Abstract
Tsunami waves are long gravity waves that propagate nearly conservatively in deep water, but may undergo significant energy dissipation during nearshore propagation due to coastal vegetation, roughness, and man-made structures. Quantifying this obstacle-induced attenuation in a physically consistent and transferable way remains a key challenge for the assessment of tsunami hazard. This study presents a comparative theoretical and experimental framework for the attenuation of tsunami-like long-wave pulses in vegetated or obstructed environments. Energy-based formulations are developed for both solitary waves and tsunami-like N-waves, demonstrating that they share the same hyperbolic amplitude-decay structure, with differences arising solely from waveform geometry through a shape-dependent coefficient. Within a common shallow-water setting, the analysis explicitly separates waveform representation from the adopted damping closure. These formulations are contrasted with linearized depth-averaged resistance models commonly used for long waves, considering both a constant-rate exponential attenuation and a pulse-consistent variant. Laboratory experiments involving solitary waves propagating through rigid stem arrays are used to calibrate bulk drag coefficients and provide a physically grounded benchmark. The calibrated resistance parameters are then applied, without re-fitting and without introducing new experimental data for tsunami waves, to predict the attenuation of tsunami-like pulses using alternative waveform representations and resistance closures. The results show that, for identical obstacle properties, predicted wave damping depends primarily on the adopted attenuation closure. In particular, constant-rate exponential formulations systematically overestimate attenuation for finite pulses, highlighting the importance of energy-consistent, pulse-based models for tsunami propagation in vegetated regions.
Similar content being viewed by others
Introduction
Coastal vegetation, including mangroves and wetlands, has long been recognized for its capacity to mitigate the impact of extreme hydrodynamic events such as storm surges and tsunamis. In addition to their ecological role as major carbon sinks, mangrove forests can reduce wave energy through the generation of drag and wake, thus contributing to coastal protection. Following major tsunami events, a substantial body of literature has highlighted the potential protective function of mangroves and coastal forests (Dahdouh-Guebas and Koedam1, Mazda et al.2, Danielsen et al.3, Das and Vincent4, and Mazda et al.5).
From a hydrodynamic perspective, the interaction between long waves and coastal vegetation is often idealized as the interaction between waves and arrays of rigid vertical elements. This abstraction is also relevant beyond natural vegetation, as similar flow–structure interactions arise in the presence of man-made installations such as poles of mussel farms, offshore wind farms, and other coastal infrastructures6. In this context, vegetation or obstacle fields are commonly represented as distributions of rigid cylinders that extract energy from wave motion primarily through drag.
Extensive observational, experimental and theoretical studies have investigated wave attenuation by coastal vegetation (e.g., Dahdouh-Guebas and Koedam1, Danielsen et al.3, Das and Vincent4, Augustin et al.6, Goring7, Mendez and Losada8, Kathiresan and Rajendran9, Huang et al.10, Hu et al.11, Mancheño et al.12, and Zhang and Nepf13). However, existing approaches span a wide range of formulations that differ in waveform representation, drag parameterization, and resistance closure. As a result, long-wave damping laws reported in the literature are often not directly comparable, and their transferability to tsunami hazard assessments remains sensitive to both the assumed waveform and the adopted dissipation model.
In particular, wave dissipation depends sensitively on vegetation density, stem geometry, submergence, and the interaction between wave-induced velocities and background currents. These dependencies complicate the formulation of transferable attenuation laws suitable for use in tsunami hazard assessments and coastal-risk models. Figure 1 provides a conceptual illustration of tsunami attenuation within a vegetated coastal zone.
The figure qualitatively illustrates reduced wave impact in areas protected by coastal vegetation compared to non-vegetated zones.
Since the 1970s, solitary waves have been widely adopted in laboratory and theoretical studies as idealized representations of long waves relevant to tsunami dynamics. Although solitary waves do not strictly reproduce the zero-volume condition characteristic of many geophysical tsunamis, they provide a controlled and analytically tractable framework for investigating nonlinear long-wave processes, including wave–vegetation interaction.
Recent studies have investigated the damping of solitary waves and small-amplitude (Airy-type) waves by coastal vegetation using theoretical, numerical and experimental approaches14,15,16. These works focused primarily on (i) the calibration of bulk drag coefficients, (ii) the role of vegetation density, submergence, and sheltering effects, and (iii) the validation of energy-based attenuation models for specific wave classes.
In particular, solitary-wave experiments allow the attenuation induced by obstacle arrays to be quantified using bulk drag formulations, even though the detailed flow mechanisms (vorticity generation, wake interference, and sheltering effects) remain difficult to infer from free-surface measurements alone.
In parallel, tsunami waveforms are frequently idealized as N-waves, consisting of coupled elevation and depression phases with zero net volume. Although both solitary waves and N-waves are widely used in tsunami-related studies, the literature often combines waveform idealizations and damping models without clearly distinguishing between (i) the assumed representation of the incoming long-wave pulse and (ii) the closure adopted to describe vegetation-induced dissipation. As a result, finite-amplitude pulses are sometimes treated using attenuation laws derived for quasi-harmonic wave trains, leading to potentially inconsistent predictions of wave damping.
The novelty of this is to demonstrate, within a single energy-consistent shallow-water framework, that solitary-wave and tsunami-like N-wave attenuation by obstacle drag share the same hyperbolic decay structure, with differences arising solely from waveform geometry through a shape-dependent coefficient. Unlike previous studies that focused on individual wave types, the present work explicitly separates the role of waveform representation from that of the damping closure and shows that apparent discrepancies between exponential and hyperbolic decay laws primarily reflect the assumed resistance formulation rather than fundamental differences in drag physics.
Therefore, the objective of this work is not to introduce new experimental datasets for tsunami waves but to provide a coherent and transferable framework linking solitary-wave and tsunami-like N-wave descriptions of long-wave attenuation in vegetated or obstructed nearshore environments.
To this end, experimental data previously reported for solitary waves14 are reused here as a calibrated benchmark for the obstacle-induced resistance, and are reinterpreted within a unified theoretical setting to assess their implications for tsunami-like N-wave attenuation and for alternative resistance closures.
Within a unified shallow-water setting, we distinguish explicitly between waveform representation and damping closure, and we compare energy-based quadratic-drag formulations with commonly used linearized resistance models. The analysis combines theoretical derivations with laboratory experiments involving solitary waves propagating through rigid stem arrays, including cases with a background current.
The paper is organized as follows:
The “Results” section presents a systematic comparison of the resulting attenuation laws under identical vegetation properties and describes the experimental setup and the calibration of bulk drag coefficients using solitary-wave measurements. The “Discussion” section addresses the implications of the proposed framework for tsunami modeling and coastal hazard assessment. Here is an improved and polished version in English: The “Methods” section introduces the wave models and damping closures considered in this study, including solitary waves, tsunami-like N-waves, and two resistance-type benchmark closures inspired by Mei et al.17. The same section also describes the experimental setup used to measure wave damping for solitary waves.
Results
In the following section, the results obtained from the proposed theoretical models and the experimental observations are presented. The description of the models and the experimental setup is provided in the “Methods” section. Therefore, the reader is referred to the aforementioned section for this information. In particular, the experimental results are compared with the theoretical model describing the damping of solitary waves. Subsequently, assuming comparable vegetation conditions and initial wave heights, the proposed theoretical models are compared with one another.
