Abstract
Assessing flood mitigation strategies is crucial on a global scale, where Large-scale Hydraulic Projects (LHPs) are essential in enhancing socio-economic resilience and mitigating flood impacts. However, the failure to recognize the spatial distribution patterns of these direct and indirect benefits can lead to a substantial underestimation of the positive effects that LHPs can have on various socio-economic activities and regions susceptible to flooding. This study develops a Spatial Footprint Impact Assessment framework (SFIA), which is applied to the Three Gorges Project (TGP), evaluating the spatial heterogeneity of indirect flood-retention benefits induced by the TGP across 31 provinces in China. Our findings demonstrate that while Hubei and Hunan gain the largest direct reductions in GDP and welfare losses, more distant provinces benefit indirectly through stabilized supply chains supported by the TGP. Quantitatively, the TGP’s flood-retention capacity helped reduce China’s flood-induced GDP losses by 28–37 billion Chinese Yuan. By introducing the concept of “hydraulic project’s footprints,” this study demonstrates that overlooking such indirect benefits substantially underestimates the value of LHPs. Our findings can offer detailed, region-specific insights into formulating flood management strategies and provide a transferable framework for assessing other large-scale hydraulic projects worldwide.
Similar content being viewed by others
Introduction
Floods have increasingly been recognized as one of the most hazardous natural calamities in recent years, exacerbated by global climate change1,2. They account for 40% of all weather-related catastrophes, impacting ~1.65 billion individuals in the past two decades alone, and the global incidence of floods has risen to over 3000 by 20203. Consequently, numerous large-scale hydraulic projects (LHPs) have been implemented worldwide to enhance flood resilience and advance flood-risk management4,5, despite their time and resource-intensive nature6. Therefore, it is imperative to thoroughly examine the holistic impacts of LHPs during flood events and devise cost-effective strategies for flood loss mitigation and post-flood adaptation.
LHPs have played a significant role globally in flood retention, electricity generation7, waterway navigation8, and freshwater supply9, and more, leading to profound socioeconomic and environmental consequences10. Studies have focused on LHPs’ impact assessment related to employment opportunities11, displacement of communities12, and environmental pressures13, such as altering river ecosystems14, disrupting aquatic habitats15, ecological footprints16 and affecting downstream water quality and quantity17,18. Given the interconnected nature of the LHPs’ impacts within their surrounding regions, computable general equilibrium (CGE) models have been devised to conduct comprehensive assessments, which are economy-wide simulation frameworks based on microeconomic theory. They are used to analyze how an economy reacts to shocks or policy changes by quantifying the resulting adjustments in production, consumption, prices, and trade across all interconnected sectors and regions19. For instance, an economic ramification of the High Aswan Dam in 1997, which accounted for 2.7–4.0% of the annual GDP, was revealed through a single-region CGE model, which was applied to the Egyptian economy20. The socio-economic consequences of hydropower development in China were evaluated by Liu et al.21 using a static multi-regional CGE model. Their results indicated that hydropower projects could be a mutually beneficial solution for sustainable development under climate change. Kahsay et al.22 developed a multi-regional CGE framework and showed that the negative economic impacts of the Grand Ethiopian Renaissance Dam (GERD) on Egypt had started to diminish once the dam entered operation while the potential economic implications for Sudan resulting from the long-term operation of the GERD were analyzed with a recursive-dynamic CGE model23. Luo et al.24 investigated sector-level direct/indirect socio-economic and environmental (SEE) effects of Wudongde hydropower station, revealing its contribution to annual indirect GHG emissions reduction by 260.8 million tonnes in 2021 within the Yangtze River Economic Belt.
In addition, CGE models offer a robust framework for comprehensively assessing market dynamics and price adjustments, thereby facilitating sector-level analyses of indirect impacts stemming from natural disasters25,26. These disasters include earthquakes27, terrorism attacks28, and floods in particular29. Static CGE models are well-suited for examining the short-term effects of minor disasters30, while dynamic ones are preferable for considering the long-term impacts and ongoing economic fluctuations post-disaster31,32. For example, Hoffmann and Stephan33 incorporated spatial features into a dynamic CGE framework and demonstrated that local public-goods–based adaptation can alleviate flood-induced welfare and GDP losses in directly exposed areas, thereby improving interregional and intersectoral resource allocation. Parent et al.29 employed a single-region, static regional CGE model to assess flood disasters, designing it specifically to quantify the short-term economic losses borne by firms during a 100-year flood event and the limited recovery window that follows.
However, numerous studies are focused on the direct benefits of LHP initiatives (e.g., power generation, water supply, cargo waterborne improvement) and general losses due to flooding disasters. While LHPs play vital roles in mitigating the serious and enduring impacts of floods and offer notable socio-economic benefits. There is a lack of research for quantifying indirect socio-economic benefits of LHP’s roles in flooding mitigation; such indirect benefits may extend along chains of up- and lower-stream sectors, radiating across multiple regions via interconnected production, supply, and consumption networks. This limitation led to a significant underestimation of LHP’s benefits, particularly for directly exposed sectors/regions.
Therefore, this study develops a Spatial Footprint Impact Assessment framework (SFIA). The SFIA is built upon a multi-regional CGE framework and incorporates mixed-level factorial analysis, aimed at revealing the spatial heterogeneity of indirect socio-economic benefits derived from LHP’s flood mitigation initiatives. The SFIA is applied to the Three Gorges Project (TGP) to identify its indirect benefits to 31 provinces of China, in line with a specifically designed scenario framework. Moreover, a concept of “hydro-project footprints” will be initiated to examine both direct and indirect effects of TGP. In detail, (1) this study develops a distributed multi-regional CGE model for China (CDCM) will be developed based on a multiregional Social Accounting Matrix (SAM) for 31 provinces in 2017. (2) We enrich the CDCM with a region-specific flooding module tailored to specific characteristics of each administrative division, enabling the analysis of the distributive roles of the TGP for flooding mitigation and assessment of the resultant socio-economic effects. (3) The analysis then examines key macroeconomic indicators (e.g., gross domestic products, interprovincial trades, household utility, and consumer price index) to quantify the province-level indirect impacts of the TGP’s flood-retention function. (4) Finally, we employ a mixed-level factorial analysis to evaluate how key drivers (e.g., labor availability, floodwater depth, and the flood-retention capacity of the TGP) and their interactions shape a range of macroeconomic indicators. thereby systematically identifying the critical determinants and significant interactions. Consequently, the spatial distribution patterns of TGP’s indirect flood-retention impacts on China’s socio-economic systems at a provincial level will be revealed, highlighting the project’s multi-dimensional, multi-phase, and multi-regional effects. These results are expected to offer province-specific insights into resilience enhancement and post-flood response, as facilitated by the TGP. Moreover, the proposed framework is adaptable to other LHPs globally, with context-specific data calibration, enabling a more nuanced understanding of their broader regional and national socio-economic effects.
Results
TGP’s indirect flood-retention footprints related to GDP
Inspired by the concept of the “flood footprint,”34, we introduce the notion of the “hydraulic project’s footprint” (HP-F). Direct HP-Fs refer to the immediate impacts of LHPs on socio-economic systems due to their core functions, such as enhancing hydropower generation, increasing waterborne cargo volume, attracting tourism, incurring billions in annual maintenance costs35, and causing the displacement of villages and loss of forests36. Indirect HP-Fs involve the broader, secondary impacts triggered by direct HP-Fs through supply chains. These indirect effects include impacts on industrial production, GDP growth, and employment rates, areas that have seldom been explored.
