci.USA 114, 2946–2951 (2017).
Abatzoglou, J. T., Balch, J. K., Bradley, B. A. & Kolden, C. A. Human-related ignitions concurrent with high winds promote large wildfires across the USA. Int. J. Wildland Fire 27, 377–386 (2018).
Abatzoglou, J. T. & Williams, A. P. Impact of anthropogenic climate change on wildfire across western US forests. Proc. Natl. Acad. Sci. USA 113, 11770–11775 (2016).
Littell, J. S., McKenzie, D., Wan, H. Y. & Cushman, S. A. Climate change and future wildfire in the western United States: an ecological approach to nonstationarity. Earths Future 6, 1097–1111 (2018).
Littell, J. S., Peterson, D. L., Riley, K. L., Liu, Y. & Luce, C. H. A review of the relationships between drought and forest fire in the United States. Glob. Chang Biol. 22, 2353–2369 (2016).
McKenzie, D. & Littell, J. S. Climate change and the eco-hydrology of fire: Will area burned increase in a warming western USA?. Ecol. Appl. 27, 26–36 (2017).
Cohen, J. The wildland-urban interface fire problem: a consequence of the fire exclusion paradigm (2008).
Hagmann, R. K. et al. Evidence for widespread changes in the structure, composition, and fire regimes of western North American forests. Ecol. Appl. 31, e02431 (2021).
Scott, J. H., Thompson, M. P. & Calkin, D. E. A wildfire risk assessment framework for land and resource management (2013).
Thomas, J. W., Franklin, J. F., Gordon, J. & Johnson, K. N. The Northwest Forest Plan: origins, components, implementation experience, and suggestions for change. Conserv. Biol. 20, 277–287 (2006).
Davis, R. J. et al. Northwest Forest Plan—the First 25 Years (1994–2018): Status and Trends of Late-Successional and Old-Growth Forests. https://doi.org/10.2737/PNW-GTR-1004 (2022).
Davis, R. J. et al. Northwest Forest Plan–the first 20 years (1994-2013): status and trends of late-successional and old-growth forests. https://doi.org/10.2737/PNW-GTR-911 (2015).
Mueller-Dombois, D. & Ellenberg, H. Aims and Methods of Vegetation Ecology. (John Wiley & Sons, 1974).
Camp, A., Oliver, C., Hessburg, P. & Everett, R. Predicting late-successional fire refugia pre-dating European settlement in the Wenatchee Mountains. Ecol. Manag. 95, 63–77 (1997).
Meddens, A. J. H. et al. Fire Refugia: What are they, and why do they matter for global change?. Bioscience 68, 944–954 (2018).
Krawchuk, M. A. et al. Disturbance refugia within mosaics of forest fire, drought, and insect outbreaks. Front Ecol. Environ. 18, 235–244 (2020).
Krawchuk, M. A., Hudec, J. & Meigs, G. W. Manager’s brief: Integrating fire refugia concepts and data into vegetation management decisions. A case study on the Gifford Pinchot National Forest, Little White Salmon Project Area (2023).
Spies, T. A. et al. Chapter 3: Old growth, disturbance, forest succession, and management in the area of the Northwest Forest Plan. in Synthesis of science to inform land management within the Northwest Forest Plan area. (eds. Spies, T. A., Stine, P. A., Gravenmier, R., Long, J. W., & Reilly, M. J.) 95–243 (PNW-GTR-966. U.S. Department of Agriculture, Forest Service, Pacific Northwest Research Station, 2018).
Calkin, D. E. et al. A comparative risk assessment framework for wildland fire management: the 2010 cohesive strategy science report. (2011).
Vickery, P. J., Skerlj, P. F. & Twisdale, L. A. Simulation of hurricane risk in the U.S. using empirical track model. J. Struct. Eng. 126, 1222–1237 (2000).
USDA Forest Service. Confronting the Wildfire Crisis: A 10-Year Implementation Plan. https://www.fs.usda.gov/managing-land/wildfire-crisis (2022).
Dillon, G. K. et al. Spatial datasets of probabilistic wildfire risk components for the United States (270m). 3rd Edition. https://doi.org/10.2737/RDS-2016-0034-3 (2023).