Comparison between solitary-wave theory and experimental measurements
In the theoretical model, the depth-integrated (enveloped) velocity profile is considered to evaluate the effect of the obstacle array on the overall wave-induced flow, without resolving the local velocity variations in the immediate upstream and downstream vicinity of individual cylinders. Likewise, wave reflection effects associated with each row of cylinders are not explicitly modeled. The literature on wave-vegetation interaction shows that such reflection effects are mainly relevant at the leading edge of the vegetated region. Indeed, several experimental and field studies reported in the referenced literature indicate that, in the initial portion of a vegetated area, wave damping is often not observed. On the contrary, a temporary increase in wave height may occur due to partial reflection and local flow adjustment at the vegetation front. The theoretical model proposed here does not account for this initial reflection process. Consequently, the model is applied downstream of the vegetation leading edge, where the attenuation regime becomes monotonic and drag-dominated. In the “Methods” section, the positions of all experimental wave gauges measuring the free-surface elevation are reported. Consistent with the considerations above, the experimental analysis of wave attenuation starts from the ultrasonic probe UP1 and extends to UP4, which is located immediately downstream of the vegetated region. Accordingly, wave dissipation is evaluated by taking the wave height at UP1 as the reference value (H = Hs). This value does not represent the theoretical incident height H0 at the vegetation entrance, but rather the initial wave height from which the attenuation analysis is performed in a physically consistent manner. Figures 2, 3, and 4 compare the experimentally measured solitary-wave heights along the stem array with predictions obtained from the theoretical solitary-wave attenuation model developed in this study. For each configuration (Exp1–Exp3), the incoming wave is a solitary wave, and the theoretical model is applied using the corresponding geometric parameters of the obstacle field. The parameter a is prescribed from geometry; the bulk CD is the only calibrated resistance coefficient.
Comparison between theoretical and experimental solitary wave heights (test Exp1).
Comparison between theoretical and experimental solitary wave heights (test Exp2).
Comparison between theoretical and experimental solitary wave heights (test Exp3).
The comparison shows good agreement between measured and predicted wave heights for all three configurations, indicating that the energy-based attenuation formulation captures the dominant dissipation mechanisms governing solitary-wave damping in rigid stem arrays, even in the presence of a background current.
The measured attenuation reflects the combined effects of stem-induced drag and wall friction. However, the contribution of wall friction is negligible compared to that of the stem array, owing to the relatively large width of the flume and the choice of a sufficiently long vegetated section. Similar considerations have been reported by Huang et al.10, who showed that, under comparable conditions, vegetation-induced dissipation dominates over boundary effects.
For completeness, the calibration procedure can be summarized as follows: the frontal area per unit volume of the array, a, is prescribed based on the known array geometry, and the bulk drag coefficient, CD, is obtained by fitting the proposed damping equation for solitary waves to the measured wave-height decay H(x) along the array, i.e., by matching the slope of 1/H versus x within the vegetated region. See the “Methods” section for further details.
From solitary-wave calibration to tsunami-like attenuation
The laboratory runs provide a physically grounded calibration of the bulk drag coefficient CD of the stem array as a function of the vegetation (or obstacle) density parameter ad, where d is the stem diameter (see the “Methods” section for details). The calibration is obtained by fitting the solitary-wave attenuation model to the measured wave-height decay within the array (Figs. 2–4).
It is emphasized that these experiments involve solitary waves propagating through the stem array and are therefore used exclusively to constrain the resistance properties of the obstacle field, namely the parameters a and CD. These calibrated obstacle parameters are then kept fixed when switching waveform/closure.
In this subsection, the calibrated resistance parameters derived from the solitary-wave experiments are not used to reproduce Exp1–Exp3 with alternative wave models (N-waves, Mei-exp, and PC-LR; see the “Methods” section for details). Rather, they are treated as fixed inputs to investigate how the predicted attenuation would change if, for the same obstacle field characterized by identical values of (a, CD), the incoming long-wave disturbance were described using a tsunami-like N-wave formulation or alternative attenuation closures based on the framework of Mei et al.17. This approach transfers experimentally constrained drag information from a solitary-wave benchmark to tsunami-relevant waveform representations and resistance closures, thereby isolating the role of the attenuation law (hyperbolic versus exponential) under otherwise identical obstacle conditions.
To avoid ambiguity, we stress that Mei-exp and PC-LR are used here as resistance-type benchmark closures that emulate the common practice of linearizing a quadratic resistance using a representative velocity scale (constant versus amplitude-updated). They are not intended as a full reproduction of all physical terms discussed by Mei et al.17 (e.g., additional dissipative mechanisms introduced for quasi-harmonic components), but are introduced to isolate the effect of a constant-rate versus pulse-consistent closure when applied to finite pulses.
For each experimental configuration, the water depth is h = 0.12 m and the reference wave height is taken as H0 = Hs, corresponding to the solitary-wave height measured at the entrance of the array (see Table 1, for whose details the reader is referred to the “Methods” section). The obstacle frontal area per unit volume a and the associated bulk coefficient CD are likewise those obtained from the calibration of the solitary-wave. The predictions are presented in normalized form as H/H0 versus the dimensionless distance x/h. For experimental runs, H0 = Hs (see Table 1).
In some runs, the first in-array measurement may yield H/Hs slightly different from unity. This is attributed to (i) small experimental uncertainty in the determination of Hs at the array entrance and (ii) a short adjustment region at the array leading edge (local flow rearrangement and partial reflection) before the attenuation trend becomes monotonic. The attenuation models are calibrated and compared using the decay trend over the vegetated reach, rather than enforcing an exact pointwise constraint at the first in-array gauge.
When the incoming disturbance is idealized as a tsunami-like N-wave, the energy-based formulation developed in the subsection on tsunami-like N-waves and the energy-based pulse attenuation yields a hyperbolic decay law,
where the dependence on waveform geometry is fully encapsulated in the shape coefficient KN.
In contrast, the standard formulation of Mei et al.17 (here referred to as Mei-exp) leads to an exponential decay of wave height,
because the quadratic drag force is linearized using a constant representative velocity scale. As a result, the local damping rate remains constant throughout the array, irrespective of the progressive reduction in wave amplitude.
Finally, in the pulse-consistent variant (PC-LR), the representative velocity scale is updated with the local wave amplitude. This modification restores a hyperbolic-type attenuation law consistent with quadratic-drag energetics for finite pulses,
where Kp is a closure-dependent constant reflecting the local scaling adopted for U*(x). In all three cases, the obstacle field is identical; only the waveform representation and/or the attenuation closure is changed (i.e., the same (a, CD); different waveform coefficient K and/or closure).
Figures 5, 6, and 7 present the resulting attenuation curves obtained for Exp1–Exp3 using the calibrated pairs (ad, CD) derived from the solitary-wave experiments (see the “Methods” section for details). These curves do not represent alternative fits to the laboratory data, but rather illustrate the attenuation that would be expected for tsunami-like long-wave pulses interacting with the same obstacle field. Figures 5–7 correspond to Exp1, Exp2, and Exp3, respectively. In all cases, the obstacle resistance parameters (a, CD) are those inferred from the comparison between the solitary-wave energy-based model and laboratory measurements, while the incoming disturbance is idealized as a tsunami-like N-wave (energy-based model), or treated using the attenuation framework with constant representative velocity (Mei-exp) and with amplitude-updated representative velocity (PC-LR). The figure illustrates how, for identical calibrated obstacle properties, the predicted wave damping depends primarily on the adopted attenuation closure rather than on the drag calibration.
Hypothetical normalized attenuation H/Hs as a function of x/h with CD and a of test Exp1.
Hypothetical normalized attenuation H/Hs as a function of x/h with CD and a of test Exp2.
Hypothetical normalized attenuation H/Hs as a function of x/h with CD and a of test Exp3.
