Abstract
Chiral crystals, due to the lack of inversion and mirror symmetries, exhibit unique spin responses to external fields, enabling physical effects rarely observed in high-symmetry systems. Here, we show that materials from the chiral dichalcogenide family TM3X6 (T = 3d, M = 4d/5d, X = S) exhibit persistent spin texture (PST) – unidirectional spin polarization of states across large regions of the reciprocal space – in their nonmagnetic metallic phase. Using the example of NiTa3S6 and NiNb3S6, we show that PSTs cover the full Fermi surface, a rare and desirable feature that enables efficient charge-to-spin conversion and suggests long spin lifetimes and coherent spin transport above magnetic ordering temperatures. At low temperatures, the materials that order antiferromagnetically become chiral altermagnets, where spin textures originating from spin-orbit coupling and altermagnetism combine in a way that sensitively depends on the orientation of the Néel vector. Using symmetry analysis and first-principles calculations, we classify magnetic ground states across the family, identify cases with weak ferromagnetism, and track the evolution of spin textures and charge-to-spin conversion across magnetic phases and different Néel vector orientations, revealing spin transport signatures that allow one to distinguish Néel vector directions. These findings establish TM3X6 as a tunable platform for efficient charge-to-spin conversion and spin transport, combining structural chirality, persistent spin textures, and altermagnetism.
Similar content being viewed by others
Introduction
Spin splitting of electronic bands, typically associated with lifted spin degeneracy, originates from two primary symmetry-breaking mechanisms. The first is time-reversal (\({\mathcal{T}}\)) symmetry breaking, common in ferromagnets, where exchange interactions induce spin-dependent band structures. The second occurs in materials lacking inversion (\({\mathcal{P}}\)) symmetry, where spin-orbit coupling (SOC) leads to momentum-dependent spin splitting1. These band splittings give rise to spin textures - spin polarization patterns of electronic states varying across the Brillouin zone (BZ)2. In particular, the spin polarization at the Fermi surface governs charge-to-spin conversion phenomena and the propagation of spin signals3. In special cases, crystal symmetries enforce persistent spin textures (PSTs), where spin orientation remains uniform along specific momentum directions4,5, enabling unusually long spin lifetimes even in systems with strong SOC6,7,8. Moreover, PSTs can enhance the charge-to-spin conversion, offering a rare combination of high conversion efficiency and suppressed spin dephasing, two features typically considered mutually exclusive9.
In parallel, a different mechanism for spin splitting has emerged in certain materials with antiferromagnetic coupling, known as altermagnets10,11,12,13. It arises in systems with so-called noninterconvertible spin motif pairs, leading to spin-dependent band structures enforced by magnetic crystal symmetries rather than SOC14. Altermagnetic spin textures, momentum-dependent spin polarization patterns that often resemble PSTs, enable both conventional and unconventional spin responses. These include the magnetic spin Hall effect (MSHE), a \({\mathcal{T}}\)-odd counterpart of the conventional spin Hall effect15,16, as well as the possibility of spin transport with long coherence, particularly in systems where strong SOC is not required17. By combining features of ferromagnets and antiferromagnets, altermagnets have sparked broad interest across spintronics, spin caloritronics18, superconductivity19, and related technologies20,21,22.
To date, altermagnets have commonly been studied in centrosymmetric crystals, and their realization in noncentrosymmetric crystals offers a still largely unexplored opportunity23. In this context, chiral materials, lacking both inversion and mirror symmetries, are particularly promising, as they naturally support altermagnetism upon antiferromagnetic ordering. Moreover, the reduced symmetry of chiral systems also favors the emergence of robust PSTs in their nonmagnetic phases5. The coexistence of PSTs and altermagnetism raises compelling questions: How do PSTs evolve upon antiferromagnetic ordering? Can spin textures driven by SOC and those originating from altermagnetism interfere or reinforce one another? What are the implications for charge-to-spin conversion and spin transport? While recent work has examined the Rashba-Edelstein effect (REE) in noncollinear altermagnets24, the interplay between PSTs and altermagnetism in chiral systems remains unexplored.
In this paper, we explore the chiral dichalcogenide family NiX3S6 (X = Ta, Nb), which combines strong SOC with chirality and altermagnetism. In the nonmagnetic metallic phase, we identify symmetry-enforced PSTs that span over entire Fermi surfaces and drive very efficient charge-to-spin conversion. Upon entering the low-temperature phases, these systems exhibit rich magnetic behavior, including altermagnetism and weak ferromagnetism, governed by the symmetry of the magnetic order. We analyze how these magnetic ground states reshape spin textures and charge-to-spin conversion using first-principles calculations complemented by symmetry analysis. To comprehensively address charge-to-spin conversion in both nonmagnetic and magnetic phases, we implement spin Hall effect (SHE) and Rashba-Edelstein effect, including the \({\mathcal{T}}\)-even and \({\mathcal{T}}\)-odd variants, within the open-source PAOFLOW package, extending its capabilities to magnetic systems and laying the groundwork for high-throughput discovery of spintronic materials.
Results
Calculation of charge-to-spin conversion
To study charge-to-spin conversion in nonmagnetic and magnetic materials, we perform ground-state electronic structure calculations via density functional theory (DFT) as implemented in Vienna Ab initio Simulation Package (VASP)25,26,27, and use the obtained ab initio wave functions to generate pseudo-atomic orbitals (PAO) Hamiltonians in the PAOFLOW code28,29. Our implementation of the spin Hall effects and Rashba-Edelstein effects is based on the Kubo linear response formalism30,31. In the constant relaxation time approximation, an observable δA induced in response to an external electric field E is expressed as \(\delta {A}_{i}=({\chi }_{ij}^{I}+{\chi }_{ij}^{II}){E}_{j}\), where
In the above equations, e is the elementary (positive) charge, k is the Bloch wave vector, n, m are the band numbers, Ekn is the band energy, EF is the Fermi energy, \(\hat{v}\) is the velocity operator, and Γ is a disorder parameter related to the relaxation time τ as \(\it \Gamma =\frac{\hslash }{2\tau }\).
