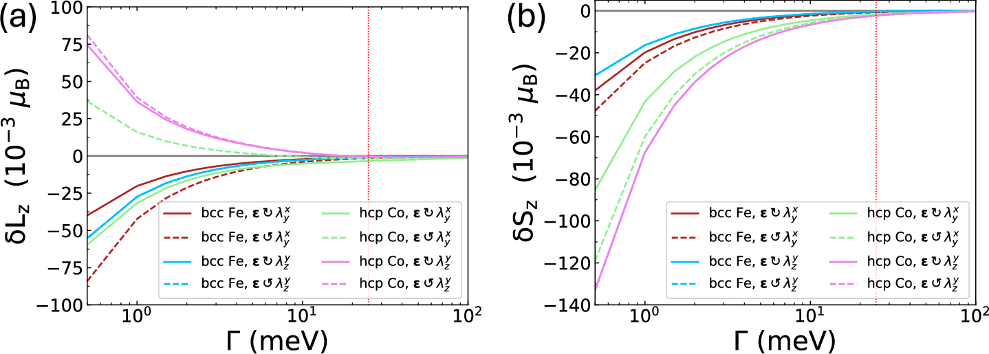
Fig. 5: Anisotropy of light-induced magnetism in ferromagnetic transition metals.
From: Light-induced orbital and spin magnetism in 3d, 4d, and 5d transition metals

Light-induced orbital δLz (a) and spin δSz (b) magnetic moments in relation to the lifetime broadening for ferromagnetic bcc Fe and hcp Co. Light is circularly polarized in the xy-plane (brown curves for bcc Fe and light green curves for hcp Co) or in the yz-plane (light blue curves for bcc Fe and light purple curves for hcp Co). Both right-handed (solid lines) and left-handed (dashed lines) polarizations are displayed. The horizontal red dotted line depicts the lifetime broadening value Γ = 25 meV. The ferromagnetic magnetization is along the z-axis. The light frequency is set at ℏω = 1.55 eV.