Magstadt, S. & Wei, Y. A neural network model to study factors impacting the selection of hazardous fuel treatment types in Colorado’s national forests. Int. J. Wildland Fire 34, (2025).
Ager, A. A., Evers, C. R., Day, M. A., Alcasena, F. J. & Houtman, R. Planning for future fire: Scenario analysis of an accelerated fuel reduction plan for the western United States. Landsc. Urban Plan 215, 104212 (2021).
Keeley, J. E. Fire intensity, fire severity and burn severity: a brief review and suggested usage. Int J. Wildland Fire 18, 116–126 (2009).
Downing, W. M., Meigs, G. W., Gregory, M. J. & Krawchuk, M. A. Where and why do conifer forests persist in refugia through multiple fire events?. Glob. Chang Biol. 27, 3642–3656 (2021).
Hagmann, R. K., Johnson, D. L. & Johnson, K. N. Historical and current forest conditions in the range of the Northern Spotted Owl in south central Oregon, USA. Ecol. Manag. 389, 374–385 (2017).
Hessburg, P. F., Agee, J. K. & Franklin, J. F. Dry forests and wildland fires of the inland Northwest USA: Contrasting the landscape ecology of the pre-settlement and modern eras. Ecol. Manag. 211, 117–139 (2005).
Hagmann, R. K., Franklin, J. F. & Johnson, K. N. Historical structure and composition of ponderosa pine and mixed-conifer forests in south-central Oregon. Ecol. Manag. 304, 492–504 (2013).
Knight, C. A., Cogbill, C. V., Potts, M. D., Wanket, J. A. & Battles, J. J. Settlement-era forest structure and composition in the Klamath Mountains: reconstructing a historical baseline. Ecosphere 11, e03250 (2020).
Reilly, M. J. et al. Cumulative effects of wildfires on forest dynamics in the eastern Cascade Mountains, USA. Ecol. Appl. 28, 291–308 (2018).
Krawchuk, Meg. A. et al. Fire refugia in forest ecosystems of the Pacific Northwest, USA: Science and applications for conservation, adaptation, and stewardship. Conservation Science and Practice. Early View https://doi.org/10.1111/csp2.70173 (2026).
Lesmeister, D. B., Davis, R. J. & Rockweit, J. T. Resolving conservation conflict through fire refugia: Integrating landscape resilience into forest management. J. Environ. Manag. 393, 126974 (2025).
Finney, M. A., McHugh, C. W., Grenfell, I. C., Riley, K. L. & Short, K. C. A simulation of probabilistic wildfire risk components for the continental United States. Stoch. Environ. Res. Risk Assess. 25, 973–1000 (2011).
Krawchuk, M. A. et al. Topographic and fire weather controls of fire refugia in forested ecosystems of northwestern North America. Ecosphere 7, e01632 (2016).
Keane, R. E. et al. Cascading effects of fire exclusion in the Rocky Mountain ecosystems: a literature review. https://doi.org/10.2737/RMRS-GTR-91 (2002).
Whitman, E., Parks, S. A., Holsinger, L. M. & Parisien, M.-A. Climate-induced fire regime amplification in Alberta, Canada. Environ. Res. Lett. 17, 055003 (2022).
Parks, S. A. & Abatzoglou, J. T. Warmer and drier fire seasons contribute to increases in area burned at high severity in Western US Forests from 1985 to 2017. Geophys Res Lett. 47, e2020GL089858 (2020).
Parks, S. A. et al. A fire deficit persists across diverse North American forests despite recent increases in area burned. Nat. Commun. 16, 1493 (2025).
Brown, R. T., Agee, J. K. & Franklin, J. F. Forest restoration and fire: principles in the context of place. Conserv. Biol. 18, 903–912 (2004).
Buotte, P. C., Law, B. E., Ripple, W. J. & Berner, L. T. Carbon sequestration and biodiversity co-benefits of preserving forests in the western United States. Ecol. Appl. 30, e02039 (2020).
Luyssaert, S. et al. Old-growth forests as global carbon sinks. Nature 455, 213 (2008).
Davis, R., Yang, Z., Yost, A., Belongie, C. & Cohen, W. The normal fire environment—Modeling environmental suitability for large forest wildfires using past, present, and future climate normals. Ecol. Manag. 390, 173–186 (2017).