The separation of the response into terms (1) and (2) is motivated by their distinct transformation under the time-reversal symmetry operation, and whether they are \({\mathcal{T}}\)-even or \({\mathcal{T}}\)-odd depends on the choice of the operator \(\hat{A}\). When \(\hat{A}\) is a spin operator, χ I is \({\mathcal{T}}\)-even and corresponds to the standard Rashba-Edelstein effect. Note that assuming weak scattering, it can be viewed as a sum of two terms: (i) the Fermi surface (intraband) term for n = m case, and (b) the Fermi sea (interband) term for n ≠ m case, which vanishes in the limit of Γ → 030. The term χII describes the \({\mathcal{T}}\)-odd Rashba-Edelstein effect recently studied in noncollinear magnetic systems32. In the present study, we assume low Γ, and the terms in Eq. (2) that are quadratic in Γ are neglected in the calculations.
In contrast, when \(\hat{A}\) represents the spin current operator \({\hat{J}}_{l}^{i}=\frac{1}{2}\left\{{\hat{s}}_{i},{\hat{v}}_{l}\right\}\), χ I is \({\mathcal{T}}\)-odd and describes magnetic spin Hall effects previously studied in ferro- and antiferromagnets16,33. The expression for χ II is then \({\mathcal{T}}\)-even and corresponds to the intrinsic spin Hall conductivity commonly studied in nonmagnetic materials with strong SOC. Following previous works, we assume that Γ is low, and χ II reduces to a well-known spin Hall conductivity (SHC) expression:
Chiral magnetic dichalcogenides TM3X6
The chiral dichalcogenides TM3X6 (T = 3d transition metal, such as Ni, Cr, Mn, Co, V or Fe; M = Nb or Ta; X = S or Se) have been studied extensively over the past few decades34. They crystallize in the chiral space group P6322 (No. 182) and consist of hexagonal dichalcogenide layers (2H-MX2) intercalated with 3d transition metal atoms, as illustrated in Fig. 1a. The intercalation leads to the formation of \((\sqrt{3}\times \sqrt{3})R3{0}^{\circ }\) superstructure relative to the (1 × 1) unit cell of the parent dichalcogenide. The TM3X6 family reveals a diverse range of magnetic phases, including ferromagnetism, helimagnetism, and collinear antiferromagnetism35,36,37,38,39,40. While the magnetic structure is typically linked to the choice of 3d transition metal (e.g., Ni and Co favor antiferromagnetic coupling, while Cr often leads to ferromagnetism), several exceptions are known, such as the helimagnetic CrNb3S640. Also, recent studies have examined Ni-based systems NiTa3S6 and NiNb3S6, revealing different magnetic behaviors: NiTa3S6 is a collinear antiferromagnet below the temperature of 158 K, whereas NiNb3S6 exhibits a helimagnetic order below 84 K41.
a Top and b side view of the crystal structure. The unit cell is marked by the turquoise lines. c Magnetization density isosurface (Ms = ± 0.02 μB/cell) calculated around the Ni sites. d Band structure along the H1 − Γ −H2 line. e Spin-polarized Fermi surface (E = EF); only the outermost pair of Fermi sheets is shown. The red and blue colors correspond to spin-up and spin-down states, respectively.
Surprisingly, altermagnetism in TM3X6 materials has been explored in detail only recently42. Structural chirality is defined by the absence of mirror planes and inversion centers, with symmetries restricted to rotations and translations. These rotational symmetries can connect spin-up and spin-down sublattices, supporting noninterconvertible spin-structure motifs. In TM3X6 antiferromagnets, the two Ni sites are not connected by either mirror, inversion, or translation symmetries, which allows the presence of altermagnetic splitting. Differently to centrosymmetric materials, TM3X6 will additionally have a SOC-induced band splitting leading to an interesting interplay of the two effects, which was so far unexplored. In the following sections, we present a general symmetry analysis for altermagnetic TM3X6, and discuss the electronic structures and charge-to-spin conversion phenomena based on DFT calculations performed for representative materials NiTa3S6 and NiNb3S6.
Symmetry, weak ferromagnetism, and altermagnetism
We start with the general analysis of magnetism in collinear antiferromagnets TM3X6, assuming the magnetic unit cell equivalent to the crystal primitive cell (see Fig. 1a, b). We focus on different directions of Néel vector observed in different materials and the potential presence of weak ferromagnetism. To this aim, we apply the Landau theory of altermagnetism formulated by McClarty and Rau43. Weak ferromagnetism in its simplest form microscopically originates from the staggered Dzyaloshinskii-Moriya (DMI) interaction44,45, and it is not allowed in the nonrelativistic limit. The Landau theory of phase transitions connects the zero SOC altermagnetic limit to the finite SOC phase, where weak ferromagnetism with magnetization M arises as a secondary order parameter coupled to the staggered magnetization represented by a Néel vector N.
In linear order, such terms can appear in the order parameter as ∝ N ⋅ M; and whether they are allowed or not is fully determined by the point group of the magnetic system, which depends on the crystal structure as well as the positions of the magnetic ions and the magnetization direction. Specifically, such a coupling term is allowed when it is invariant under the symmetries of the point group. If the Néel vector is along the z-axis, as in the ground state of NiTa3S641, the magnetic structure transforms under the point group D6. For the Néel vector on the xy-plane, which approximately holds for NiNb3S641, the corresponding point group is D2. The transformation properties of N and M can be understood using irreducible representations (irreps) of these point groups.