More specifically, the HP-F related to the flood-retention initiative of hydraulic projects can be defined as hydraulic project’s flood-retention footprints (HP-FRFs). The direct HP-FRF refers to immediate conservative impacts of LHPs on the losses of natural resources, human lives and tangible assets related to floods, which have been widely investigated by the local government and previous studies37,38,39,40,41. Indirect HP-FRF pertains to the broader, secondary impacts instigated by direct HP-FRFs. These include effects on industrial production, GDP growth, and employment rates, etc., which has been seldomly investigated. Particularly, the temporal cumulative effects and spatial distribution characteristics of the indirect HP-FRF are essential for comprehensively understanding the impacts of LHPs related to their flood control functions. In terms of the indirect FRFs of the TGP (TGP-FRFs), the temporal cumulative effects of indirect TGP-FRFs have been analyzed in our previous studies35. Thus, the main focus of this study is to explore the spatial distribution characteristics of indirect TGP-FRFs. In this study, the indirect TGP-FRFs on multiple economic indicators are assessed by first calculating flood-induced losses through a comparison between model results under flood-related scenarios and those under the business-as-usual scenario (without floods). Subsequently, by comparing the same set of indicators under scenarios with and without the TGP, the study quantifies the indirect TGP-FRFs in terms of reduced economic losses.
The estimation results of directly exposed areas on provincial GDP are displayed in Fig. 1. Jiangsu appears to be the most directly exposed area affected by floods, with potential GDP losses reaching up to approximately 100 billion CNY under the F3 scenario, likely due to significant labor availability losses. Similar outcomes for Zhejiang further underscore the importance of flood control in densely populated regions. Although only a small proportion of the population is projected to be impacted by floods (as shown in Fig. 1), the resulting real GDP losses could be substantial. Considering that the indirect TGP-FRFs only contribute 3.24–4.44% and 1.94–2.49% in Jiangsu and Zhejiang under the F3 scenario, it is recommended that more focus should be placed on urban flood control and waterlogging prevention, with a reduced maintenance burden of the TGP allocated to these provinces.
a–f GDP changes of directly exposed provinces (Jiangsu, Zhejiang, Anhui, Jiangxi, Hubei and Hunan). Column colors represent the different flood scenario combinations of water depth (F1, F2, F3) and labor availability impact (L, U) without the TGP. Points represent the ratios of TGP’s indirect FRF to total GDP changes of scenarios without the TGP. g–i Column represents means of TGP’s indirect FRF on GDP in non-directly exposed provinces under different water depth scenarios; points represent the means of GDP changes without TGP’s flood-retention capacity.
Anhui, Jiangxi, Hubei, and Hunan suffer severe flood impacts, with GDP losses ranging from 56, 39, 70, and 58 billion (L-F3) to 72, 66, 80, and 75 billion CNY (U-F3), respectively. Proximity to the TGP allows varying degrees of flood-retention benefits, mitigating 36–54% and 18–28% of GDP losses in Hubei and Hunan, and 9–14% and 10–15% in Anhui and Jiangxi. Other provinces benefit indirectly through supply chain stability, with GDP impacts varying due to supply chain dependencies (Fig. 1g-i). When comparing scenarios with and without the TGP’s flood-retention capacity, negative GDP changes in most provinces reflect disrupted supply chains, while positive impacts in Beijing, Tianjin, and Shandong highlight their role in post-flood reconstruction. The indirect TGP-FRFs significantly reduce GDP losses in Henan, Jilin, Guangdong, Guizhou, and Neimenggu, emphasizing strong trade links with directly exposed areas, particularly in manufacturing and construction (Fig. S1). However, these benefits do not reduce demands from regions experiencing positive impacts, like Shandong.
As the spatial distribution of indirect TGP-FRFs in terms of provincial GDP contribution is analyzed, the mixed-level factorial analysis is employed to examine whether the effects of impact factors related to TGP’s flood-retention capacity considered in this study are statistically significant in response to its indirect FRFs on China’s GDP. Table S4 indicates that the effects of labor availability (factor A), flood water depth (factor B) and TGP’s flood-retention capacity (factor C) are all significant to China’s GDP losses (Fig. 2a–c). The main effect plots show the average individual impact of each factor, while the interaction plots reveal whether the effect of one factor (e.g., the TGP’s capacity) is significantly modified by the level of another (e.g., flood depth). TGP’s flood-retention capacity can help reduce the GDP losses from 28 to 37 billion CNY (Fig. 2c). Both factor A and C can significantly interact with factor B (Figs. 2d, 3e). Such interactions reveal that the indirect TGP-FRFs on GDP can essentially increase under severe flooding scenarios. Furthermore, under the F3 scenario, the full deployment of the TGP’s flood-retention capacity is projected to save approximately 30 billion CNY in GDP that would have been lost to floods (Fig. 2e), which further demonstrated the vital necessary and importance to ensure the optimal operation of the TGP’s flood-retention function.
Panels (a–e) show effects on national GDP, and panels (f–j) on national social welfare. The three impact factors are: A (Labor availability), B (Flood water depth), and C (TGP flood-retention capacity). Main effects: Panels (a–c) and (f–h) display the main effects of factors A, B, and C, respectively. They plot the change in the response when each factor is varied from its low to high level, independent of others. Interaction effects: Panels (d) and (i) plot the interaction between factors A and B (i.e., how the effect of A changes with the level of B). Panels (e) and (j) plot the interaction between factors B and C.
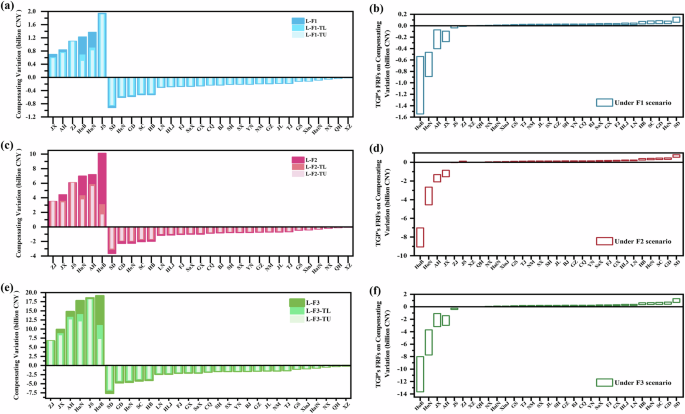
Panels (a), (c), and (e) show CV under flood scenarios without the TGP. Panels (b), (d), and (f) show the range of the indirect TGP-FRFs on compensating variation, calculated as the difference in CV between scenarios with and without the TGP.
TGP’s indirect flood-retention footprints on resident living standards
The indirect TGP-FRFs on living standards are analyzed through social welfare and Consumer Price Index (CPI). Social welfare changes calculated using the compensating variation (CV) method42 reflect the income needed to restore households to pre-flood utility levels. It is important to note that the CV captures changes in household welfare influenced by both income effects (linked to GDP changes) and price effects (measured by CPI), providing a complementary perspective to the GDP-based assessment of economic output loss. The examination of the indirect TGP-FRFs on national social welfare is illustrated in Fig. 2f–j. The factors and interactions that have significant effects on national social welfare are consistent with those impacting GDP. National social welfare benefits from the TGP range from 1.5 (F1 scenario) to 14 billion CNY (F3 scenario). Increasing the achievement of flood control potentials (TGP’s flood-retention capacity changes from L to U under each flood water depth scenario, Fig. 2j) can increase social welfare by 0.2, 1.6, and 5.8 billion CNY across scenarios. The similarity between TGP’s impacts on GDP and social welfare highlights the interconnected drivers of economic performance and social well-being, emphasizing the TGP’s broader socio-economic significance.