For all three configurations, the energy-based N-wave formulation predicts the weakest attenuation, whereas the standard Mei-exp model yields the strongest decay due to its exponential character. The PC-LR predictions lie systematically between these two limits, reflecting the fact that updating the representative velocity with the local amplitude reduces the effective damping rate as the pulse attenuates and avoids the systematic over-attenuation associated with a constant-velocity linearization.
The separation among the three curves increases from Exp1 to Exp3, consistently with the increase in obstacle density and in the bulk resistance magnitude through the factor CDa. This result highlights that, once CD(ad) is constrained by laboratory measurements using solitary waves, the dominant remaining source of uncertainty in tsunami-like attenuation predictions through obstacle fields lies in the choice of damping closure, rather than in the drag calibration itself.
Sensitivity of inferred drag coefficients to the attenuation closure
The results presented in the previous sections highlight that the attenuation of long-wave pulses in obstacle fields can be described using different theoretical closures, all based on the same quadratic drag concept, but differing in how dissipation is incorporated into the wave evolution. For completeness, it is instructive to formally invert the attenuation laws derived for the N-wave, Mei-exp, and PC-LR formulations, in order to express an apparent bulk drag coefficient CD as a function of the observed wave-height decay H(x).
It is emphasized at the outset that this inversion does not imply that different waveforms or theories are associated with different physical drag coefficients. Rather, it provides a diagnostic measure of how the same observed attenuation, produced by the same vegetation or obstacle field, would be interpreted in terms of CD when different attenuation closures are adopted.
For the energy-based N-wave formulation, the hyperbolic decay law
can be inverted to yield
In the standard Mei formulation with constant representative velocity (Mei-exp), the exponential attenuation law leads to the inverted expression
Finally, for the pulse-consistent (PC-LR) formulation, in which the representative velocity scale is updated with the local amplitude, the hyperbolic decay law is used
yields
Equations (5)–(8) show that the value of CD inferred from a given attenuation profile H(x) depends explicitly on the adopted attenuation closure. For hyperbolic laws (N-wave and PC-LR), the inferred drag coefficient scales with the slope of 1/H versus x, while for the Mei-exp formulation, it is tied to the exponential decay rate of H.
As a consequence, applying a constant-rate exponential attenuation model (Mei-exp) to the decay of a finite-amplitude pulse systematically leads to larger apparent values of CD than those obtained from energy-consistent hyperbolic formulations. This difference does not reflect a change in the physical resistance of the obstacle field, but rather the fact that the Mei-exp closure maintains a constant local damping rate even as the wave amplitude—and hence the characteristic orbital velocity—decreases.
This analysis clarifies that a significant part of the scatter in reported bulk drag coefficients for vegetation and obstacle arrays can be attributed to differences in the attenuation closure used to interpret wave-height decay, in addition to differences in geometry and flow conditions. From a tsunami-modeling perspective, it therefore reinforces the importance of employing pulse-consistent attenuation formulations when extrapolating laboratory-calibrated drag parameters to tsunami-like long-wave propagation.
A detailed analysis of the dependence of the bulk drag coefficient CD on wave type and vegetation density, including dedicated CD diagrams, is beyond the scope of the present work. For this aspect, the reader is referred to the comprehensive experimental and theoretical investigation by Mossa et al.14, where the behavior of CD for waves interacting with emergent vegetation is systematically analyzed, together with an extensive discussion of the underlying physical mechanisms and the related literature cited therein.
Discussion
This study provides a physically consistent and transparent framework for interpreting the attenuation of tsunami-like long waves propagating through coastal vegetation and obstacle arrays. Within a shared shallow-water setting, we separate explicitly the choice of waveform representation from the damping closure, and we use laboratory solitary-wave data to constrain bulk resistance parameters. By linking solitary-wave and tsunami-like N-wave formulations within a common energy-based approach, the analysis clarifies how quadratic drag dissipation governs wave-height decay for finite-amplitude pulses.
A key result is that solitary waves and N-waves share the same mathematical attenuation structure under shallow-water conditions, differing only through a waveform-dependent coefficient. This common hyperbolic decay is a direct consequence of pulse-consistent (energy-based) quadratic-drag work, and it does not require introducing distinct physical drag mechanisms for different pulse shapes. This finding supports the continued use of solitary-wave experiments as controlled benchmarks for investigating long-wave dissipation, while explicitly accounting for their limitations when extrapolated to tsunami scenarios.
The comparison with linearized resistance models highlights a critical modeling issue: when a constant representative velocity is assumed, wave attenuation follows an exponential law that systematically overestimates damping for finite pulses. In this paper, Mei-exp and PC-LR are used as resistance-type benchmark closures inspired by the linearized long-wave framework of Mei et al.17 (appropriate for quasi-harmonic components), and not as a full reproduction of all terms in that formulation (e.g., additional dissipative contributions). In contrast, pulse-consistent formulations—either energy-based or based on an amplitude-updated representative velocity—predict a hyperbolic decay that naturally reflects the reduction of orbital velocities as the wave attenuates.
Laboratory experiments with solitary waves propagating through rigid stem arrays, including cases with a background current, provide calibrated bulk drag coefficients that are in line with values reported for comparable emergent-cylinder arrays. When these coefficients are applied to tsunami-like attenuation models, differences in predicted damping are shown to arise primarily from the adopted attenuation closure rather than from uncertainties in drag calibration. All geometric quantities (e.g., a) are fixed by the array geometry, and CD is calibrated from the measured solitary-wave decay, allowing a closure-to-closure comparison under identical obstacle properties. From a hazard model perspective, the results of the present paper emphasize that the choice of damping formulation can significantly affect the predicted wave heights landward of vegetated or obstructed coastal zones. The use of pulse-consistent attenuation laws is therefore recommended when incorporating vegetation or obstacle effects into tsunami propagation and risk-assessment models. Although the present framework is developed for idealized, depth-averaged conditions, it provides a transparent basis for improving the physical consistency of tsunami attenuation parameterizations in coastal hazard applications. Where experimental data or text overlap with our prior related publications, they are used here with explicit citation and with a different unifying interpretation focused on the separation between waveform representation and damping closure.
Methods
To compare damping predictions in a transparent and internally consistent manner, we adopt a shared shallow-water setting with constant depth h and long-wave scaling, and we describe vegetation/obstacles by a bulk quadratic drag law. Within this common framework, the differences among models arise from (i) the waveform representation (solitary vs N-wave vs quasi-harmonic) and (ii) the closure adopted to incorporate drag (energy-based quadratic work vs linearized resistance). The four modeling options analyzed in this paper are presented in dedicated subsections. In particular, the purpose of the “Mei-exp” and “PC-LR” options considered below is to provide two representative resistance-type closures often employed in depth-averaged long-wave models, against which the pulse-consistent energy-based formulations can be compared under identical obstacle properties. Here, “PC-LR” denotes a pulse-consistent linear-resistance benchmark closure obtained by updating the representative velocity scale with the local pulse amplitude. It is introduced in this paper to isolate the effect of a pulse-consistent linearization of quadratic drag, and it is not intended as an extension of Mei et al.17.
In the context of tsunami hydrodynamics, it is important to distinguish between the waveform representation used to idealize the incoming long-wave disturbance and the damping closure adopted to describe its attenuation within a vegetated or obstructed nearshore environment. In the present study, solitary waves and tsunami-like N-waves are used as idealized waveforms, while “Mei-exp” and “PC-LR” represent two alternative resistance-type closures of vegetation-induced resistance within the framework of Mei et al.17. We emphasize that Mei et al.17 formulate vegetation effects within a linearized depth-averaged framework that includes additional dissipative mechanisms (e.g., an eddy-viscosity representation), and is primarily developed for quasi-harmonic long-wave components. In the present paper, “Mei-exp” and “PC-LR” are used as resistance-type benchmark closures (constant-rate vs amplitude-updated) to highlight the impact of the adopted damping closure when applied to finite pulses.