Let us consider first the limit of zero SOC. As axial vectors, M transforms as \({\Gamma }_{1}\otimes {\Gamma }_{A}^{S}\) and N transforms as \({\Gamma }_{N}\otimes {\Gamma }_{A}^{S}\) where Γ1 and ΓN are the trivial and a nontrivial irrep of the crystallographic point group D6, and \({\Gamma }_{A}^{S}\) is the axial vector irrep of the spin point group46. ΓN being nontrivial is a signature of altermagnets. A linear coupling term N ⋅ M thus transforms as \(({\Gamma }_{1}\otimes {\Gamma }_{A}^{S})\otimes ({\Gamma }_{N}\otimes {\Gamma }_{A}^{S})={\Gamma }_{N}\otimes ({\Gamma }_{1}^{S}\oplus {\Gamma }_{A}^{S}\oplus {\Gamma }_{Q}^{S})\) where \({\Gamma }_{1}^{S}\) and \({\Gamma }_{Q}^{S}\) are the trivial and quadrupole irreps of the spin point group. Since ΓN is nontrivial, this term is not invariant under the point group symmetries, and weak ferromagnetism is not allowed in the absence of SOC.
When SOC is turned on, the spin degrees of freedom lock onto the crystal symmetries; thus, the spin point group is reduced to the crystallographic point group: \({\Gamma }_{\alpha }^{S}\to {\Gamma }_{\alpha }\), where α = 1, A, Q is used to denote the corresponding irrep. N ⋅ M thus transforms as (Γ1 ⊗ ΓA) ⊗ (ΓN ⊗ ΓA) = ΓN ⊗ (ΓA ⊗ ΓA). Using the property ΓA ⊗ ΓA = Γ1 ⊕ ΓA ⊕ ΓQ, we see that linear coupling is only allowed when ΓN ⊆ ΓA or ΓQ. For both NiTa3S6 and NiNb3S6 the point group is D6, ΓN = B2, ΓA = A2 ⊕ E1, and ΓQ = A1 ⊕ E1 ⊕ E2. Since B2 is contained neither in ΓA nor ΓQ, weak ferromagnetism in linear order is not allowed in any of the two materials.
Next, we will consider higher-order couplings Nn ⋅ M. In NiTa3S6, the out-of-plane Néel vector \({\bf{N}}=N\hat{{\bf{z}}}\) spatially transforms as ΓA = A2, and in-plane magnetization \({\bf{M}}={M}_{x}\hat{{\bf{x}}}+{M}_{y}\hat{{\bf{y}}}\) transforms as E1. The higher order coupling term thus transforms as \({({B}_{2}\otimes {A}_{2})}^{n}\otimes {E}_{1}\) = \({B}_{1}^{n}\otimes {E}_{1}\) are disjoint for all n. Thus, even higher-order weak ferromagnetism is not allowed in NiTa3S6. On the other hand, for an in-plane Néel vector \({\bf{N}}={N}_{x}\hat{{\bf{x}}}+{N}_{y}\hat{{\bf{y}}}\) and out-of-plane magnetization \({\bf{M}}| | \hat{z}\), the higher order coupling term transforms as \({({B}_{2}\otimes {E}_{1})}^{n}\otimes {A}_{2}\), which is allowed for odd values of n. For n = 3, this term is \({N}_{x}({N}_{x}^{2}-3{N}_{y}^{2}){M}_{z}\). Therefore, weak ferromagnetism in NiNb3S6 is allowed by symmetry only at the third or higher order in the free-energy expansion.
It is worthwhile to note that the representations of the point groups are also helpful for understanding the symmetry of the nonrelativistic spin splitting of bands. The lowest order multipole that is allowed to linearly couple to N determines the type of altermagnetic splitting. For point group D6 in the absence of spin-orbit coupling, it is the l = 4 (g-wave) multipole, and the part that transforms as B1 is \({k}_{y}{k}_{z}(3{k}_{x}^{2}-{k}_{y}^{2})\), reflecting the g-wave spin splitting pattern of Fermi surfaces predicted previously10.
Persistent spin textures in nonmagnetic and altermagnetic phases
Let us consider first the ideal nonrelativistic altermagnetic case. The results of our nonrelativistic DFT calculations performed for NiTa3S6 are summarized in Fig. 1. The material is metallic and exhibits a large Fermi surface, consisting of four pairs of sheets that differ in size, with the largest shown in Fig. 1e. The spin polarization exhibits a g-wave character, consistent with the symmetry analysis. Notably, band structures calculated along the high-symmetry lines will not show any altermagnetic splitting. To illustrate the splitting along the k-lines, we chose a diagonal path H1 − Γ − H2, which reveals a maximal altermagnetic splitting of bands, reaching up to 100 meV near the Fermi level (see Fig. 1d). Note that the material hosts opposite spin-splitting for Γ − H1 and Γ − H2 paths, consistently with the g-wave pattern.
To explore the impact of SOC, we performed fully relativistic calculations for both nonmagnetic and antiferromagnetic phases, considering different orientations of the Néel vector. For NiTa3S6, the magnetic anisotropy energy (MAE) calculations indicate that the z-axis alignment of the Néel vector is favored over the x and y, in agreement with the previous studies41. Additionally, this magnetic configuration has not revealed any signs of weak ferromagnetism, consistent with the group theory analysis presented in Sec. IIC. The relativistic electronic structures of both nonmagnetic and altermagnetic phases are displayed in Fig. 2a and b, respectively. Although the band structures and spin textures appear similar, the fundamental symmetry-related differences can lead to distinct behavior in response to the external stimuli.
a Band structure calculated for the nonmagnetic phase (left-hand panel), and the representative Fermi sheets (right-hand panels). The narrow cylindrical sheet corresponds to the innermost band, while the larger sheet below originates from one of the outermost bands. Note that the inequivalent high-symmetry points H+ and H− are different from those in the nonrelativistic magnetic phase shown in Fig. 1. b Same as (a) but calculated for the altermagnetic phase with the Néel vector along the [001] direction. The color of the bands represents the Sz projection of spin texture; Sx and Sy are negligible and they are not shown. Note that the inequivalent high-symmetry points are different from those in Fig. 1. The full set of Fermi surfaces for both phases is provided in the Supplementary Information.
