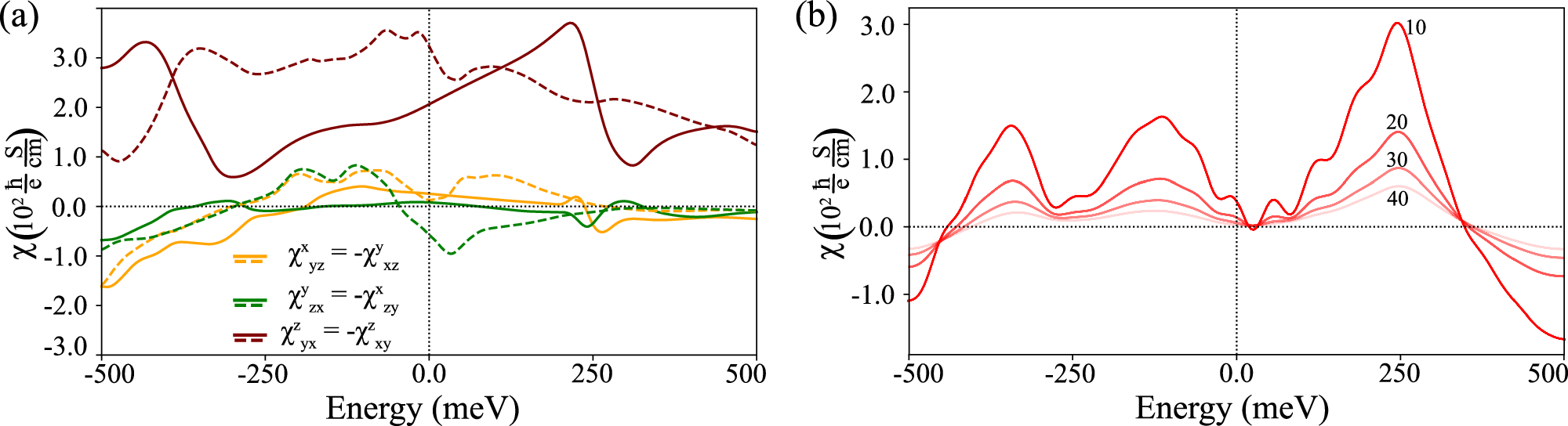
Fig. 4: Relativistic calculations of the spin Hall effect in NiTa3S6.

a All \({\mathcal{T}}\)-even spin Hall conductivity tensor components calculated for nonmagnetic (dashed lines) and altermagnetic phase with Néel vector along the z-direction (solid lines). b \({\mathcal{T}}\)-odd spin Hall conductivity \({\sigma }_{xx}^{x}\) calculated for altermagnetic phase, assuming different values of Γ = 10, 20, 30 and 40 meV. As shown in Table 1, only one independent \({\mathcal{T}}\)-odd component is present.