The spatial distribution of CV variations is shown in Fig. 3. In directly exposed regions, floods often disrupt production activities, leading to limited commodity supplies and rising prices for households. This causes an increase in CV (positive values), indicating reduced household utility and social welfare due to floods. The most significant CV increases from flooding are observed in Hubei ([1.2, 2.2], [10.1, 10.8], and [19.1, 22.8] billion CNY under the F1, F2, and F3 scenarios, respectively) and Hunan ([1.3, 2.0], [7.0, 9.5], and [17.8, 23.8] billion CNY under the same scenarios). On the other hand, the loss of income and purchasing power in the directly exposed provinces is transmitted through supply chains as a negative demand shock, leading to reduced orders and a slight decrease in commodity demand and prices in many other provinces. This results in a decrease in CV (negative values) for those regions, indicating increased social welfare. The CV results under other scenarios are presented in Fig. S2.
The difference in CV between scenarios with and without the TGP reflects the indirect TGP-FRFs on social welfare. The ranges of indirect TGP-FRFs under various scenarios are shown in Figs. 3b, 4d, 4f. By helping to stabilize commodity supplies and limit price increases in directly exposed regions, the indirect TGP-FRFs effectively suppress the rise in CV. Hubei benefits the most from the TGP’s FRFs on social welfare, with reductions in social welfare losses of [1.5, 0.5], [9.1, 7.0], and [13.6, 8.1] billion CNY under the F1, F2, and F3 scenarios, respectively. However, as the recovery of supply chains supported by the TGP drives commodity prices and demand in other provinces back to pre-flood levels, CV increases in provinces such as Guangdong, Henan, and Shandong. This suggests that these provinces maintain close production relationships with the directly exposed regions affected by the TGP’s flood-retention capacity indirectly.
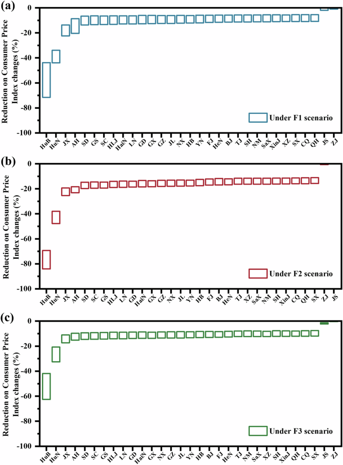
CPI variations closely align with changes in social welfare. Flood-induced CPI increases in directly exposed areas can raise living costs, reducing purchasing power and welfare, while CPI decreases in other regions lower living costs, improving welfare (Fig. S3). Given that the TGP’s flood-retention capacity is designed to maintain stability and mitigate flood impacts, its indirect FRFs primarily manifest reductions in CPI fluctuations. In Hubei, it reduces CPI increases by [43.76, 71.55]%, [69.32, 84.05]%, and [41.87, 62.56]% under F1, F2, and F3 scenarios (Fig. 4), respectively, with Hunan showing ~20% less impact. In Anhui and Jiangxi, the TGP’s effects are weaker, leading to significant CPI increases. These findings suggest local governments should implement short-term policies to stabilize prices, maintain supply chains, and support low-income households disproportionately affected by rising CPI.
The range of reductions in Consumer Price Index changes (%) resulting from TGP’s flood-retention capacity under (a) F1, (b) F2 and (c) F3 scenario.
TGP’s indirect flood-retention footprints on net inter-provincial trade balance
The impacts of the TGP extend across the nation primarily through supply chains. Figure 5 illustrates how the TGP’s flood-retention capacity alters inter-provincial trade balances (with a focus on directly exposed areas, non-directly exposed areas are aggregated as “Other”) under various flood scenarios. Here, the trade balance for a province pair is defined as the flow of goods from the province on the left axis to the province on the bottom axis, minus the reverse flow. The results show the difference in trade balance between scenarios with and without the TGP and the detailed results for all paired provinces are shown in Fig. S4. Yellow circles indicate that the TGP enhances the trade surplus of the left-axis province relative to the bottom-axis province (i.e., net exports from the left to the bottom increase). Purple circles signify that the TGP increases the trade deficit of the left-axis province relative to the bottom-axis province (i.e., net imports from the bottom to the left increase). For example, a yellow circle at the intersection of Hubei (left) and Jiangsu (bottom) means that the TGP helps Hubei export more goods to Jiangsu, thereby increasing Hubei’s trade surplus with Jiangsu. Conversely, a purple circle at Other(left) and Hubei (bottom) indicates that, with the TGP in operation, Hubei exports more to non-directly exposed areas, leading to a larger trade deficit for these non-directly exposed areas in that bilateral flow. Generally, floods cause asset damage and labor availability losses, disrupting supply chains in directly exposed areas. This disruption leads to increased inter-provincial inflows in these directly exposed areas and decreased inflows in other provinces. The TGP’s flood-retention capacity ensures the stability of economic activities in these directly exposed areas, leading to increased trade surplus from these areas. These indicate that the inter-provincial inflows within directly exposed areas are notably enhanced and the supply chains among these areas are tightly interconnected. The TGP significantly contributes to maintaining the stability of these supply chains. Additionally, the indirect TGP-FRFs have substantial positive impacts on trade balance from Hubei and Hunan to regions such as Beijing, Shanghai, Henan, and Guangdong (increased trade surplus in Fig. S4), highlighting the close trading relationships between these regions. By enhancing the resilience of supply chains in Hunan and Hubei to floods, particularly manufacturing sectors (Fig. S1), the TGP can support production activities in Beijing, Shanghai, Henan, and Guangdong indirectly.
Each subplot shows the change in the trade balance (exports minus imports) between paried provinces, resulting from the TGP’s intervention under scenarios: (a) L-F1-TL, (b) U-F1-TU, (c) L-F2-TL, (d) U-F2-TU, (e) L-F3-TL, (f) U-F3-TU. A yellow circle indicates that the TGP increases the trade surplus (or reduces the deficit) for left column province; a purple circle indicates an increased trade deficit (or reduced surplus) for left column province. Circle size is proportional to the absolute value of the trade-balance change (see size-scale legend, unit: million CNY).