Solitary waves have been widely used in experimental and theoretical studies as first-order proxies for tsunami-like long waves, particularly in nearshore settings, owing to their nonlinear, localized structure and analytical tractability. Although solitary waves do not satisfy the zero-volume constraint that characterizes many geophysical tsunamis, they provide a controlled representation of a single long-wave pulse and remain valuable for isolating dissipation mechanisms.
Tsunami-like N-waves, by contrast, explicitly satisfy the zero-volume condition and capture the characteristic elevation–depression structure commonly observed in tsunami records generated by coseismic seafloor deformation. For this reason, N-waves are often regarded as a more faithful idealization of tsunami waveforms, especially for propagation and attenuation studies.
The formulation of Mei et al.17 addresses the propagation of long waves through vegetation by introducing a resistance term in the depth-averaged momentum equation. In the original study, vegetation-induced dissipation is represented within a linearized framework (including an eddy-viscosity contribution), and the resulting attenuation is naturally expressed as an exponential decay of harmonic components. In its standard form (here referred to as Mei-exp), the quadratic drag is linearized using a constant representative velocity scale, leading to an exponential decay of wave amplitude. Here, Mei-exp should be interpreted as a constant-rate linear-resistance closure commonly adopted in practice, rather than as an attempt to reproduce all terms of Mei et al.17. This formulation is well suited to quasi-harmonic long-wave trains or spectral components, but may overestimate attenuation when applied to finite-amplitude, pulse-like tsunami disturbances.
To account for this limitation, we also consider a pulse-consistent linear-resistance benchmark closure (PC-LR), in which the representative velocity scale is updated with the local wave amplitude as the pulse attenuates. This variant is introduced here as a minimal modification of the constant-rate resistance closure, aimed at restoring pulse-consistent energetics when the disturbance is a finite wave packet rather than a harmonic component. This modification preserves the structure of the Mei model while rendering it consistent with the energetics of solitary waves and N-waves, and results in a hyperbolic attenuation law comparable to that obtained from energy-based formulations.
Within this unified perspective, all four approaches considered in this study are pertinent to tsunami problems, albeit with different scopes of applicability: solitary waves and N-waves provide complementary idealizations of tsunami-like waveforms, while Mei-exp and PC-LR offer alternative resistance-type closures for vegetation-induced damping of long waves, appropriate for quasi-harmonic and pulse-like disturbances, respectively. In this sense, the key point of the comparison is that differences between exponential and hyperbolic decay arise primarily from the adopted damping closure (constant-rate vs pulse-consistent), rather than from a change in the underlying drag concept.
Solitary waves and energy-based pulse attenuation
Solitary waves are localized nonlinear gravity waves that propagate without change of shape as a result of a balance between nonlinear and dispersive effects. First observed by Russell18 in the nineteenth century and later theoretically described by Boussinesq19, solitary waves represent an exact solution of the Boussinesq equations for long waves in shallow water.
The free-surface elevation of a solitary wave propagating over constant depth is expressed as
It is important to note that, for solitary waves, the spatial coordinate x used in the waveform representation refers to an intrinsic coordinate centered at the wave crest (x − Ct = 0), and is introduced solely to describe the local wave shape and kinematics. In the attenuation problem addressed below, H(x) denotes the slowly varying envelope of the solitary-wave amplitude, evaluated as the maximum free-surface elevation measured along the vegetated region, with x interpreted as the propagation distance from the array entrance.
In solitary-wave theory, the wave height coincides with the crest elevation above the still-water level
so that Eq. (9) satisfies η(0, t) = H at the wave crest.
The wave celerity follows the nonlinear shallow-water relation
which reduces to \(C=\sqrt{gh}\) in the small-amplitude limit.
A characteristic horizontal length scale, often interpreted as an effective wavelength, may be inferred from Eq. (9) as
indicating that solitary waves become longer as their amplitude decreases. As shown by Munk20, for H/h = 0.5 approximately 98% of the wave energy is contained within x/h = ±2.1, while more than 90% of the energy is generally contained within x/h = ±2.5. Consequently, we define an energetic footprint L90 as the horizontal extent containing more than 90% of the wave energy per unit of crest width
The depth-integrated mechanical energy density associated with a solitary wave is
where u is the depth-averaged horizontal velocity. Following Munk20, the total mechanical energy of a solitary wave per unit width of the crest is obtained by integrating \({\mathcal{E}}\) over the entire horizontal extent of the wave,
Under long-wave (shallow-water) conditions, the depth-averaged velocity satisfies u ≈ (C/h)η with C2 ≃ gh, so that kinetic and potential energy contributions are equal at leading order and \({\mathcal{E}}\approx \rho g{\eta }^{2}\).
In the present formulation, dissipation is evaluated over a finite horizontal interval that contains the dominant contribution of the solitary-wave energy. Specifically, following Munk20, we define an energetic footprint L90 as the horizontal interval that contains more than 90% of the total wave energy. The energy contained within this interval is
The pulse-averaged mechanical energy per unit horizontal area is then defined as
For the range of relative wave heights considered in this study, the energetic footprint satisfies E90 = γ90(H/h) Etot with γ90 ≳ 0.9. Therefore, E provides a physically meaningful measure of the pulse-averaged energy density governing the attenuation of solitary waves within the vegetated region.
Here z denotes the vertical coordinate measured positive upward from the still-water level, so the bed is located at z = −h and the free surface at z = η(x, t). Under long-wave assumptions, the pressure field beneath a solitary wave is predominantly hydrostatic
and the velocity field can be described by the classical McCowan–Munk solution20,21. The horizontal and vertical velocity components are given below
where M and N are functions of the relative wave height H/h
For generalized and dimensionless attenuation diagrams and to allow a consistent comparison with tsunami-like N-waves, it is convenient to introduce the classical depth-averaged long-wave approximation,
together with the vertical velocity component obtained from continuity,
In nearshore environments characterized by rigid vegetation or obstacle fields, solitary waves attenuate as a result of drag-dominated energy losses. Combining a shallow-water energy–flux balance with a quadratic drag law, the evolution of the pulse-averaged energy satisfies
where ϵν is the wave-averaged dissipation rate per unit horizontal area. The vegetation drag force per unit volume is modeled as14,22
Here, CD is a bulk drag coefficient, a is the frontal area per unit volume of the array, n is the number of stems per unit horizontal area, and d is the diameter of the stem. The associated dissipation is the work of the drag force
Under drag-dominated conditions, the resulting wave-height evolution can be written in compact form as
which integrates to
In the attenuation model, x denotes the streamwise distance measured from the upstream edge of the vegetated/obstructed region, i.e., x = 0 at the array entrance. Consequently, H0 ≡ H(x = 0) is the incident wave height at the entrance of the array. The dimensionless coefficient Ksol encapsulates the effects of solitary-wave shape and vertical velocity structure arising from the McCowan–Munk solution and allows the attenuation law to be written in a form directly comparable to the corresponding N-wave formulation.
Tsunami-like N-waves and the energy-based pulse attenuation
Observations of tsunamis generated by large earthquakes indicate that the associated waveforms frequently exhibit a leading elevation or depression followed by an opposite-signed lobe. Such waveforms are commonly referred to as N-waves and are characterized by a zero net volume, consistent with the physics of coseismic seafloor deformation.