In the nonmagnetic phase, the spin splitting of bands and the spin texture arise solely from SOC. Figure 2a displays the dominant Sz component of the spin texture, while the Sx and Sy components remain negligible for most bands (see Supplementary Figs. 1–3 in the Supplementary Information). This uniform spin polarization, called a persistent spin texture, is enforced by the crystal symmetries4,5. Following the analysis from Ref. 5, we notice that SG 182 enforces PST around the high-symmetry points Γ and H for some of the bands. This is clearly observed in Fig. 2a: most states exhibit PST, except for the bands with onsets at 0.75 eV and -0.5 eV, which lack PST around Γ and H or only at Γ, respectively. This behavior is dictated by the representations of symmetry operations at these k-points, which impose distinct constraints on the spin expectation values for different bands. Notably, all large Fermi surfaces (E = EF) exhibit PST throughout their entire extent, which is surprising for large-sized sheets in a metallic bulk material. Similar to the case of chiral tellurium, this uniform symmetry-enforced spin texture is expected to enable a strong Rashba-Edelstein effect and potentially support long spin lifetimes9.
These observations raise an important question: does the relativistic altermagnetic electronic structure inherit the nonrelativistic altermagnetic spin splitting, the nonmagnetic PST, or a combination of both? The results shown in Fig. 2b and Supplementary Figs. 4, 5 suggest a band-dependent behavior. Among the bands forming the Fermi surface, the outermost pair exhibits an altermagnetic spin polarization pattern, while the rest retain PST. This can be attributed to different orbital character, with the outer Fermi surfaces dominated by Ni states and the inner bands showing stronger Ta-S contributions. Since both textures involve out-of-plane (Sz) spin components, their coexistence should be, in principle, constructive, potentially enhancing charge-to-spin conversion and spin coherence. Interestingly, the inclusion of magnetic order appears to reduce the overall band splitting.
The electronic structure of the nonmagnetic phase of NiNb3S6 follows similar trends of NiTa3S6. All Fermi surfaces exhibit fully persistent spin textures along the z axis (Supplementary Figs. 6 and 7). However, the magnetic configuration reveals quite different properties. First of all, the nonrelativistic altermagnetic band splitting is negligible (Supplementary Fig. 13a). While it can be enhanced by introducing a Hubbard U term, leading to a splitting that can even exceed that of NiTa3S6 (see Supplementary Fig. 13b), the physical justification of such an approach for a metallic system is subtle, and the results should be interpreted cautiously in light of experimental evidence.
In the relativistic calculations, we assumed the Néel vector aligned along the x-axis, neglecting the helimagnetic order reported experimentally41. Our calculations in this case are primarily aimed at showing the behavior of spin textures for different Néel vector orientations, and we treat the collinear approximation of NiNb3S6 as an example system. We show that although the spin textures still reflect an interplay between PST and altermagnetism, their character differs notably from those in NiTa3S6 (see Supplementary Fig. 8–10). Specifically, the two inner pairs of Fermi surfaces retain persistent spin textures dominated by the Sz component, accompanied by a g-wave-like Sx pattern. In contrast, the outer Fermi surfaces are almost entirely altermagnetic, exhibiting strong Sx-polarized spin textures. This hybrid configuration, with competing Sx and Sz components, reflects a complex relativistic spin structure that cannot be captured by a nonrelativistic approximation. Additionally, NiNb3S6 displays weak ferromagnetism and an anomalous Hall effect, in agreement with our symmetry predictions (see Sec. S4, Supplementary Fig. 14).
Collinear Rashba-Edelstein effect
We now examine charge-to-spin conversion mechanisms in both the nonmagnetic and altermagnetic phases, beginning with the Rashba-Edelstein effect. This phenomenon refers to spin accumulation induced by a charge current, where the relative orientation of the current and generated spin density is dictated by crystal symmetry3. In the nonmagnetic phase, only the \({\mathcal{T}}\)-even component of the REE is allowed. The symmetry analysis of the response tensor further shows that only the so-called collinear components of REE will be present, meaning that the induced spin polarization aligns with the direction of the charge current, consistent with typical behavior in chiral materials47,48,49. In contrast, in the altermagnetic phase, the response depends on the orientation of the Néel vector. For NiTa3S6, with the Néel vector along the z-axis, the symmetry again allows only \({\mathcal{T}}\)-even components, while \({\mathcal{T}}\)-odd terms are forbidden. However, in NiNb3S6, where the Néel vector lies in the plane, several \({\mathcal{T}}\)-odd components emerge in addition to the \({\mathcal{T}}\)-even diagonal elements. These components, marked in red and blue in Table 1, suggest a much richer REE response.
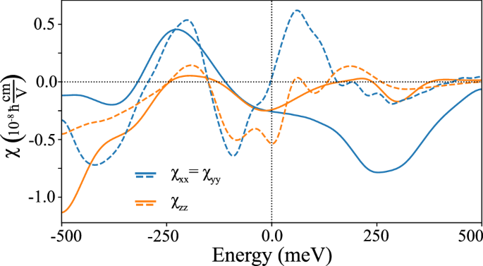
Our calculations for NiTa3S6 confirm the presence of three \({\mathcal{T}}\)-even components of the Rashba-Edelstein tensor. The calculated values of χ as a function of chemical potential are shown in Fig. 3, where dashed and solid lines represent the nonmagnetic and altermagnetic calculations, respectively. In the considered energy range, the maximal magnitudes of χ are comparable between the two phases and remain large, on par with or exceeding those of other chiral materials such as TaSi2 and NbSi2 (see Supplementary Fig. 18)47,48, or previously studied noncollinear antiferromagnets32. At the true Fermi level in the nonmagnetic phase, the values of χzz significantly exceed χxx = χyy which are nearly zero, consistent with the almost full spin polarization of states along the z axis. Such a strong response highlights the potential of this material for charge-to-spin conversion, where the presence of PST appears to play a major role in enhancing the REE.