The differences in the indirect TGP-FRFs on trade balance between various regions essentially highlight the TGP’s capacity to stabilize flood-affected supply chains. The purple points indicate that the TGP’s flood-retention capacity helps stabilize supply chains from bottom provinces to left provinces, while the yellow points show the enhancement of supply chains from left to bottom provinces as supported by the TGP. Since the TGP is designed to mitigate flood impacts, the strengthening of a supply chain by the TGP signifies that the chain has been significantly affected by floods. For instance, under the L-F1-TL scenario (Fig. S4a), the indirect TGP-FRFs tend to improve the trade deficit for Anhui (purple points), which means Anhui desires more products from Jilin, Heilongjiang, and Shanghai. A similar pattern is observed for Jiangxi, Zhejiang, and Jiangsu. However, in Fig. S4b–f, Anhui follows a pattern similar to Hunan and Hubei, where the indirect TGP-FRFs enhance trade surplus for these provinces. This alteration in trading balance suggests that, in scenarios with less severe flood damage, the supply chains from Jilin, Heilongjiang, and Shanghai to Anhui are notably affected and supported by the TGP. However, as flood-related losses increase beyond a certain threshold, destructive damage may occur in the supply chains from Anhui to Jilin, Heilongjiang, and Shanghai. The detailed supply chains supported by the TGP are illustrated in Fig. S1, which reveals that the manufacturing and construction sectors are the two industries most significantly impacted by the TGP’s flood-retention capacity. In addition, the financial sector in Guangdong and Yunnan also benefits indirectly from the TGP. This highlights the extensive and cross-sectoral influence of the TGP, demonstrating how its flood-retention functions extend beyond immediate flood control to stabilize key industries and support broader economic resilience.
Discussion
This research introduces the concept of the “hydraulic project’s footprint” (HP-F), which can be further categorized into non-flood-retention and flood-retention footprints. Direct non-flood-retention HP-Fs refer to the functions of LHPs that provide direct economic commodities, such as increased hydropower generation and enhanced waterborne cargo volume43. The resulting impacts on related industrial outputs and GDP growth, transmitted through supply chains, are defined as indirect non-flood-retention HP-Fs. Direct flood-retention footprints of HP (HP-FRFs) refer to an LHP’s capacity to mitigate floods by reducing flood peaks, protecting physical assets, and shortening inundation periods. These capacities contribute to faster recovery in labor supply, reestablishment of supply chains, and reconstruction of assets, ultimately minimizing economic losses during and after floods. While direct non-flood-retention HP-Fs have been extensively studied by various local governments and researchers38,39,41, and some attention has been given to indirect non-flood-retention HP-Fs35,44,45, the indirect effects of HP-FRFs have been largely overlooked. Although direct HP-FRFs have been widely studied over the past two decades38,46,47, limited attention has been paid to their indirect impacts. These indirect HP-FRFs can affect various socio-economic factors, such as labor availability, supply chain stability, market flexibility, and trade balances. Neglecting these indirect pathways would markedly understate the positive role of LHPs in supporting socio-economic activities susceptible to flooding.
As the world’s largest hydroelectric station, the TGP’s critical function is flood retention48. This study refines the spatial analysis of its indirect flood-retention benefits using a factorial analysis technique aided by a distributed CGE model, building on temporal patterns from previous research35. The direct economic losses reported by “Catastrophic 2020 Yangtze River Flooding” were ~132 billion CNY49, while median GDP losses with the TGP were estimated at ~140 billion CNY in this study. Despite challenges in validating macroeconomic impacts due to limited official reports, the indirect TGP-FRFs on GDP, ranging from 4 to 90 billion CNY, align with past estimates of TGP’s flood-control benefits (~26 billion CNY)50. These results validate the mechanism for assessing the spatial distribution of indirect TGP-FRFs within acceptable ranges, despite optimistic assumptions on direct asset and business interruption impacts.
The provincial patterns of indirect TGP-FRFs are revealed from three perspectives: GDP, residents’ living standards, and inter-provincial trade balance. The indirect TGP-FRFs originate from its ability to reduce flood-related losses in directly exposed areas, thus stabilizing supply chains disrupted by floods both within and between provinces. The TGP mitigates flood-related losses, stabilizing disrupted supply chains and reducing GDP and welfare losses in provinces like Neimenggu, Shandong, Guangdong, and Guizhou. Its impact extends beyond the Yangtze River region, offering valuable policy insights:
-
i.
Establish a coordinated flood management and response mechanism among key downstream provinces in the Yangtze River Basin, particularly Hubei, Hunan, Anhui, Jiangxi, Zhejiang, and Jiangsu, to fully leverage the strategic flood retention capacity of the TGP. Given that TGP has provided substantial direct flood control benefits to these provinces, and we find that these benefits have further extended nationwide through production and supply chains, it is crucial to strengthen inter-provincial collaboration in flood forecasting, infrastructure upgrading, and emergency response planning. Enhanced coordination and information-sharing among these provinces will optimize the regional utilization of TGP’s flood-retention function, reduce overlapping investments, and minimize nationwide economic disruptions caused by flood events.
-
ii.
Implement a cross-province flood control benefit sharing mechanism, given the indirect economic benefits provided by TGP’s flood-retention capacity to other provinces could be. Beneficiary provinces could contribute through taxes or fiscal subsidies to support the infrastructure maintenance and construction in the Yangtze River region, incentivizing broader participation in similar large-scale flood control projects, like Wudongde, Xiangjiaba, and Xiluodu projects.
-
iii.
Optimize industrial layouts to enhance the disaster resilience of key industries (e.g., AGR, CON, TSM, AMI, ECN, and WEM industries), since the indirect TGP-FRFs extend to multiple provinces through supply chains. By aligning industrial planning with regions that benefit most from TGP’s protection, and by promoting inter-provincial coordination in flood preparedness and recovery, policymakers can enhance the systemic resilience of critical industries and reduce nationwide economic disruptions.
-
iv.
Establish a cross-regional disaster insurance mechanism anchored in the TGP’s strategic flood control role, based on the identification of the Three Gorges Project’s (TGP) indirect flood-retention benefits across provinces through interlinked supply chains. Provinces that benefit indirectly from TGP’s upstream flood regulation—by avoiding supply chain disruptions—could jointly participate in a cooperative insurance scheme. This would internalize the shared benefits of TGP’s flood mitigation function, reduce the economic risks associated with downstream flood events, and accelerate post-disaster recovery and economic stabilization across regions.
As for the limitations, first, the flood-retention benefits of the TGP are closely linked to its other non-flood-retention functions (e.g., power generation capabilities); thus, the scheduling of operations during the flood season significantly impacts the effectiveness of its flood-retention capacity. We have qualitatively quantified the influence of operational schedules and other anthropogenic factors on the TGP’s flood-retention efficacy over the past decade into different ranges according to “Record of operation of the Three Gorges Project”51. However, these ranges only provide a rough estimate of the TGP’s flood control capacity and do not fully encapsulate its potential effectiveness.
The use of distance-decay functions to model the spatial distribution of the TGP’s direct flood-retention benefits is a simplified representation of complex, non-linear hydrological processes. This approach does not capture the dynamics of flood wave propagation or the role of tributary networks. To test whether this simplification critically influences our core conclusions, we conducted a sensitivity analysis. We constructed three alternative scenarios (“Linear”, “Squrt”, and “Ln”), each employing a different, internally consistent pair of decay functions (for capital and labor) calibrated to the same empirical endpoints (see Table S3). The results confirm the robustness of our key findings. While the estimated national total of indirect GDP loss mitigation (under U-F2-TH case) varied moderately across scenarios (ranging from 16.05 to 17.93 billion CNY, a variation of ±5.5%), the fundamental conclusions remained unchanged: (1) the TGP generates significant, positive indirect economic benefits nationwide; (2) the spatial hierarchy of benefits is preserved; and (3) the key drivers identified by the factorial analysis retain their statistical significance. Therefore, while future research could refine the spatial input by integrating a hydrodynamic model, our core socio-economic insights are demonstrably robust to the specific parameterization of spatial benefit decay.