An idealized representation of a tsunami-like N-wave propagating over constant depth is written as
where H is a characteristic amplitude, LN is a characteristic horizontal length scale, and the long-wave celerity is given by
The characteristic horizontal length scale LN of an N-wave is not determined by local hydrodynamic balance, but is instead controlled by the spatial and temporal extent of the tsunami source. In practice, LN reflects the characteristic dimension of the coseismic seafloor deformation and the rupture duration, and is therefore treated as an independent parameter. Typical values satisfy
consistent with observations and tsunami modeling studies.
The dimensionless shape function f(ξ) satisfies the zero-volume condition
which reflects mass conservation during tsunami generation.
For tsunami-like N-waves, it is convenient to distinguish between the positive and negative amplitudes,
and to define the overall wave height as the crest-to-trough value
In the attenuation models developed below, we track a single characteristic amplitude H(x) associated with the adopted shape function f(ξ). Alternative height measures (e.g., crest-to-trough Hct) differ from H by a constant shape factor for a fixed waveform, and therefore obey the same spatial decay structure.
Under shallow-water conditions, the velocity field associated with an N-wave is well approximated by the same long-wave relations introduced above,
In the present work, u is interpreted as the depth-averaged (shallow-water) horizontal velocity. Therefore, no explicit vertical structure u(z) is resolved for N-waves.
N-waves naturally arise from the superposition of long-wave components generated by spatially extended sources and are supported by field observations from tide gauges and deep-ocean pressure sensors. For this reason, N-waves have become the standard waveform representation in tsunami generation and propagation studies23,24.
The differences between solitary waves and N-waves originate from both their structure and their physical interpretation. Solitary waves are single-lobed, positive-definite solutions with finite mass and amplitude-dependent celerity, whereas N-waves consist of coupled elevation–depression structures with zero net volume and a celerity controlled primarily by water depth.
These differences are particularly relevant in the context of tsunami generation and offshore propagation, where source characteristics, mass conservation, and waveform asymmetry play a dominant role. Nevertheless, solitary waves continue to provide valuable insight into the fundamental hydrodynamics of long waves and have therefore remained a common tool in experimental and theoretical tsunami research.
Figure 8 shows the dimensionless free-surface elevation profiles for a solitary wave and a tsunami-like N-wave. Figure 9 presents the corresponding dimensionless horizontal velocity profiles, evaluated at a fixed relative depth \({z}^{* }=z/h={z}_{{\rm{ref}}}^{* }=-0.20\) close to the free surface. Figure 10 shows dimensionless vertical velocity profiles for the same two waveforms, evaluated at the same reference depth \({z}^{* }=z/h={z}_{{\rm{ref}}}^{* }\). The quantities shown in Figs. 8–10 are reported in dimensionless form using the following scaling. The free-surface elevation is normalized as η* = η/H, and the horizontal coordinate is defined as x* = (x − Ct)/L, where L = Ls and \(C=\sqrt{g(h+H)}\) for the solitary wave, and L = LN and \(C=\sqrt{gh}\) for the tsunami-like N-wave. For solitary waves, the normalization height H coincides with the crest elevation, so that \(\max ({\eta }^{* })=1\) by definition. For N-waves, instead, H represents a characteristic amplitude associated with the adopted waveform (e.g., the positive lobe amplitude), and does not necessarily coincide with the maximum of η(x, t); therefore, \(\max ({\eta }^{* })\) is not equal to unity. The velocity components are normalized using the long-wave velocity scale U0 = C H/h, so that u* = u/U0. For consistency of graphical comparison, the vertical velocity is also reported as w* = w/U0 (i.e., using the same velocity scale as u); it is noted that, under long-wave conditions, \(w/{U}_{0}={\mathcal{O}}(h/L)\). It is important to note that the profiles of free-surface elevation η and the velocity components u and w shown above are intended to illustrate the differences in waveform kinematics between solitary waves and tsunami-like N-waves. By contrast, the Mei-exp and PC-LR formulations, which are discussed in detail in the following sections, do not introduce alternative wave shapes η(x, t) or distinct vertical velocity structures. Instead, they represent two different closures for vegetation-induced resistance that govern the spatial evolution of the wave amplitude H(x). In particular, they are not intended to reproduce the full harmonic or eddy-viscosity formulation of Mei et al.17, which was developed for quasi-harmonic long-wave components. Rather, they are employed here as benchmark resistance-type closures, constant-rate (Mei-exp) and pulse-consistent (PC-LR), to isolate the role of the damping closure in controlling long-wave attenuation, without introducing new waveform representations or additional dissipative mechanisms. For this reason, the comparison with the Mei framework is carried out in terms of wave-height attenuation laws H(x)/H0, rather than through instantaneous profiles of η, u, and w. Post-event analyses following the 26 December 2004 Indian Ocean tsunami have underscored the role of coastal vegetation and settlement characteristics in mitigating human losses and economic damage25. More broadly, the severity of the impacts associated with extreme waves is the result of the combined effects of the transformation of nearshore waves, coastal topography, and the presence and spatial distribution of coastal vegetation13.
Dimensionless free-surface elevation profiles for a solitary wave and a tsunami-like N-wave.
Dimensionless horizontal velocity profiles for a solitary wave and a tsunami-like N-wave evaluated at \({z}^{* }=z/h={z}_{{\rm{ref}}}^{* }=-0.20\).
Dimensionless vertical velocity profiles for a solitary wave and a tsunami-like N-wave evaluated at \({z}^{* }=z/h={z}_{{\rm{ref}}}^{* }=-0.20\).
Wave–obstacle interactions are not restricted to natural vegetation alone, but also arise in the presence of man-made structures such as poles of mussel farms, offshore wind farms, and similar installations6,26. These interactions have stimulated a growing body of research aimed at elucidating the hydrodynamic mechanisms that govern wave propagation, attenuation, and transformation in obstructed coastal and nearshore environments.
In this context, Mei et al.17 presented a comprehensive theoretical analysis of long waves propagating through emergent coastal vegetation, while Huang et al.10 investigated the interaction of solitary waves with rigid emergent vegetation. The present study builds upon this body of work by focusing on the hydrodynamic behavior of solitary waves and tsunami-like N-waves as idealized representations of long waves, providing the theoretical foundation for the analysis of wave dissipation mechanisms addressed in the following sections.
Building on the definitions above, we now derive an energy-based attenuation law for the adopted N-wave shape.
The free-surface elevation is written as
where H is a characteristic amplitude, LN is a horizontal length scale, and \(C=\sqrt{gh}\). We adopt the canonical smooth N-wave
which satisfies the zero-volume constraint (32). Under shallow-water conditions,
The depth-integrated mechanical energy density per unit horizontal area is
Using Eq. (39), one obtains \({\mathcal{E}}=\rho g{\eta }^{2}\) and the total mechanical energy per unit crest width
with
In order to write an energy–flux balance in the same form adopted for solitary waves, we introduce the pulse-averaged energy per unit horizontal area as
For tsunami-like N-waves, a natural choice is to take LE = LN, i.e., the energetic footprint is identified with the characteristic source-controlled length scale of the pulse. With this choice, E = ρgH2I2.
The vegetation/obstacle drag is modeled by the same quadratic law introduced in Eq. (25) yielding, under the depth-uniform approximation for u,
The corresponding pulse-averaged dissipation rate per unit of horizontal area is obtained by integrating the drag power over the pulse and normalizing by the energetic footprint LE,
with
Using LE = LN in Eqs. (43) and (45) yields
The energy–flux balance written in terms of the pulse-averaged energy per unit horizontal area E reads
Combining Eqs. (43)–(48) leads to the amplitude evolution
where the waveform dependence is fully encapsulated in the shape coefficient
Integration of Eq. (49) yields
Equations (28) and (51) highlight that solitary waves and tsunami-like N-waves share the same mathematical attenuation structure, with waveform effects fully condensed into the coefficient K. In fact, both solitary waves and N-waves obey the generic structure
Equation (52) applies to the energy-based pulse models (solitary waves and N-waves) and to the pulse-consistent linear-resistance benchmark (PC-LR), all of which yield a hyperbolic decay. By contrast, the constant-rate linear-resistance closure (Mei-exp) predicts an exponential decay and therefore does not admit a constant coefficient K in the sense of Eq. (52).