\({\mathcal{T}}\)-even REE response tensor χ vs chemical potential calculated for nonmagnetic phase (dashed lines), and altermagnetic phase with the Néel vector along the z-direction (solid lines). In both cases, we used the parameter Γ = 0.03 eV determined from the comparison of measured and calculated charge conductivity (see Section S3 in the Supplementary Information).
The REE response of NiNb3S6 presented in Supplementary Fig. 15 reveals three notable features that distinguish it from NiTa3S6. First, the \({\mathcal{T}}\)-even response in the nonmagnetic phase is slightly larger and exhibits an opposite sign at the Fermi level compared to NiTa3S6, highlighting subtle differences in the underlying spin textures. Second, in the altermagnetic phase, a pronounced anisotropy emerges between χxx, χyy, and χzz components, accompanied by an overall suppression of the \({\mathcal{T}}\)-even REE. This reduction arises from the competing contributions of Sx and Sz spin texture components on the Fermi surface, reflecting the complex interplay between PST and altermagnetism. Third, several \({\mathcal{T}}\)-odd components appear in NiNb3S6, which are symmetry-forbidden in NiTa3S6, but their magnitude remains about an order of magnitude smaller than the \({\mathcal{T}}\)-even terms in the nonmagnetic phase. This richer charge-to-spin conversion response, particularly the presence of \({\mathcal{T}}\)-odd components, offers a clear fingerprint of the Néel vector orientation and could serve as an experimental probe to detect and distinguish antiferromagnetic order in this material class.
Spin Hall effect in nonmagnetic and altermagnetic phases
We now turn to the spin Hall effect, evaluated within the framework of fully relativistic calculations. In the nonmagnetic phase, defined by SG 182, symmetry permits only the conventional spin Hall conductivity tensor components \({\sigma }_{ij}^{k}\), where j, i, and k, denoting charge current, spin current, and spin polarization of the latter, are mutually orthogonal50. Among these, three components are symmetry-inequivalent and thus independent. In contrast, magnetic ordering lowers the system’s symmetry due to the real-space arrangement of magnetic moments, allowing additional components of the SHC tensor. Based on the magnetic point group (MPG) symmetries, the allowed components, distinguishing between \({\mathcal{T}}\)-even (black) and \({\mathcal{T}}\)-odd (red), are listed in Table 1.
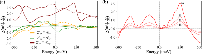
The spin Hall conductivities of NiTa3S6 calculated as a function of chemical potential are shown in Fig. 4. For the \({\mathcal{T}}\)-even components, obtained using Eq. (3), we present both nonmagnetic and altermagnetic results, denoted by dashed and solid lines, respectively (Fig. 4a). Overall, the magnitudes of the \({\mathcal{T}}\)-even SHC are large, reaching up to 300 \(\frac{\hslash }{e}\,\frac{S}{{\rm{cm}}}\), which is comparable with Dirac nodal line semimetals51, albeit still one order of magnitude below typical metals52. We note, however, that the charge conductivity of NiTa3S6 is about one order of magnitude lower than in Pt (104 vs 105 S/cm), which implies that the spin Hall angle could still be satisfactory.
a All \({\mathcal{T}}\)-even spin Hall conductivity tensor components calculated for nonmagnetic (dashed lines) and altermagnetic phase with Néel vector along the z-direction (solid lines). b \({\mathcal{T}}\)-odd spin Hall conductivity \({\sigma }_{xx}^{x}\) calculated for altermagnetic phase, assuming different values of Γ = 10, 20, 30 and 40 meV. As shown in Table 1, only one independent \({\mathcal{T}}\)-odd component is present.
In the altermagnetic phase, the \({\mathcal{T}}\)-even SHE components are all slightly suppressed across the entire considered chemical potential range. In addition, this configuration allows four \({\mathcal{T}}\)-odd SHC components (see Table 1), which are equal by symmetry and correspond to differences in conductivity of carriers spin polarized along + x and − x directions16. These contributions, shown in Fig. 4b, are generally small in magnitude, at least an order of magnitude lower than the \({\mathcal{T}}\)-even terms at the Fermi level.
The nonmagnetic calculations of \({\mathcal{T}}\)-even SHC in NiNb3S6, shown in Supplementary Fig. 16, yield slightly lower magnitudes than those in nonmagnetic NiTa3S6. Here, altermagnetism does not significantly suppress the overall response but introduces anisotropy among all six components, consistent with symmetry predictions (Table 1). The magnetic phase also exhibits several additional \({\mathcal{T}}\)-odd components, presented in Supplementary Fig. 17. While most remain relatively small, the \({\chi }_{yy}^{z}\) and \({\chi }_{xx}^{z}\) components reach magnitudes comparable to the nonmagnetic \({\mathcal{T}}\)-even spin Hall response. Again, the diversity in the spin Hall tensor, similarly to REE, can serve as a distinct fingerprint characterizing the in-plane Néel vector orientation, potentially enabling its experimental detection.
Discussion
In summary, we have performed a first-principles study of the spin-orbit-related phenomena in the chiral layered materials NiTa3S6 and NiNb3S6, exploring both nonmagnetic and altermagnetic phases. In the nonmagnetic phase, both compounds exhibit persistent spin textures spanning nearly the entire Fermi surface – a rare and desirable feature in bulk metals. This behavior leads to a sizable collinear Rashba-Edelstein effect, indicating the potential for efficient charge-to-spin conversion and long spin lifetimes. We also find a rather large spin Hall effect in the nonmagnetic phase of both materials. These findings reveal that the nonmagnetic phase itself supports sizable charge-to-spin conversion, indicating that useful functionalities can be realized even without magnetic order.