This study primarily focuses on the spatially indirect TGP’s FRFs, without delving deeply into other environmental impacts, such as ecosystem changes and water quality issues52. These factors may significantly influence the overall benefits of the TGP and have profound implications for regional economic and social development. Therefore, future research should consider incorporating these environmental factors into the analytical framework to achieve a comprehensive assessment of the TGP’s cumulative benefits.
While the CDCM captures the full network equilibrium effects of a shock, our analysis primarily reports on the net outcome for each province (the indirect TGP-FRF). It does not provide a detailed, stepwise decomposition of the specific multi-stage propagation pathways (e.g., Hubei → Sector A in Beijing → Sector B in Shandong) through which these net effects are achieved.
This study provides a static comparison of economic outcomes with and without the TGP’s flood-retention function, holding the spatial distribution of assets constant. It does not account for the potential long-term socio-hydrological feedback whereby reduced perceived flood risk may encourage increased investment and settlement in now-protected floodplains. While this feedback could amplify future losses from extreme events exceeding the TGP’s capacity, modeling it requires a dynamic framework integrating endogenous capital migration with risk perception, which is a valuable direction for future research.
Methods
The development of the Spatial Footprint Impact Assessment framework
In this study, a Spatial Footprint Impact Assessment framework (SFIA) is established and applied to the TGP to evaluate how the project’s province-level flood-retention effects influence regional socio-economic systems during flood events (see Fig. 6). The approach integrates a multi-region CGE model (CDCM) with a flooding module and uses mixed-level factorial analysis to examine the effects of factors related to flooding and the TGP’s flood-retention capacity. The CGE model estimates macroeconomic impacts and sectoral and regional outputs under various flood scenarios, while factorial analysis identifies key factors and interactions driving economic changes. Figure 6 outlines the SFIA framework, with blue (CDCM model) and gray (mixed-level factorial analysis) textboxes representing its modules. Green components highlight the flooding module. Industries and economic indicators susceptible to floods are classified as “directly exposed industries” (e.g., agriculture and water management) and “directly exposed indicators” (e.g., capital stock, labor availability), respectively. Areas which are directly exposed to floods from the Yangtze River, such as Hubei and Hunan provinces, are termed “directly exposed areas.” These areas are protected by the TGP (provinces in deep blue in Fig. 6, whereas non-directly exposed areas are in light blue). The TGP addresses diverse impacts across directly exposed industries, indicators, and areas, necessitating a comprehensive assessment of its flood-retention benefits.
Within this map, provinces directly affected by floods in the Yangtze River basin are shaded in deep blue, whereas those indirectly impacted are marked with light blue. The geographical location of the Three Gorges Project is denoted by a red star.
The China’s distributed CGE model with a multiregional flooding module
The China distributed CGE model (CDCM) forecasts socioeconomic systems using a multiregional Social Accounting Matrix (SAM) for 31 provinces in 2017. Industries in each province utilize capital, labor, and intermediate goods from intra- and extra-regional sources. Capital and labor are combined into value-added via a Constant Elasticity of Substitution (CES) function, with both factors treated as region-specific and the resulting value-added acting as a complement to intermediate inputs. Overland floods impact transportation and daily life, primarily affecting labor availability rather than mobility. Labor can move freely across industries within regions post-flood, provided it is available. Household and government consumption, saving, and investment are endogenous variables in the model, with nested structures capturing substitution in production and value-added. To replicate the benchmark equilibrium, key parameters (e.g., elasticities and marginal propensities) are estimated through calibration using 2017 base-year data. The model simulates flood-induced shocks under various scenarios, with detailed procedures are provided in Supplementary Information-S1. The sector/region abbreviations can be found in Table 1 and Table 2.
A regional-specific flooding module is developed, which can simulate the regionally detailed socio-economic information related to floods and TGP’s flood-retention capacity. Regarding the flood-retention component, the dominant sources of flood-induced economic losses are found to be direct losses to capital stock and disruptions to business interruption (BI)53. This points to two key dimensions for evaluating the TGP’s flood-retention capacity: how effectively it curtails direct capital losses and how much it alleviates business interruption35. Regarding direct capital losses, although floods can affect a wide range of industries, the losses in many sectors are far smaller than those observed in Agriculture, Forestry, Animal Husbandry and Fishery Products and Services (AGR); Construction (CON); Transportation, Warehousing and Postal Services (TSM); Accommodation and Catering (AMI); Finance (ECN); and Water Conservancy, Environment and Public Facilities Management (WEM)9. Therefore, 9 industries within 31 provinces are aggregated in this study, where directly exposed industries (i.e., AGR, CON, TSM, AMI, ECN, and WEM industries) are particularly emphasized. The related direct capital losses of directly exposed industries can be estimated using Eq. (1) in this study, while the losses of remaining industries are disregarded35:
where \({{DCL}}_{{fz},m}\) represent the direct capital losses of industry m in directly exposed area fz; \(K{D}_{{fz},m}\) denotes the capital stock of industry m in the absence of flooding.; \({E}_{{fz},m,s}\) represents the proportion of industry m’s assets that are exposed to flood water depth s; \({D}_{{fz},m,s}\) indicates the corresponding damage rate at that depth. \({E}_{{fz},m,s},{D}_{{fz},m,s}\) reflect the notion that, for any given component of an industry, capital stock being a typical example, only a fraction becomes at risk during a flood, and an even smaller fraction actually incurs physical losses. \({FR}{C}_{{fz}}\) captures the TGP’s flood-retention capacity, defined as its ability to reduce capital-stock losses in the directly exposed region fz.
In simulating BI effects, the model presumes that the output of a given industry will be reduced to essentially zero during flood inundation owing to severe supply-chain interruptions, limited workforce availability, and multiple related disturbances. The loss of available labor is used as a core indicator of BI, capturing situations where output cannot be restored due to the inability to redeploy workers to undamaged capital31. Nevertheless, such BI is usually short-lived because post-flood cleaning efforts and emergency interventions are rapidly undertaken. Within this framework, losses in labor availability are approximated using the recovery parameter (RPL), which assumes that labor recovery proceeds in a linear manner53. As the TGP is capable of reducing flood intensity, the corresponding labor loss, accounting for its mitigating effects, can be formulated as:
where \({{\rm{DLL}}}_{{\rm{fz}}}\) represents direct losses of labor availability in directly exposed area fz; \({{\rm{IDP}}}_{{\rm{s}}}^{{\rm{flood}}}\) is the inundation period, which corresponds to flood water depth s; \({FRC}{I}_{{fz}}\) denotes the TGP’s flood-retention capacity in shortening the inundation period; \({P}_{{fz},m}\) represents the daily labor supply of industry m in the absence of flooding; \({{LD}}_{{fz},m}\) is the labor demand of industry m; \({LA}{F}_{{fz},s}\): proportion of labor availability affected by flood water depth s; \({FRC}{L}_{{fz}}\) represents the extent to which the TGP’s flood-retention capacity in reducing the losses of labor availability. The procedure for integrating the calculated direct capital and labor losses as shocks to the regional factor endowments in the CES function:
where \({{KS}}_{{fz}}\) is total capital supply, \({{LS}}_{{fz}}\) is total labor supply, \({{\rm{VDD}}}_{z,{\rm{m}}}\) is the value-added of industry m; \({{\rm{B}}}_{z,{\rm{m}}}^{V}\) is the scale parameter (CES – value added); \({\beta }_{z,m}^{V}\) is the share parameter (CES – value added) and \({\rho }_{z,m}^{V}\) is the elasticity parameter (CES – value added. Therefore, a multi-regional flooding module linking the flood-retention capacity of the TGP and flood-related losses to other modules can be established.