Dye, A. W. et al. Simulated future shifts in wildfire regimes in moist forests of Pacific Northwest, USA. J. Geophys. Res. Biogeosci. 129, e2023JG007722 (2024).
Bartowitz, K. J., Walsh, E. S., Stenzel, J. E., Kolden, C. A. & Hudiburg, T. W. Forest carbon emission sources are not equal: putting fire, harvest, and fossil fuel emissions in context. Front. Forests Global Change. 5, 2022, (2022).
Birdsey, R. A., DellaSala, D. A., Walker, W. & Gorelik, S. How much more carbon could be protected in mature and old-growth forests of the United States?. Biol. Conserv. 306, 111114 (2025).
Bruening, J. M., Dubayah, R. O., Pederson, N., Poulter, B. & Calle, L. Definition criteria determine the success of old-growth mapping. Ecol. Indic. 159, 111709 (2024).
Pesklevits, A., Duinker, P. N. & Bush, P. G. Old-growth forests: anatomy of a wicked problem. Forests 2, 343–356 (2011).
Gray, A. N. et al. Perspectives: The wicked problem of defining and inventorying mature and old-growth forests. Ecol. Manag. 546, 121350 (2023).
Carlson, A. R. et al. Evaluating a simulation-based wildfire burn probability map for the conterminous US. Int. J. Wildland Fire 34, (2025).
Moran, C. J., Thompson, M. P., Young, B. A., Scott, J. H. & Jaffe, M. R. Benchmarking performance of annual burn probability modeling against subsequent wildfire activity in California. Sci. Rep. 15, 23699 (2025).
Sterck, F. J., Song, Y. & Poorter, L. Drought- and heat-induced mortality of conifer trees is explained by leaf and growth legacies. Sci. Adv. 10, eadl4800 (2025).
Busby, S., Evers, C. & Holz, A. Patterns, drivers, and implications of postfire delayed tree mortality in temperate conifer forests of the western United States. Ecosphere 15, e4805 (2024).
Farinacci, M. D., Jones, J. & Silva, L. C. R. Carbon-water tradeoffs in old-growth and young forests of the Pacific Northwest. AGU Adv. 5, e2024AV001188 (2024).
Lesmeister, D. B., Davis, R. J., Sovern, S. G. & Yang, Z. Northern spotted owl nesting forests as fire refugia: a 30-year synthesis of large wildfires. Fire Ecol. 17, 32 (2021).
Meigs, G. W., Dunn, C. J., Parks, S. A. & Krawchuk, M. A. Influence of topography and fuels on fire refugia probability under varying fire weather conditions in forests of the Pacific Northwest, USA. Can. J. For. Res. 50, 636–647 (2020).
Betts, M. G. et al. Benefits of onshoring forestry rely on science. Science 388, 479–480 (2025).
USDA Forest Service Pacific Northwest Region. Potential Natural Vegetation. https://teui-region6-usfs.hub.arcgis.com/pages/pnv (2025).
Winthers, E. et al. Terrestrial ecological unit inventory technical guide. Gen. Tech. Rep. WO-GTR-68. Washington, DC: US Department of Agriculture, Forest Service, Washington Office, Ecosystem Management Coordination Staff. 245, 68, (2005).
Somodi, I., Molnár, Z. & Ewald, J. Towards a more transparent use of the potential natural vegetation concept–an answer to Chiarucci et al. J. Vegetation Sci. 23, 590–595 (2012).
Bell, D. M., Acker, S. A., Gregory, M. J., Davis, R. J. & Garcia, B. A. Quantifying regional trends in large live tree and snag availability in support of forest management. Ecol. Manag. 479, 118554 (2021).
USDA Forest Service Pacific Northwest Region. Guide to understanding and using the potential natural vegetation (PNV) Map Layer. (2022).
Tedim, F. et al. Defining extreme wildfire events: difficulties, challenges, and impacts. Fire 1, 9 (2018).
Ager, A. A., Buonopane, M., Reger, A. & Finney, M. A. Wildfire exposure analysis on the national forests in the Pacific Northwest, USA. Risk Anal. 33, 1000–1020 (2013).
Naficy, C. E. et al. Fire refugia in old-growth forests—Final report to the USGS Northwest Climate Adaptation Center. (Oregon State University, 2021).