In the antiferromagnetic regime, NiTa3S6 realizes an altermagnetic state with an out-of-plane Néel vector and no weak ferromagnetism, representing an unusual case of fully collinear chiral altermagnet. In NiNb3S6, the Néel vector lies in-plane, as confirmed by the magnetic anisotropy calculations. In these cases, altermagnetic effects tend to dominate over PST, particularly in NiNb3S6. We find that altermagnetism generally suppresses the REE due to the competing nature of PST and altermagnetic spin textures, with a stronger reduction in NiNb3S6 where the Néel vector is in-plane. The emergence of additional \({\mathcal{T}}\)-odd components of REE and SHE tensors and their larger anisotropy for the in-plane Néel vector, offers a potential way to probe magnetic order via spin responses.
As a central message, our results show that the interplay between SOC-induced spin textures arising from inversion symmetry breaking and altermagnetic spin polarization patterns is significant and can strongly influence charge-to-spin conversion and other spin-orbit-related phenomena. Since experimental realizations of devices typically involve surfaces and interfaces where inversion symmetry is broken, understanding this coexistence is of broad importance, extending beyond the persistent spin textures studied here. For example, systems where Rashba spin textures and altermagnetism coexist, that would include altermagnet surfaces or interfaces, emerge as other natural candidates for future investigation.
Methods
First-principles calculations
We performed DFT calculations using the Vienna Ab initio Simulation Package (VASP)25,26,27. The exchange-correlation effects were treated within the generalized gradient approximation (GGA) using the Perdew-Burke-Ernzerhof (PBE) functional53. The plane-wave basis set was truncated at an energy cutoff of 350 eV, and the total energy was converged to 10−7 eV. Brillouin zone (BZ) integrations employed a Monkhorst-Pack k-point mesh of 16 × 16 × 8, together with Gaussian smearing of 0.05 eV54. To obtain the altermagnetic band splitting in NiNb3S6, we applied an effective Hubbard U correction of 1.0 eV to the Ni d-orbitals. No Hubbard correction was used for NiTa3S6. Relativistic calculations were performed with SOC included self-consistently at the DFT level. We adopted a hexagonal unit cell with experimentally determined lattice constants: a = b = 5.77 Å, c = 12.03 Å for NiTa3S6, and a = b = 5.76 Å, c = 11.90 Å for NiNb3S6. The unit cells consisted of two Ni atoms, six Ta/Nb atoms, and twelve S atoms. Ionic positions were relaxed until the residual forces fell below 10−3 eV/Å.
As a post-processing step, we projected the DFT wave functions onto pseudo-atomic orbitals (PAOs) to construct tight-binding Hamiltonians. The following PAO basis sets were used: Ni [4s, 4p, 3d]; Ta [6s, 5p, 6p, 5d]; Nb [5s, 3p, 4p, 5p, 3d, 4d, 4f]; and S [3s, 3p, 3d]. This projection accurately reproduces the DFT band structure within an energy window of -15.0 eV to 2.8 eV for NiTa3S6 and -33.0 eV to 1.8 eV for NiNb3S6, both referenced to the Fermi level. The construction of PAO Hamiltonians and subsequent calculations were performed using our open-source Python package PAOFLOW28,29. The interface between VASP and PAOFLOW was only recently developed and is utilized here. For the electronic transport calculations, the PAO Hamiltonians were interpolated onto a dense k-mesh of 60 × 60 × 40. We used the adaptive smearing technique to smooth the single and double band integrals in all formulas55. All the calculations of charge-to-spin conversion were additionally verified by using Wannier90 package, where we implemented the same equations56.
Symmetry-restricted shapes of the linear response tensors are governed by the magnetic point group of each material. NiTa3S6 is described by MPG \({6}^{{\prime} }2{2}^{{\prime} }\), and NiNb3S6 by \({2}^{{\prime} }{2}^{{\prime} }2\). The allowed SHC and REE tensors are calculated using the MTENSOR tool in Bilbao Crystallographic Server using Jahn symbols for \({\mathcal{T}}\)-even REE - eV2, \({\mathcal{T}}\)-odd REE - aeV2, \({\mathcal{T}}\)-even SHC - eV3, \({\mathcal{T}}\)-odd SHC - aeV357,58,59. The results are shown in Table 1.
Data availability
The data that support the findings of this study are openly available at DataverseNL, https://doi.org/10.34894/G1B5HW.
References
Luo, J.-W., Bester, G. & Zunger, A. Full-zone spin splitting for electrons and holes in bulk GaAs and GaSb. Phys. Rev. Lett. 102, 056405 (2009).
Mera Acosta, C., Yuan, L., Dalpian, G. M. & Zunger, A. Different shapes of spin textures as a journey through the Brillouin zone. Phys. Rev. B 104, 104408 (2021).
Tenzin, K. et al. Analogs of Rashba-Edelstein effect from density functional theory. Phys. Rev. B 107, 165140 (2023).
Tao, L. & Tsymbal, E. Y. Persistent spin texture enforced by symmetry. Nat. Commun. 9, 2763 (2018).
Kilic, B. et al. Universal symmetry-protected persistent spin textures in noncentrosymmetric crystals. Nat. Commun. 16, 7999 (2025).
Lu, X.-Z. & Rondinelli, J. M. Discovery principles and materials for symmetry-protected persistent spin textures with long spin lifetimes. Matter 3, 1211–1225 (2020).
Dou, M., Li, H. & Tao, L. Spin relaxation in persistent spin textures. New J. Phys. 26, 123005 (2024).
Xu, J. et al. How spin relaxes and dephases in bulk halide perovskites. Nat. Commun. 15, 188 (2024).
Barts, E., Tenzin, K. & Sławińska, J. Efficient spin accumulation carried by slow relaxons in chiral tellurium. Nat. Commun. 16, 4056 (2025).
Šmejkal, L., Sinova, J. & Jungwirth, T. Beyond conventional ferromagnetism and antiferromagnetism: A phase with nonrelativistic spin and crystal rotation symmetry. Phys. Rev. X 12, 031042 (2022).