TGP’s footprints
This study introduces the concept of TGP’s footprints, encompassing the direct and indirect impacts of the TGP (or other LHPs) from temporal and spatial perspectives. Direct footprints refer to the project’s roles in hydropower generation, navigation improvement, and water provision, while indirect footprints represent the broader gains propagated through inter-industry connections. For example, in our previous study35, the direct footprints of TGP were modeled as six commodities, including agriculture, energy, water, transportation, tourism, and water conservancy management. This led to indirect footprints of TGP in both GDP increment (~US$57 billion) and carbon mitigation (~12.9 Mt CO2eq) within the Yangtze River Economic Belt (YREB) annually (from 2015 to 2024). The TGP’s direct flood-retention footprints on capital stock and labor within the YREB have been evaluated, and these findings imply that the project’s indirect flood-retention benefits may reduce GDP losses by around US$21 billion during flooding and nearly 50% of the long-term losses over reconstruction.
The TGP generates a range of indirect effects through both flood-retention and non-flood-retention functions. In this study, we focus specifically on the spatial distribution of its indirect flood-retention footprints, as these are most closely associated with regional flood resilience and urban–rural socio-economic stability. The assessment of indirect non-flood-retention footprints constitutes a logical extension of this work.
Mixed-level factorial analysis
The TGP’s flood-retention footprints on socio-economic systems are influenced by multiple factors and their interactions. The mixed-level factorial analysis (MFA) is advantageous for examining the effects of multiple factors and their interactions on a specific response9,54. Operationally, an MFA framework typically involves: selecting impact factors, defining their variation ranges, generating ordered responses, applying ANOVA, and determining significant main and interaction effects. A common two-level design (2ᵏ) evaluates k factors, each set at two levels (e.g., a lower and an upper bound). If five factors are considered, 32 (25) experiments are required. The 2k design used in our study is particularly useful when many factors are likely to be investigated. The factorial model needs to be developed first, which can be simulated as
where \({y}_{i,j,k}\) is the observation value when the factor A and B at ith and jth level with kth replication; \(\mu\) is the overall mean effect; \({\alpha }_{i}\) and \({\beta }_{j}\) are the effect of factor A and B under ith and jth level respectively; \({\left(\alpha \beta \right)}_{i,j}\) is the related interaction effect; \({\varepsilon }_{i,j}\) is a random error under this circumstance. Since the errors would come from the factors and their interactions, the analysis of the variance (ANOVA) will be performed. Firstly, the total sum of squares (SSN) can be obtained:
The sum of squares of the main effects (SSA, SSB) can be calculated by the following equations:
Then the sum of squares the interaction effects (SSAB) is obtained accordingly through Eq. (2e):
The last part of the sum of squares is the one generated from the random error (SSE), which can be calculated through subtraction:
The related mean squares (e.g., MSA) are the related sum of the squares dividing their degree of freedom:
Then, if the \({\varepsilon }_{i,j,k}\) follow the normal distribution with variance \({\rm{\sigma }}\), the proportion of the mean squares of each factor with that of the error (i.e., MSA/MSE) will follow the Fisher distribution, which can be used to investigate whether the effect of the factor or interaction is significant or non-significant under a given significance level.
Scenarios description and data description
In this study, the multiregional SAM is developed based on the “China’s Multiregional Input-output Table of 31 provinces China in 2017”55, which is the most recent China’s multiregional input-output table. Conditions without flooding are represented by the business-as-usual scenario, which provides the baseline for comparison. Additional scenarios specifying different flood-water depths are designed to reproduce the complex patterns of damage rates (refer to Table 3). These scenarios are motivated by the theory that floods of different scales can result in directly exposed areas being flooded to various depths, leading to different damage rates for directly exposed industries31,53. Three flood water depth scenarios are considered in this research: F1 (0 to 0.5 m), F2 (0.5 to 1.0 m), and F3 (1.0 to 2.0 m). Due to data limitations, the share of capital stocks sensitive to floods (refer to Table 3) (in flood-sensitive cities of the directly exposed areas) can be derived based on the percentage of sectoral capital stocks exposed to floods in major urban areas investigated by Gertz et al.31, as we consider that the siting of a specific industry follows similar principles within directly exposed areas. These scenarios aim to highlight different consequences of flood events rather than the exact scale of floods.
For instance, in the F1 scenario, the damage rate of industry-AGR indicates that 0.33×0.2 of industry-AGR’s capital stock within the directly exposed areas would suffer asset damages because its capital stocks are flooded below 0.5 m due to flood events. Information regarding the population directly exposed to flood disasters (refer to Table S1) is obtained from the “Yearbook of Meteorological Disasters in China“41 and used to estimate the range of labor availability factor (LAF) (Table 4). Lower and upper bound of LAF is set as two scenarios in relation to labor availability.
The flood-retention capacity of the TGP is estimated based on its performance to flood control from 2011 to 2020, sourced from the “Record of Operation the Three Gorges Project” published by China Three Gorges Corporation43. The flood-retention capacity of the TGP refers to a complex hydrological process and varies with the distance from the TGP. In this study, because of the data limitation, we simplify such a process and employ an interval value to evaluate the TGP’s flood-retention capacity to directly exposed regions. Multiple indicators related to TGP’s flood-retention capacity are shown in Table S2. We consider “the ratio to peak flow and outflow” to the indicator reflecting TGP’s capacity to control floods for its located regions, i.e., Hubei province. Based on recorded peak flows, we applied the K-means method56 to classify the TGP’s operational conditions into three clusters. For each cluster, a corresponding value for the flood-retention capacity indicator (FRCHubei) is derived. This process aligns the variation in FRCHubei with the designed flood water depth scenarios. Furthermore, we assume that flood-retention capacity of TGP decays with distance. Thus, a logarithm function is added into the SFIA to estimate FRC in other directly exposed areas:
Geometric center of gravity of each directly exposed area is used to represent its distance to the TGP. Parameter a and b can be determined by calibrating the function between two control points: (1) the empirically estimated FRC for Hubei province (the anchor point near the TGP), and (2) a defined far-field boundary condition at the Yangtze River estuary, where the direct flood-retention effect is assumed to be negligible, represented by a residual value of 0.01 (FRCestuary ≈ 1%). This boundary condition reflects the logical extreme where the TGP’s localized flood peak attenuation effect diminishes to near-zero at a great distance. The estimation of FRC is shown in Table 5. A sensitivity analysis on this spatial assumption is presented in Supplementary Information, S3 and Table S3.
As for the parameters FRCI and FRCL (assumed to be the same since both are labor-related parameters representing the TGP’s flood-retention capacity to protect against labor losses), a noticeable reduction in the population affected by floods can be observed from 2011. Considering that the fourth 175-meter experimental impoundment of the TGP began on September 10, 2011, and a noticeable reduction in the population affected by floods can be observed from 2011 onwards, except for 2016, which experienced several severe floods across the Yangtze River, it is reasonable to assume that this improvement can be attributed to the TGP’s full operation. Therefore, the FRCI and FRCL are estimated according to the changes in population affected by floods before and after TGP’s full operation (Table 6).