Oregon State University–College of Forestry. Fire refugia in mature and old forests: Outreach and delivery of fire refugia datasets and products. https://firerefugia.forestry.oregonstate.edu/outreach.html.
Noss, R. F., Franklin, J. F., Baker, W. L., Schoennagel, T. & Moyle, P. B. Managing fire-prone forests in the western United States. Front. Ecol. Environ. 4, 481–487 (2006).
Airey-Lauvaux, C., Pierce, A. D., Skinner, C. N. & Taylor, A. H. Changes in fire behavior caused by fire exclusion and fuel build-up vary with topography in California montane forests, USA. J. Environ. Manag. 304, 114255 (2022).
USDA Forest Service. Wildfire Risk to Carbon. https://app.wildfireriskcarbon.org/home (2025).
Riley, K. L., Grenfell, I. C., Finney, M. A. & Wiener, J. M. TreeMap, a tree-level model of conterminous US forests circa 2014 produced by imputation of FIA plot data. Sci. Data 8, 11 (2021).
Riley, K. L., Grenfell, I. C. & Shaw, J. D. FuelMap 2014: Imputed map of carbon stored in litter, duff, fine woody debris, and coarse woody debris for CONUS forests circa 2014. Forest Service Research Data Archive at https://doi.org/10.2737/RDS-2023-0042 (2023).
Reinhardt, E. & Crookston, N. L. The Fire and Fuels Extension to the Forest Vegetation Simulator. Gen. Tech. Rep. RMRS-GTR-116. (2003).
R Core Team. R: A Language and Environment for Statistical Computing. https://www.r-project.org/ (2025).
Simpson, M. Developer of the forest vegetationzone map. Ecologist, Central Oregon Area Ecologyand Forest Health Program (USDA Forest Service, Pacific Northwest Region, Bend, Oregon, USA, 2013).
Acknowledgements
We would like to thank Dr. Skye Greenler for her support and guidance when using the Potential Natural Vegetation dataset, and Dr. Gianluca Cerullo for his helpful data visualization suggestions. The authors acknowledge USFS funding from agreement 21-CS-11221637-130, and Dr. Alan Ager for providing support for this project. The findings and conclusions in this publication are those of the authors and should not be construed to represent any official USDA or U.S. Government determination or policy.
Author information
Authors and Affiliations
Contributions
B.A.A.: Conceptualization, Data curation, Formal analysis, Investigation, Methodology, Software, Visualization, Writing—original draft, Writing—review and editing; M.A.D.: Conceptualization, Methodology, Writing—review and editing; R.D.: Conceptualization, Methodology, Writing—review and editing; R.H.: Conceptualization, Methodology, Writing—review and editing; M.A.K.: Conceptualization, Data curation, Funding acquisition, Methodology, Project administration, Resources, Supervision, Validation, Writing—review and editing. All authors have read and approved the final version of the manuscript.
Corresponding author
Ethics declarations
Competing interests
The authors declare no competing interests.
Additional information
Publisher’s note Springer Nature remains neutral with regard to jurisdictional claims in published maps and institutional affiliations.
Supplementary information
Rights and permissions
Open Access This article is licensed under a Creative Commons Attribution-NonCommercial-NoDerivatives 4.0 International License, which permits any non-commercial use, sharing, distribution and reproduction in any medium or format, as long as you give appropriate credit to the original author(s) and the source, provide a link to the Creative Commons licence, and indicate if you modified the licensed material. You do not have permission under this licence to share adapted material derived from this article or parts of it. The images or other third party material in this article are included in the article’s Creative Commons licence, unless indicated otherwise in a credit line to the material. If material is not included in the article’s Creative Commons licence and your intended use is not permitted by statutory regulation or exceeds the permitted use, you will need to obtain permission directly from the copyright holder. To view a copy of this licence, visit http://creativecommons.org/licenses/by-nc-nd/4.0/.
About this article
Cite this article
Aparício, B.A., Day, M.A., Davis, R. et al. Exposure and carbon risk for mature and old-growth forests from severe wildfire in the Pacific Northwest, U.S.A.. npj Nat. Hazards 3, 1 (2026). https://doi.org/10.1038/s44304-025-00160-w
Received:
Accepted:
Published:
Version of record:
DOI: https://doi.org/10.1038/s44304-025-00160-w