Mazin, I. et al. Altermagnetism – a new punch line of fundamental magnetism. Phys. Rev. X 12, 040002 (2022).
Hayami, S., Yanagi, Y. & Kusunose, H. Momentum-dependent spin splitting by collinear antiferromagnetic ordering. J. Phys. Soc. Jpn. 88, 123702 (2019).
Hayami, S., Yanagi, Y. & Kusunose, H. Bottom-up design of spin-split and reshaped electronic band structures in antiferromagnets without spin-orbit coupling: Procedure on the basis of augmented multipoles. Phys. Rev. B 102, 144441 (2020).
Yuan, L.-D. & Zunger, A. Degeneracy removal of spin bands in collinear antiferromagnets with non-interconvertible spin-structure motif pair. Adv. Mater. 35, 2211966 (2023).
Kimata, M. et al. Magnetic and magnetic inverse spin Hall effects in a non-collinear antiferromagnet. Nature 565, 627–630 (2019).
Salemi, L. & Oppeneer, P. M. Theory of magnetic spin and orbital Hall and Nernst effects in bulk ferromagnets. Phys. Rev. B 106, 024410 (2022).
González-Hernández, R. et al. Efficient electrical spin splitter based on nonrelativistic collinear antiferromagnetism. Phys. Rev. Lett. 126, 127701 (2021).
Zhou, X. et al. Crystal thermal transport in altermagnetic RuO2. Phys. Rev. Lett. 132, 056701 (2024).
Ouassou, J. A., Brataas, A. & Linder, J. dc Josephson effect in altermagnets. Phys. Rev. Lett. 131, 076003 (2023).
Bai, L. et al. Altermagnetism: Exploring new frontiers in magnetism and spintronics. Adv. Funct. Mater. 34, 2409327 (2024).
Tamang, R., Gurung, S., Rai, D. P., Brahimi, S. & Lounis, S. Altermagnetism and altermagnets: A brief review. Magnetism 5, 17 (2025).
Song, C. et al. Altermagnets as a new class of functional materials. Nat. Rev. Mater. 10, 473–485 (2025).
Cheong, S.-W. & Huang, F.-T. Altermagnetism classification. npj Quantum Mater. 10, 38 (2025).
Hu, M. Spin Hall and Edelstein effects in chiral non-collinear altermagnets. Nat. Commun. 16, 8529 (2025).
Kresse, G. & Hafner, J. Ab initio molecular dynamics for liquid metals. Phys. Rev. B 47, 558 (1993).
Kresse, G. & Furthmüller, J. Efficiency of ab-initio total energy calculations for metals and semiconductors using a plane-wave basis set. Comput. Mater. Sci. 6, 15–50 (1996).
Kresse, G. & Furthmüller, J. Efficient iterative schemes for ab initio total-energy calculations using a plane-wave basis set. Phys. Rev. B 54, 11169 (1996).
Buongiorno Nardelli, M. et al. PAOFLOW: A utility to construct and operate on ab initio Hamiltonians from the projections of electronic wavefunctions on atomic orbital bases, including characterization of topological materials. Comput. Mater. Sci. 143, 462–472 (2018).
Cerasoli, F. T. et al. Advanced modeling of materials with PAOFLOW 2.0: New features and software design. Comput. Mater. Sci. 200, 110828 (2021).
Li, H. et al. Intraband and interband spin-orbit torques in noncentrosymmetric ferromagnets. Phys. Rev. B 91, 134402 (2015).
Freimuth, F., Blügel, S. & Mokrousov, Y. Spin-orbit torques in Co/Pt (111) and Mn/W (001) magnetic bilayers from first principles. Phys. Rev. B 90, 174423 (2014).
González-Hernández, R., Ritzinger, P., Výborný, K., Železný, J. & Manchon, A. Non-relativistic torque and Edelstein effect in non-collinear magnets. Nat. Commun. 15, 7663 (2024).
Železný, J., Zhang, Y., Felser, C. & Yan, B. Spin-polarized current in noncollinear antiferromagnets. Phys. Rev. Lett. 119, 187204 (2017).
Parkin, S. & Friend, R. 3d transition-metal intercalates of the niobium and tantalum dichalcogenides. I. Magnetic properties. Philos. Mag. B 41, 65–93 (1980).
Boucher, Y. U. et al. Intercalation-induced states at the Fermi level and the coupling of intercalated magnetic ions to conducting layers in Ni1/3NbS2. Phys. Rev. B 109, 085135 (2024).
Tanaka, H. et al. Large anomalous Hall effect induced by weak ferromagnetism in the noncentrosymmetric antiferromagnet CoNb3S6. Phys. Rev. B 105, L121102 (2022).
Mangelsen, S. et al. Interplay of sample composition and anomalous Hall effect in CoxNbS2. Phys. Rev. B 103, 184408 (2021).
Park, P. et al. Composition dependence of bulk properties in the Co-intercalated transition metal dichalcogenide Co1/3TaS2. Phys. Rev. B 109, L060403 (2024).
Dai, Y. et al. Critical phenomenon and phase diagram of Mn-intercalated layered MnNb3S6. J. Phys. Condens. Matter 31, 195803 (2019).
Kousaka, Y. et al. An emergence of chiral helimagnetism or ferromagnetism governed by Cr intercalation in a dichalcogenide CrNb3S6. APL Mater. 10, 090704 (2022).
An, Y. et al. Bulk properties of the chiral metallic triangular antiferromagnets Ni1/3NbS2 and Ni1/3TaS2. Phys. Rev. B 108, 054418 (2023).
Ray, M. K. et al. Zero-field Hall effect emerging from a non-Fermi liquid in a collinear antiferromagnet V1/3NbS2. Nat. Commun. 16, 3532 (2025).
McClarty, P. A. & Rau, J. G. Landau theory of altermagnetism. Phys. Rev. Lett. 132, 176702 (2024).