Based on the scenarios aforementioned, all cases consist of three types of scenarios: proportion of labor availability directly exposed to floods (L, U), flood water depth (F1, F2, F3), and TGP’s flood-retention capacity (TL, TU). The impacts of three factors responding to different indicators are examined through the FLA under a significance level of 0.05 (p = 0.05). Cases with only the first two scenarios (e.g., L-F1, U-F2) aim to indicate the consequences without TGP.
Some assumptions are described as follow: (1) The flood-retention capacity of the TGP on directly exposed areas within specific industries are inversely related to the distance from the provincial geographic center to the TGP; (2) During flood events, industries in high-risk areas are presumed to experience comparable losses, meaning that spatial differences in industry-level damages are minor; (3) The siting of industries follows uniform principles, meaning that the share of capital stocks sensitive to floods in flood-prone cities within each directly exposed area can be estimated based on the method outlined by Gertz et al.31.
Data availability
The China Statistical Yearbook can be downloaded from the National Bureau of Statistics China http://www.stats.gov.cn/tjsj/ndsj/. Some basic economic socioeconomic data are collected from data.stats.gov.cn/easyquery.htm?cn=C01. Other key parameters are collected from the previous research57,58. The Yearbook of Meteorological Disasters in China can be downloaded from the China National Knowledge Infrastructure: https://data.cnki.net/yearBook?type=type&code=A. The information about the TGP can be obtained from the Annual Report and the Record of Operation of the Three Gorges Project from the China Three Gorges Corporation: https://www.ctg.com.cn/sxjt/xzzx37/jtnb/index.html#index0.
References
Ahmad, S. et al. Quantifying LID impact: a modified metric for enhanced flood mitigation and urban resilience. Resour. Conserv. Recycl. 215, 108089 (2025).
Paramygin, V. A. & Sheng, Y. P. Coastal flooding in Southwest Florida during Hurricanes Irma and Ian. npj Nat. Hazards 2, 87 (2025).
UN Office for Disaster Risk Reduction. The Human Cost of Disasters: An Overview of the Last 20 Years (2000-2019) (2020). https://www.undrr.org/publication/human-cost-disasters-overview-last-20-years-2000-2019.
Li, L. et al. Numerical modeling of graded sediment transport with limited bed material supply–A case study in the Middle Yangtze River. J. Hydrol. (Amst.). 645, 132153 (2024).
He, W. et al. Dynamic urban flood risk assessment based on human activity patterns: an IFAHP-EWM-TOPSIS approach. Sustain. Cities Soc. 133, 106832 (2025).
García, M. A., Castro-Díaz, L., Villamayor-Tomas, S. & Lopez, M. C. Are large-scale hydroelectric dams inherently undemocratic? Glob. Environ. Change 71, 102395 (2021).
Zhang, J., Xu, L., Yu, B. & Li, X. Environmentally feasible potential for hydropower development regarding environmental constraints. Energy Policy 73, 552–562 (2014).
Zhang, S. et al. Navigation risk assessment method based on flow conditions: a case study of the river reach between the Three Gorges Dam and the Gezhouba Dam. Ocean Eng. 175, 71–79 (2019).
Han, D. et al. Unveiling direct and indirect impacts of the Three Gorges Project for supporting synergistic water-power management. J. Clean. Prod. 338, 130547 (2022).
Huang, L. et al. Balancing social, economic and ecological benefits of reservoir operation during the flood season: a case study of the Three Gorges Project, China. J. Hydrol. (Amst.). 572, 422–434 (2019).
De Faria, F. A. M., Davis, A., Severnini, E. & Jaramillo, P. The local socio-economic impacts of large hydropower plant development in a developing country. Energy Econ. 67, 533–544 (2017).
Tilt, B. & Gerkey, D. Dams and population displacement on China’s Upper Mekong River: Implications for social capital and social–ecological resilience. Glob. Environ. Change 36, 153–162 (2016).
Sternberg, R. Hydropower: Dimensions of social and environmental coexistence. Renew. Sustainable Energy Rev. 12, 1588–1621 (2008).
Fu, B., Wang, Y. K., Xu, P., Yan, K. & Li, M. Value of ecosystem hydropower service and its impact on the payment for ecosystem services. Sci. Total Environ. 472, 338–346 (2014).
Devi, D. & Sarma, A. K. Impact of interbasin transfer hydroelectric project on downstream aquatic habitat. Ecohydrology 16, e2584 (2023).
Li, T. & Wen, X. Local ecological footprint dynamics in the construction of the Three Gorges Dam. Resour. Conserv. Recycl. 132, 314–323 (2018).
Müller, B. et al. How polluted is the Yangtze river? Water quality downstream from the Three Gorges Dam. Sci. total Environ. 402, 232–247 (2008).
Gao, B., Chen, Y., Xu, D., Sun, K. & Xing, B. Substantial burial of terrestrial microplastics in the Three Gorges Reservoir, China. Commun. Earth Environ. 4, 32 (2023).
Li, X. et al. Development of an optimization-driven equilibrium model for managing water consumption and their socio-economic effects. Sustain. Cities Soc. 118, 106038 (2025).
Strzepek, K. M., Yohe, G. W., Tol, R. S. J. & Rosegrant, M. W. The value of the high Aswan Dam to the Egyptian economy. Ecol. Econ. 66, 117–126 (2008).
Liu, Y. et al. Multi-dimensional assessment of socioeconomic impacts of hydropower development—A case in the Upper Chuan River. Sci. China Technol. Sci. 58, 1272–1279 (2015).
Kahsay, T. N., Kuik, O., Brouwer, R. & van der Zaag, P. Estimation of the transboundary economic impacts of the Grand Ethiopia Renaissance Dam: A computable general equilibrium analysis. Water Resour. Econ. 10, 14–30 (2015).
Siddig, K., Basheer, M. & Luckmann, J. Economy-wide assessment of potential long-term impacts of the Grand Ethiopian Renaissance Dam on Sudan. Water Int. 46, 325–341 (2021).
Luo, B., Huang, G., Zhao, K., Pan, X. & Zhi, Y. Multi-effect equilibrium analysis for sector-level direct/indirect socio-economic and environmental effects of large-scale hydropower initiatives: a case study for the world’s 7th-largest hydropower project. Resour. Conserv. Recycl. 202, 107366 (2024).
Zhou, L. & Chen, Z. Are CGE models reliable for disaster impact analyses? Economic Syst. Res. 33, 20–46 (2021).
Vieira Passos, M. et al. Estimation of cascading hydroclimatic hazard impacts on supply systems and associated economic shocks. npj Nat. Hazards 2, 81 (2025).
Shibusawa, H. A dynamic spatial CGE approach to assess economic effects of a large earthquake in China. Prog. Disaster Sci. 6, 100081 (2020).
Rose, A. Z., Oladosu, G., Lee, B. & Asay, G. B. The Economic Impacts of the September 11 Terrorist Attacks: a computable general equilibrium analysis. Peace Economics Peace Sci. Public Policy 15 (2009).
Parent, O. et al. Estimating the Socioeconomic Impacts of Flooding on Regional Economies with a Computable General Equilibrium Model. Water Resour. Res. 59, e2022WR033474 (2023).
