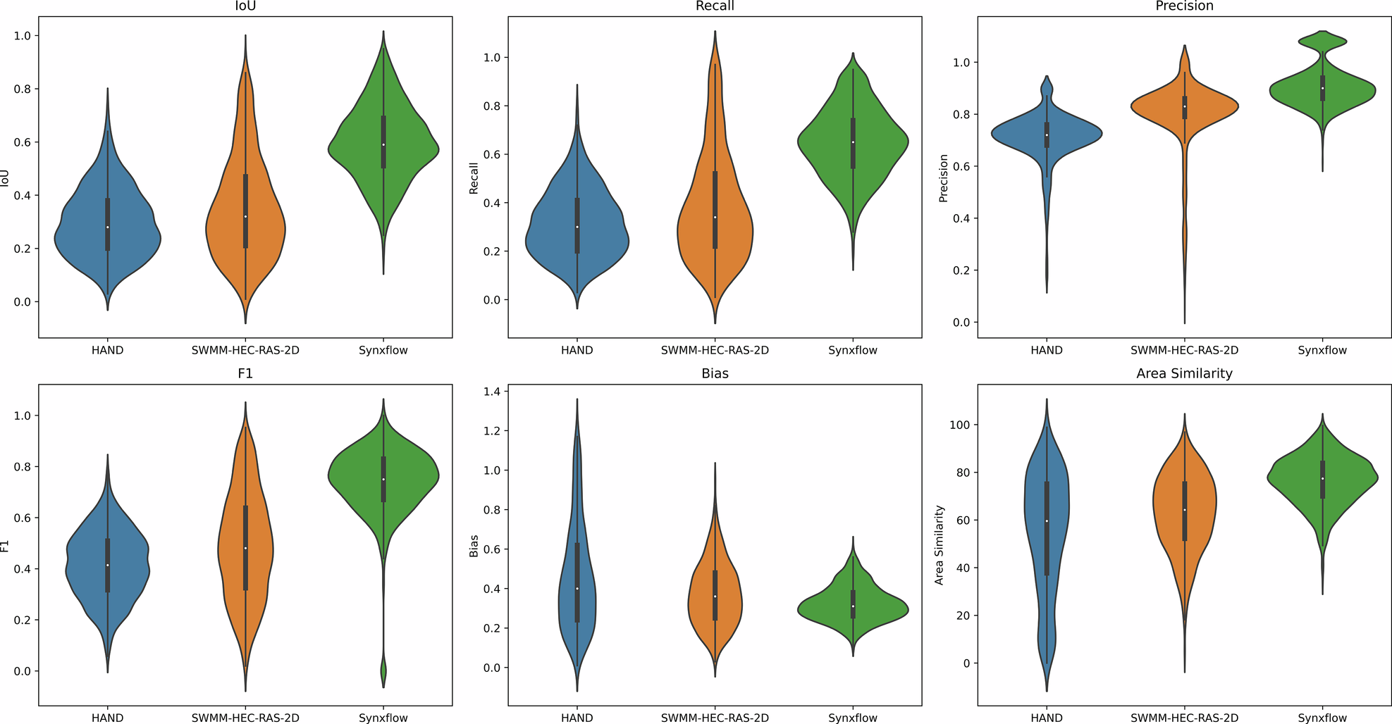
Fig. 6: Comparison of different flood models with observations.
From: GPU-accelerated city-scale urban flood forecasting for real-time decision-making

GPU-based SynxFlow, CPU-based SWMM–HEC-RAS-2D, and HAND model outputs with CNN–SAR observations for selected census tracts during the 2 July 2023 flood event. Higher index values indicate better model performance, while lower bias values reflect improved accuracy. The width of each violin plot represents the degree of uncertainty; wider sections correspond to lower uncertainty in model performance.