Dzyaloshinsky, I. A thermodynamic theory of “weak” ferromagnetism of antiferromagnetics. J. Phys. Chem. Solids 4, 241–255 (1958).
Autieri, C., Sattigeri, R. M., Cuono, G. & Fakhredine, A. Staggered Dzyaloshinskii-Moriya interaction inducing weak ferromagnetism in centrosymmetric altermagnets and weak ferrimagnetism in noncentrosymmetric altermagnets. Phys. Rev. B 111, 054442 (2025).
Schiff, H., Corticelli, A., Guerreiro, A., Romhányi, J. & McClarty, P. A. The crystallographic spin point groups and their representations. SciPost Phys. 18, 109 (2025).
Roy, A. et al. Long-range current-induced spin accumulation in chiral crystals. npj Comput. Mater. 8, 243 (2022).
Tenzin, K. et al. Collinear Rashba-Edelstein effect in nonmagnetic chiral materials. Phys. Rev. B 108, 245203 (2023).
Slawinska, J. Spin selectivity in elemental tellurium and other chiral materials. Appl. Phys. Lett. 123, 240504 (2023).
Roy, A., Guimarães, M. H. D. & Sławińska, J. Unconventional spin Hall effects in nonmagnetic solids. Phys. Rev. Mater. 6, 045004 (2022).
Sun, Y., Zhang, Y., Liu, C.-X., Felser, C. & Yan, B. Dirac nodal lines and induced spin Hall effect in metallic rutile oxides. Phys. Rev. B 95, 235104 (2017).
Zhang, Y. et al. Different types of spin currents in the comprehensive materials database of nonmagnetic spin Hall effect. npj Comput. Mater. 7, 167 (2021).
Kresse, G. & Joubert, D. From ultrasoft pseudopotentials to the projector augmented-wave method. Phys. Rev. B 59, 1758 (1999).
Monkhorst, H. J. & Pack, J. D. Special points for Brillouin-zone integrations. Phys. Rev. B 13, 5188 (1976).
Yates, J. R., Wang, X., Vanderbilt, D. & Souza, I. Spectral and Fermi surface properties from Wannier interpolation. Phys. Rev. B 75, 195121 (2007).
Pizzi, G. et al. Wannier90 as a community code: new features and applications. J. Phys. Condens. Matter 32, 165902 (2020).
Aroyo, M. I. et al. Bilbao Crystallographic Server. I. Databases and crystallographic computing programs. Z. Kristallogr. Cryst. Mater. 221, 15–27 (2006).
Aroyo, M. I., Kirov, A., Capillas, C., Perez-Mato, J. M. & Wondratschek, H. Bilbao Crystallographic Server. II. Representations of crystallographic point groups and space groups. Acta Crystallogr. Sect. A 62, 115–128 (2006).
Gallego, S. V., Etxebarria, J., Elcoro, L., Tasci, E. S. & Perez-Mato, J. M. Automatic calculation of symmetry-adapted tensors in magnetic and non-magnetic materials: a new tool of the Bilbao Crystallographic Server. Acta Crystallogr. Sect. A 75, 438–447 (2019).
Acknowledgements
B.K. acknowledges fruitful discussions with Maxim Mostovoy and Josse Muller. J.S. acknowledges the Rosalind Franklin Fellowship from the University of Groningen. J.S. and C.C.Y. acknowledge the research program “Materials for the Quantum Age” (QuMat) for financial support. This program (registration number 024.005.006) is part of the Gravitation program financed by the Dutch Ministry of Education, Culture and Science (OCW). J.S. and B.K. acknowledge the Dutch Research Council (NWO) grant OCENW.M.22.063. C.A. acknowledges the Foundation for Polish Science project “MagTop” no. FENG.02.01-IP.05-0028/23 co-financed by the European Union from the funds of Priority 2 of the European Funds for a Smart Economy Program 2021–2027 (FENG). C.A. acknowledges support from PNRR MUR project PE0000023-NQSTI. The calculations were carried out on the Dutch national e-infrastructure with the support of SURF Cooperative (EINF-10786) and on the Hábrók high-performance computing cluster of the University of Groningen.
Author information
Authors and Affiliations
Contributions
K.T. performed first-principles calculations and implemented T-even and T-odd charge-to-spin conversion effects in PAOFLOW with the help of M.C. and M.B.N. B.K. conducted the group theory analysis. R.M.S. initialized the project. Z.H. and M.B.N. developed and implemented the VASP-PAOFLOW interface. All the authors contributed to the data analysis and discussions. C. A. and J.S. supervised the project.
Corresponding authors
Ethics declarations
Competing interests
J.S. serves as an editorial board member of the journal and had no role in the peer review or decision to publish this manuscript. All other authors declare no competing interests.
Additional information
Publisher’s note Springer Nature remains neutral with regard to jurisdictional claims in published maps and institutional affiliations.
Supplementary information
Rights and permissions
Open Access This article is licensed under a Creative Commons Attribution 4.0 International License, which permits use, sharing, adaptation, distribution and reproduction in any medium or format, as long as you give appropriate credit to the original author(s) and the source, provide a link to the Creative Commons licence, and indicate if changes were made. The images or other third party material in this article are included in the article’s Creative Commons licence, unless indicated otherwise in a credit line to the material. If material is not included in the article’s Creative Commons licence and your intended use is not permitted by statutory regulation or exceeds the permitted use, you will need to obtain permission directly from the copyright holder. To view a copy of this licence, visit http://creativecommons.org/licenses/by/4.0/.
About this article
Cite this article
Tenzin, K., Kilic, B., Sattigeri, R.M. et al. Persistent spin textures, altermagnetism and charge-to-spin conversion in metallic chiral crystals TM3X6. npj Spintronics 3, 46 (2025). https://doi.org/10.1038/s44306-025-00109-9
Received:
Accepted:
Published:
Version of record:
DOI: https://doi.org/10.1038/s44306-025-00109-9






