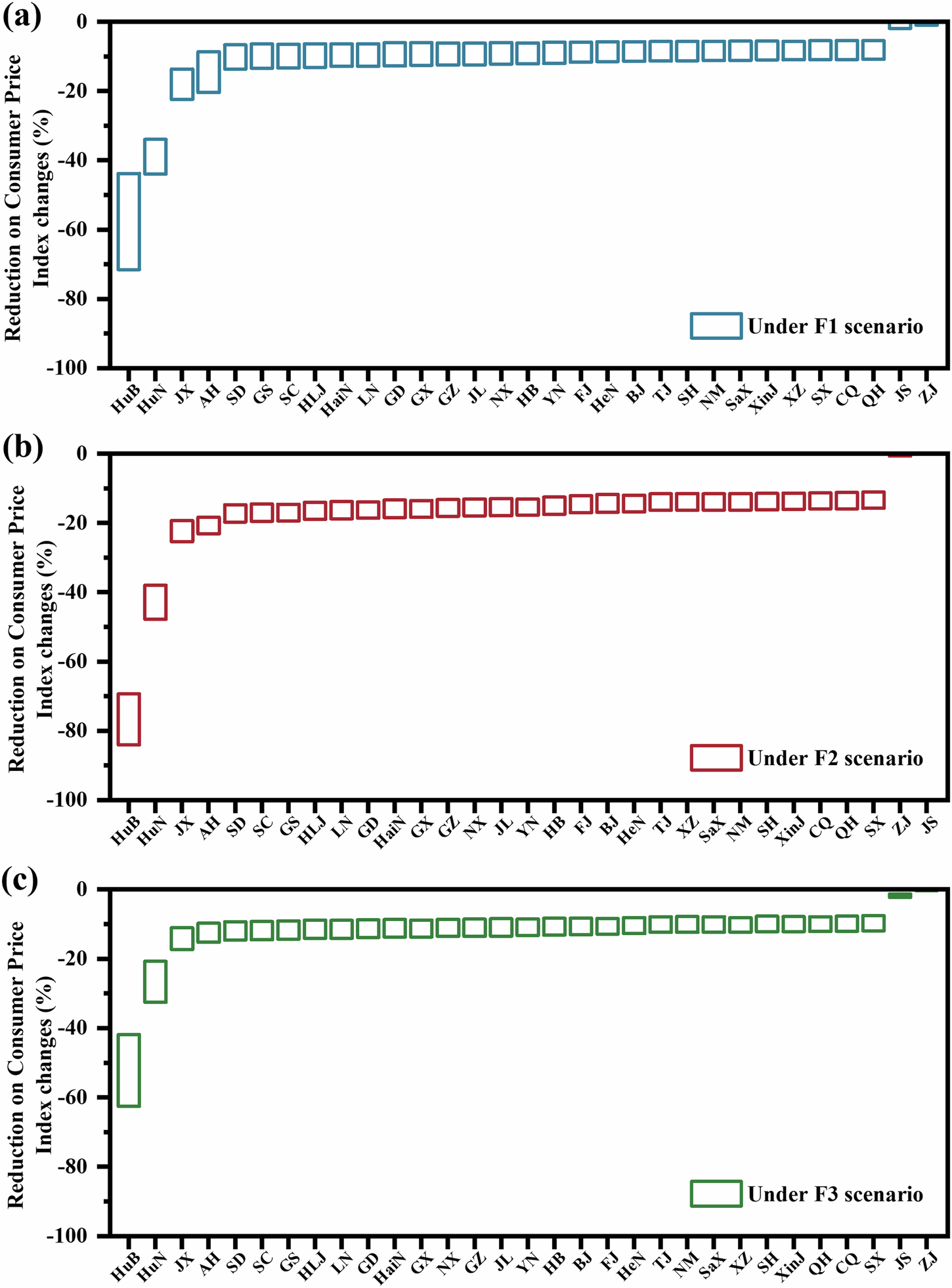
Fig. 4: The Consumer Price Index variations for vairous provinces.

The range of reductions in Consumer Price Index changes (%) resulting from TGP’s flood-retention capacity under (a) F1, (b) F2 and (c) F3 scenario.

The range of reductions in Consumer Price Index changes (%) resulting from TGP’s flood-retention capacity under (a) F1, (b) F2 and (c) F3 scenario.