Linearized resistance and exponential decay
The theoretical model developed by Mei et al.17 addresses the propagation of long waves through emergent rigid vegetation by representing the canopy as a distributed resistance on the depth-averaged flow. The original formulation also includes a constant eddy-viscosity representation (and additional linear terms) to account for dissipative processes within the canopy and at the bed. Under shallow-water assumptions and constant depth h, the governing equations for the free-surface elevation η(x, t) and the depth-averaged horizontal velocity u(x, t) read
where \({\mathcal{R}}(u)\) is the term of resistance induced by vegetation. In the present paper, for the sole purpose of contrasting constant-rate exponential damping with pulse-consistent attenuation, we focus on a reduced resistance-type closure and express the associated attenuation in terms of an equivalent linear resistance coefficient.
In porous-media representations, the canopy resistance is commonly written in quadratic form22,27
with CD a bulk drag coefficient and a the frontal area per unit volume of stems. To obtain a linear wave-propagation model with a complex wavenumber, Mei et al.17 introduce an equivalent linear resistance
where r is an effective (bulk) linear damping rate. We note that the full Mei et al.17 framework includes additional dissipative contributions (e.g., eddy viscosity); here, r is used as an effective parameter to represent a constant-rate resistance closure (Mei-exp) in the weak-damping limit. A widely used closure links r to a characteristic velocity scale U* via
Looking for harmonic solutions of the form
and substituting Eqs. (53)–(56) yields the dispersion relation
so that k = kr + iki and the amplitude decays as
In the weak-damping limit r/ω ≪ 1,
which gives the practical exponential law
hereafter called “Mei-exp”. Here, “Mei-exp” denotes a constant-rate exponential attenuation closure based on a fixed U*, introduced to represent the behavior expected for quasi-harmonic components under an effective linear resistance. For pulse-like long waves, a common choice is to relate the representative velocity to the incident amplitude via shallow-water scaling, U* ≈ (C/h) H0 with \(C=\sqrt{gh}\). Under this choice, Eq. (62) reduces to
which is the exponential form used later when inverting the attenuation law.
Equations (62)–(57) highlight that the Mei framework requires a representative velocity U* to linearize drag. For pulse-like disturbances (solitary waves, N-waves), the choice of U* can strongly affect the predicted damping and motivates the variant “PC-LR” discussed below.
Pulse-consistent linear-resistance benchmark closure
The formulation proposed by Mei et al.17 introduces vegetation-induced dissipation through a linearized resistance term in the depth-averaged momentum equation. In this framework, the quadratic drag force is replaced by an equivalent linear resistance, which requires the definition of a representative velocity scale U*. It is important to emphasize that U* is not the physical flow velocity, but an auxiliary velocity scale introduced solely to linearize the quadratic drag term.
By contrast, u(x, t) denotes the actual depth-averaged horizontal velocity associated with the wave motion, which varies in space and time and, under long-wave (shallow-water) conditions, satisfies the leading-order kinematic relation
for both solitary waves and tsunami-like N-waves (with \(C=\sqrt{g(h+H)}\) for solitary waves and \(C=\sqrt{gh}\) for N-waves). Therefore, the distinction between the physical velocity u(x, t) and the representative velocity U* is essential.
In the standard Mei formulation (here referred to as Mei-exp), the representative velocity U* is assumed to be constant along the propagation direction. For pulse-like long waves, a common choice is to relate U* to the incident wave amplitude, e.g., U* ~ (C/h)H0. With this assumption, the resulting attenuation law is exponential, implying a constant local damping rate that does not decrease as the wave amplitude decays.
For finite-amplitude pulses, such as solitary waves or tsunami-like N-waves, this assumption is not fully consistent with the underlying drag physics. As the wave propagates through the vegetation, the physical velocity amplitude u(x, t) decreases together with the wave height H(x), and the dissipation rate should reduce accordingly.
To account for this behavior, a pulse-consistent variant of the Mei framework is introduced here and referred to as PC-LR (pulse-consistent linear resistance). We stress that PC-LR is introduced here as a pulse-consistent benchmark linear-resistance closure for finite pulses. It is not intended as an extension or reinterpretation of the full formulation of Mei et al.17 (which includes additional dissipative terms and is primarily developed for quasi-harmonic components), but is used solely to isolate the effect of updating the representative velocity scale when linearizing quadratic drag.
In this formulation, the representative velocity scale is updated with the local wave amplitude,
in accordance with the long-wave scaling u ~ (C/h)η. The quadratic drag is still linearized at each location, but the effective resistance coefficient now decreases as the pulse attenuates.
This choice leads to a hyperbolic-type attenuation law for H(x), consistent with energy-based formulations for finite pulses and with the progressive reduction of orbital velocities within the vegetation. The comparison between the standard constant formulation U* (Mei-exp) and the pulse-consistent closure (PC-LR) is presented in Section “Results”, where both approaches are evaluated under identical vegetation properties and initial wave conditions.
Summary of waveform and closure coefficients
For clarity, here we summarize the meaning and expression of the coefficient K appearing in the generic hyperbolic attenuation law
and we explicitly state the assumptions adopted for the different wave representations and damping closures. In all cases, the obstacle field is characterized by the same geometric parameter a (prescribed from the array geometry) and by the same bulk drag coefficient CD (calibrated from solitary-wave experiments). Differences among models arise from the waveform representation and/or from the adopted resistance closure.
For solitary waves, the attenuation law derived from the pulse-averaged energy balance (Eqs. (24)–(28)) yields
where Ksol is a waveform-dependent coefficient that accounts for the solitary-wave shape and vertical velocity structure. It can be written in compact form as
where u(χ, z) is the adopted solitary-wave velocity field, E(H) is the pulse-averaged mechanical energy per unit horizontal area, and \(C(H)=\sqrt{g(h+H)}\). Hence, Ksol is a genuine waveform coefficient.
For N-waves, the energy-based formulation developed in Section “Results” leads to
with
where f(ξ) is the normalized N-wave shape. In this case, KN is a pure shape coefficient determined solely by the adopted waveform.
In the standard linearized-resistance formulation with constant representative velocity (Mei-exp), attenuation is exponential (Eq. (63)) and does not admit a constant coefficient K in the sense of Eq. (66). If recast formally into a hyperbolic structure for comparison purposes, the corresponding effective coefficient would depend on the local amplitude, reflecting the constant-rate nature of the closure. Therefore, Mei-exp does not introduce a waveform-dependent coefficient K.
In the pulse-consistent variant (PC-LR), the representative velocity scale is updated with the local amplitude, U*(x) ∝ H(x). Under this assumption, the resulting attenuation law reads
so that
Here, Kp is a closure-dependent constant arising from the linearization procedure, rather than a waveform coefficient. This summary clarifies that, for energy-based pulse models (solitary waves and N-waves), the coefficient K reflects waveform properties, whereas in the linearized-resistance comparison, it reflects the adopted damping closure (constant-rate versus pulse-consistent), with identical obstacle properties (a, CD) in all cases.
