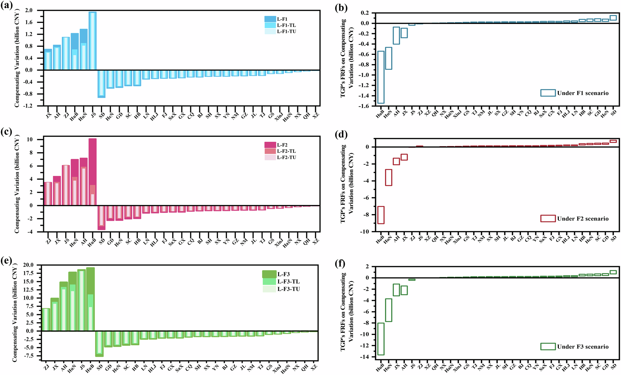
Fig. 3: Compensating variation (relative to business-as-usual).

Panels (a), (c), and (e) show CV under flood scenarios without the TGP. Panels (b), (d), and (f) show the range of the indirect TGP-FRFs on compensating variation, calculated as the difference in CV between scenarios with and without the TGP.