Prager, F., Chen, Z. & Rose, A. Estimating and comparing economic consequences of multiple threats: a reduced-form computable general equilibrium approach. Int. J. Disaster risk Reduct. 31, 45–57 (2018).
Gertz, A. B., Davies, J. B. & Black, S. L. A CGE framework for modeling the economics of flooding and recovery in a major urban area. Risk Anal. 39, 1314–1341 (2019).
Giesecke, J. A. et al. Assessment of the regional economic impacts of catastrophic events: CGE analysis of resource loss and behavioral effects of an RDD attack scenario. Risk Anal.: Int. J. 32, 583–600 (2012).
Hoffmann, C. & Stephan, G. Regional flood impacts and adaptation in a federal setting: a spatial computable general equilibrium analysis for Switzerland. Clim. Chang. Econ. (Singap.). 9, 1850001 (2018).
Zeng, Z., Guan, D., Steenge, A. E., Xia, Y. & Mendoza-Tinoco, D. Flood footprint assessment: a new approach for flood-induced indirect economic impact measurement and post-flood recovery. J. Hydrol. (Amst.). 579, 124204 (2019).
Han, D. et al. Factorial CGE-based analysis for the indirect benefits of the Three Gorges Project. Water Resour. Res. 59, e2022WR033360 (2023).
Li, Z. et al. The net GHG emissions of the China Three Gorges Reservoir: I. Pre-impoundment GHG inventories and carbon balance. J. Clean. Prod. 256, 120635 (2020).
Fu, B. J. et al. Three Gorges Project: Efforts and challenges for the environment. Prog. Phys. Geogr. 34, 741–754 (2010).
Heggelund, G. Environment and Resettlement Politics in China: The Three Gorges Project (Taylor & Francis, 2017).
Di, M. & Wang, J. Microplastics in surface waters and sediments of the Three Gorges Reservoir, China. Sci. Total Environ. 616, 1620–1627 (2018).
Gao, X., Zeng, Y., Wang, J. & Liu, H. Immediate impacts of the second impoundment on fish communities in the Three Gorges Reservoir. Environ. Biol. Fishes 87, 163–173 (2010).
China Meteorological Disaster Yearbook Committee. Yearbook of Meteorological Disasters in China. (China Meteorological Administration, 2017).
Chipman, J. S. & Moore, J. C. Compensating variation, consumer’s surplus, and welfare. Am. Econ. Rev. 70, 933–949 (1980).
Corporation, C. T. G. China Three Gorges Corporation. https://www.ctg.com.cn/en/.
Luo, B. et al. Sector-level socio-economic and environmental effects of large-scale hydropower initiatives-a multi-region multi-phase model for the Wudongde Hydropower Station. Appl. Energy 317, 119157 (2022).
Zhai, M., Huang, G., Li, J., Pan, X. & Su, S. Development of a distributive Three Gorges Project input-output model to investigate the disaggregated sectoral effects of Three Gorges Project. Sci. Total Environ. 148817 (2021).
Fu, B.-J. et al. Three Gorges Project: efforts and challenges for the environment. Prog. Phys. Geogr. 34, 741–754 (2010).
Xu, X., Tan, Y. & Yang, G. Environmental impact assessments of the Three Gorges Project in China: Issues and interventions. Earth. Sci. Rev. 124, 115–125 (2013).
Venture, C. Y. J. Three Gorges Water Control Project Feasibility Study. Environment 8 (1988).
Minister of Emergency Management of the People’s Republic of China. The Ministry of Emergency Management announced the top 10 natural disasters in 2020 (2021). https://www.mem.gov.cn/xw/yjglbgzdt/202101/t20210102_376288.shtml.
Zheng, T., Qiang, M., Chen, W., Xia, B. & Wang, J. An externality evaluation model for hydropower projects: A case study of the Three Gorges Project. Energy 108, 74–85 (2016).
Corporation, C. T. G. Record of Operation of the Three Gorges Project. https://www.ctg.com.cn/sxjt/xzzx37/jtnb/index.html#index5 (2017).
Tang, X., Li, R., Wang, D., Jing, Z. & Zhang, W. Reservoir flood regulation affects nutrient transport through altering water and sediment conditions. Water Res. 233, 119728 (2023).
Tanoue, M. et al. Estimation of Direct and Indirect Economic Losses Caused by a Flood With Long-Lasting Inundation: Application to the 2011 Thailand Flood. Water Resour. Res. 56, 1–22 (2020).
Montgomery, D. C. Design and Analysis of Experiments (John wiley & sons, 2017).
Zheng, H. et al. Regional determinants of China’s consumption-based emissions in the economic transition. Environ. Res. Lett. 15, 074001 (2020).
Ahmed, M., Seraj, R. & Islam, S. M. S. The k-means algorithm: a comprehensive survey and performance evaluation. Electronics (Basel). 9, 1295 (2020).
Fu, Y., Huang, G., Zhai, M., Li, J. & Pan, X. Water footprint analysis under dual pressures of carbon mitigation and trade barrier: A CGE-based study for yangtze river economic belt. Water Resour. Res. 58, e2021WR029599 (2022).
Zheng, X. et al. Development of a factorial water policy simulation approach from production and consumption perspectives. Water Res. 193, 116892 (2021).
Acknowledgements
This research was supported by the National Natural Science Foundation (52279001, 52279003), Innovative Research Group (52221003), and National Key R&D Program (2023YFC3206503).
Author information
Authors and Affiliations
Contributions
Dengcheng Han: Conceptualization, Methodology, Software, Writing- Original draft preparation, Visualization, Investigation, Writing- Reviewing and Editing,David Z. Zhu: Writing-Reviewing and Editing, SupervisionGuohe Huang:Writing- Reviewing and Editing, Supervision, Funding acquisitionYongping Li: Writing- Reviewing and revision Shaohui Yang: Writing—Reviewing and revision Qiuhua Tao: Writing—Reviewing and revisionSichen Gao: Visualization, Writing—Reviewing and Editing.
Corresponding authors
Ethics declarations
Competing interests
The authors declare no competing interests.
Additional information
Publisher’s note Springer Nature remains neutral with regard to jurisdictional claims in published maps and institutional affiliations.
Supplementary information
Rights and permissions
Open Access This article is licensed under a Creative Commons Attribution-NonCommercial-NoDerivatives 4.0 International License, which permits any non-commercial use, sharing, distribution and reproduction in any medium or format, as long as you give appropriate credit to the original author(s) and the source, provide a link to the Creative Commons licence, and indicate if you modified the licensed material. You do not have permission under this licence to share adapted material derived from this article or parts of it. The images or other third party material in this article are included in the article’s Creative Commons licence, unless indicated otherwise in a credit line to the material. If material is not included in the article’s Creative Commons licence and your intended use is not permitted by statutory regulation or exceeds the permitted use, you will need to obtain permission directly from the copyright holder. To view a copy of this licence, visit http://creativecommons.org/licenses/by-nc-nd/4.0/.
About this article
Cite this article
Han, D., Zhu, D.Z., Huang, G. et al. Spatial heterogeneity in indirect flooding-mitigation benefits of the Three Gorges Project across China. npj Nat. Hazards 3, 29 (2026). https://doi.org/10.1038/s44304-026-00187-7
Received:
Accepted:
Published:
Version of record:
DOI: https://doi.org/10.1038/s44304-026-00187-7