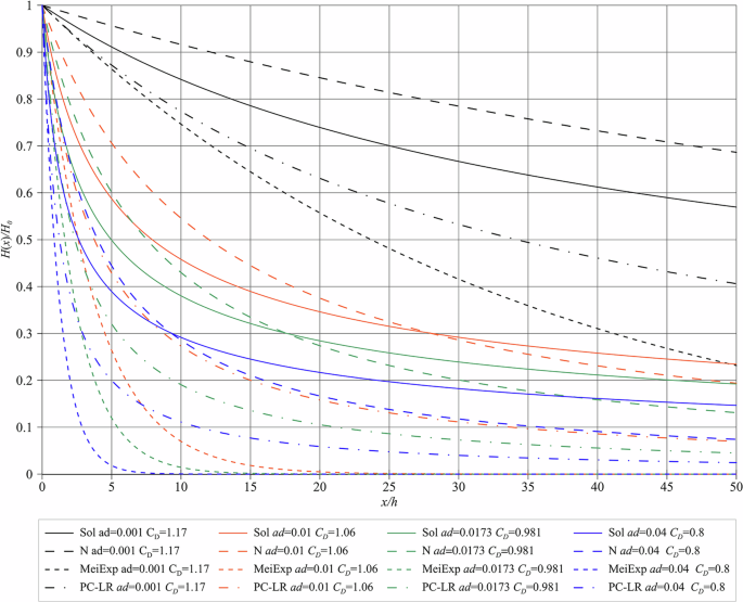
Figure 11 shows a comparison of normalized wave-height attenuation H(x)/H0 as a function of the dimensionless distance x/h for a fixed vegetation field. Results are shown for solitary waves (compact energy-based formulation), tsunami-like N-waves (energy-based model developed in this paper), the original Mei et al.17 linearized formulation with constant representative velocity (Mei-exp), and a pulse-consistent linear-resistance benchmark closure in which the representative velocity is updated with the local amplitude (PC-LR). All cases correspond to h = 10 m, H0 = 2 m, d = 0.02 m, Lv = 500 m; vegetation density/drag is varied through selected values of ad and the associated CD(ad) relationship.
Comparison of normalized wave-height attenuation H(x)/H0 as a function of the dimensionless distance x/h for a fixed vegetation field.
Kinematics of a solitary wave on a background current
This paragraph presents an experimental investigation of the attenuation of a solitary wave propagating through a rigid stem array in the presence of a steady background current. The primary objective is to assess whether the theoretical framework developed in this study is able to reproduce obstacle-induced dissipation under laboratory conditions that are representative of nearshore tsunami propagation.
The superposition of long waves and background currents is a common feature of coastal and nearshore environments, whereas purely quiescent conditions are rarely encountered in natural settings. Previous studies, such as Losada et al.28, have examined wave damping under combined wave–current conditions for regular and random waves. However, the specific configuration analyzed here is designed to isolate the dissipation mechanisms associated with obstacle arrays and to verify the applicability of a solitary-wave-based theoretical formulation even when a background current is present.
Importantly, the role of the present experimental analysis is not to introduce an alternative waveform representation, but rather to provide a controlled and physically grounded basis for validating the energy-based attenuation model for solitary waves. The experimentally inferred drag properties are subsequently used, without recalibration, to investigate tsunami-like N-waves and alternative resistance closures in the following sections. When a background current propagates in the same direction as a solitary wave, the absolute kinematics observed in a fixed reference frame results from the superposition of the wave-induced motion and the mean current. As discussed by Hedges29, the absolute celerity and velocity components can be written as
where C and u denote the solitary-wave celerity and orbital velocity in a reference frame moving with the current, and U is the background current velocity.
Accordingly, in the present theoretical application, the drag coefficient refers to the combined flow generated by the solitary wave and the background current. A key question is whether the presence of a steady current alters the intrinsic properties of the solitary wave—such as its orbital velocity distribution, characteristic wavelength, or intrinsic celerity—in the moving reference frame.
To address this point, we refer to the experimental and numerical study of Zhang et al.30, who investigated solitary waves propagating on a uniform current in a channel. Their results indicate that, when analyzed in a reference frame moving with the current velocity, the solitary-wave structure remains largely consistent with classical theory, with only moderate variations in characteristic length scales.
In particular, Zhang et al.30 reported an increase in the characteristic wavelength of the order of 10%, based on a wavelength definition corresponding to the distance between two intersection points of the free surface with a horizontal line located 20.05 m above the channel bottom. This definition differs from that adopted in the present work, where, following Munk20, the characteristic length L90 (see Eq. (13)) is defined as the horizontal extent containing more than 90% of the wave energy per unit width of the crest.
Within this energetic framework, a moderate increase in geometric length does not contradict the applicability of the definition L90, nor does it invalidate the use of the solitary-wave theory. Moreover, Zhang et al.30 confirmed that in the fixed reference frame, absolute celerity is well described by the sum of theoretical solitary-wave celerity and the background current velocity, as expressed in Eq. (73).
Based on these considerations, the theoretical model of solitary waves developed in this paper is applied by: (i) using the measured wave height and mean water depth, (ii) adopting the energetic definition of wavelength consistent with Munk20, and (iii) accounting for the background current through the superposition relations in Eq. (73). Under these assumptions, the solitary-wave-based dissipation model remains applicable to the experimental configurations considered here.
Experimental facility and generation of solitary waves
The laboratory experiments were specifically designed to generate and study the attenuation of solitary waves propagating through rigid stem arrays under controlled hydraulic conditions. The primary objective of the experimental campaign is to provide a physically consistent benchmark for the validation and calibration of the theoretical attenuation model developed in this study for solitary waves interacting with vegetation or obstacle fields.
The experiments were conducted in the rectangular flume of the Hydraulic Laboratory at the Department of Civil, Environmental, Land, Building Engineering and Chemistry (DICATECh) of the Polytechnic University of Bari, Italy (Fig. 12). The flume is 25 m long, 0.40 m wide and 0.50 m high, and is constructed of Plexiglas to ensure full optical access.
Experimental set-up at the Polytechnic University of Bari, where UPs denote the ultrasonic probes.
The water recirculates through the channel through two partially separated hydraulic circuits. A primary circuit maintains steady flow conditions using a constant-head tank, while a secondary tank generates an unsteady discharge by means of a software-controlled electro-valve, capable of releasing up to 0.080 m3/s. This configuration allows for the generation of a single, isolated long-wave pulse with solitary-wave characteristics.
The still-water depth was fixed at h = 0.12 m and controlled by a gravel beach with a slope of 1:50 located at the downstream end of the flume. A solitary-like wave was generated by superimposing an unsteady discharge onto a steady background flow of 0.010 m3/s. The unsteady component was produced by linearly opening and closing the electro-valve over 10 s and 20 s, respectively, resulting in a peak discharge of approximately 0.085 m3/s. Under these conditions, the generated wave exhibits the kinematic and geometric properties of a solitary wave and propagates as a finite-amplitude, non-dispersive pulse. A 6 m long stem array was installed inside the flume, starting at 5.85 m from the channel inlet. The array consisted of rigid steel cylinders of diameter d = 3 mm, mounted on six Plexiglas panels with pre-drilled holes arranged in a regular square grid.
Three different stem-array configurations were tested by varying the stem density while maintaining equal longitudinal and transverse spacing. As shown in Fig. 13, the tested configurations correspond to stem densities of (a) 156.25 cyl/m2, (b) 312.5 cyl/m2, and (c) 625 cyl/m2. These three configurations define the experimental runs Exp1, Exp2, and Exp3, respectively, all of which involve the propagation of a solitary wave through the obstacle field.
Obstacle patterns for the three tested stem-array configurations.
The free-surface elevation was measured using six ultrasonic probes sampling at 100 Hz. Four probes (UP1, UP2, UP3, and UP4), whose measurements are used in the present study, were positioned at x = 7.50 m, 9.00 m, 10.50 m, and 12.00 m, corresponding to distances of 1.65 m, 3.15 m, 4.65 m, and 6.15 m from the upstream edge of the stem array (Fig. 12). These probes are selected in order to focus on the wave attenuation regime within the vegetated region and to avoid the influence of local wave reflection and flow adjustment effects occurring at the leading edge of the vegetation, which are not accounted for in the theoretical model and are discussed later in the manuscript. The measurements from UP1–UP4, therefore, allow the spatial evolution of the solitary-wave height to be quantified along the vegetated region under drag-dominated conditions. The main geometric and hydraulic parameters of the three solitary-wave experiments are summarized in Table 1.
Data availability
The datasets generated and/or analyzed during the current study are not publicly available due to experimental data management and storage constraints, but are available from the corresponding author on reasonable request.
Code availability
No new code was generated or analyzed in support of this study.
References
Dahdouh-Guebas, F. & Koedam, N. Coastal vegetation and the asian tsunami. Science 311, 37–38 (2006).
Mazda, Y., Magi, M., Kogo, M. & Hong, P. N. Mangroves as a coastal protection from waves in the Tong King Delta, Vietnam. Mangroves Salt Marshes 1, 127–135 (1997).
Danielsen, F. et al. The asian tsunami: a protective role for coastal vegetation. Science 310, 643–643 (2005).
Das, S. & Vincent, J. R. Mangroves protected villages and reduced death toll during Indian super cyclone. Proc. Natl. Acad. Sci. USA 106, 7357–7360 (2009).
Mazda, Y., Magi, M., Ikeda, Y., Kurokawa, T. & Asano, T. Wave reduction in a mangrove forest dominated by Sonneratia sp. Wetl. Ecol. Manag. 14, 365–378 (2006).
Augustin, L. N., Irish, J. L. & Lynett, P. Laboratory and numerical studies of wave damping by emergent and near-emergent wetland vegetation. Coast. Eng. 56, 332–340 (2009).
Goring, D. G. Tsunamis: The Propagation of Long Waves onto a Shelf. Technical report/Ph.D. Dissertation (W. M. Keck Laboratory of Hydraulics and Water Resources, Division of Engineering and Applied Science, California Institute of Technology, 1978).
Mendez, F. J. & Losada, I. J. An empirical model to estimate the propagation of random breaking and nonbreaking waves over vegetation fields. Coast. Eng. 51, 103–118 (2004).
Kathiresan, K. & Rajendran, N. Coastal mangrove forests mitigated tsunami. Estuar. Coast. Shelf Sci. 65, 601–606 (2005).
Huang, Z., Yao, Y., Sim, S. Y. & Yao, Y. Interaction of solitary waves with emergent, rigid vegetation. Ocean Eng. 38, 1080–1088 (2011).
Hu, Z., Suzuki, T., Zitman, T., Uittewaal, W. & Stive, M. Laboratory study on wave dissipation by vegetation in combined current–wave flow. Coast. Eng. 88, 131–142 (2014).
Mancheño, A. G. et al. Wave transmission and drag coefficients through dense cylinder arrays: implications for designing structures for mangrove restoration. Ecol. Eng. 165, 106231 (2021).
Zhang, X. & Nepf, H. Reconfiguration of and drag on marsh plants in combined waves and current. J. Fluids Struct. 110, 103539 (2022).
Mossa, M., De Padova, D. & Onorato, M. Damping of solitons by coastal vegetation. J. Fluid Mech. 1002, A45 (2025).
Mossa, M. & De Padova, D. Interaction between waves and vegetation. Sci. Rep. 15, 6157 (2025).
De Padova, D., Ben Meftah, M. & Mossa, M. Theoretical and numerical investigation of wave attenuation on vegetated seabeds. Earth Surf. Process. Landf. 50, e70054 (2025).
Mei, C. C., Chan, I.-C., Liu, P. L.-F., Huang, Z. & Zhang, W. Long waves through emergent coastal vegetation. J. Fluid Mech. 687, 461–491 (2011).
Russell, J. S. Report on waves: Made to the Meetings of the British Association in 1842–43. Richard and John E. Taylor, London, 1845.
Boussinesq, J. Théorie des ondes et des remous qui se propagent le long d’un canal rectangulaire horizontal. J. Math. Pures Appl. 17, 55–108 (1872).
Munk, W. H. The solitary wave theory and its application to surf problems. Ann. N. Y. Acad. Sci. 51, 376–462 (1949).
McCowan, J. On the solitary wave. Philos. Mag. 32, 45–58 (1891).
Nepf, H. M. Turbulence and diffusion in flow through emergent vegetation. Water Resour. Res. 35, 479–489 (1999).
Tadepalli, S. & Synolakis, C. E. The run-up of n-waves. Proc. R. Soc. Lond. A 445, 99–112 (1994).
Madsen, P. A., Fuhrman, D. R. & Schäffer, H. A. On the solitary wave paradigm for tsunamis. J. Geophys. Res. Oceans 113, C12012 (2008).
Patel, D., Patel, V., Bhupesh, K. & Patel, K. Performance of mangrove in tsunami resistance. Int. J. Emerg. Technol. Res. 1, 29–32 (2014).
Mossa, M. et al. Quasi-geostrophic jet-like flow with obstructions. J. Fluid Mech. 921, A12 (2021).
White, B. L. & Nepf, H. M. Shear instability and coherent structures in shallow flow adjacent to a porous layer. J. Fluid Mech. 593, 1–32 (2007).
Losada, I. J., Maza, M. & Lara, J. L. A new formulation for vegetation-induced damping under combined waves and currents. Coast. Eng. 107, 1–13 (2016).
Hedges, T. Combinations of waves and currents: an introduction. Proc. Inst. Civ. Eng. 82, 567–585 (1987).
Zhang, J., Zheng, J., Jeng, D.-S. & Guo, Y. Numerical simulation of solitary-wave propagation over a steady current. J. Waterw. Port. Coast. Ocean Eng. 141, 04014041 (2015).
Acknowledgements
The DICATECh staff are gratefully acknowledged.
Author information
Authors and Affiliations
Contributions
M.M.: conceptualization, experiments, and analysis.
Corresponding author
Ethics declarations
Competing interests
The authors declare no competing interests.
Additional information
Publisher’s note Springer Nature remains neutral with regard to jurisdictional claims in published maps and institutional affiliations.
Rights and permissions
Open Access This article is licensed under a Creative Commons Attribution-NonCommercial-NoDerivatives 4.0 International License, which permits any non-commercial use, sharing, distribution and reproduction in any medium or format, as long as you give appropriate credit to the original author(s) and the source, provide a link to the Creative Commons licence, and indicate if you modified the licensed material. You do not have permission under this licence to share adapted material derived from this article or parts of it. The images or other third party material in this article are included in the article’s Creative Commons licence, unless indicated otherwise in a credit line to the material. If material is not included in the article’s Creative Commons licence and your intended use is not permitted by statutory regulation or exceeds the permitted use, you will need to obtain permission directly from the copyright holder. To view a copy of this licence, visit http://creativecommons.org/licenses/by-nc-nd/4.0/.
About this article
Cite this article
Mossa, M. Obstacle-induced dissipation of tsunami waves: linking solitary-wave and N-wave formulations. npj Nat. Hazards 3, 26 (2026). https://doi.org/10.1038/s44304-026-00192-w
Received:
Accepted:
Published:
Version of record:
DOI: https://doi.org/10.1038/s44304-026-00192-w















