Fig. 1: Time-resolved detection of periodic trembling electron motion as high frequency AC current.
From: Trembling motion of electrons driven by Larmor spin precession

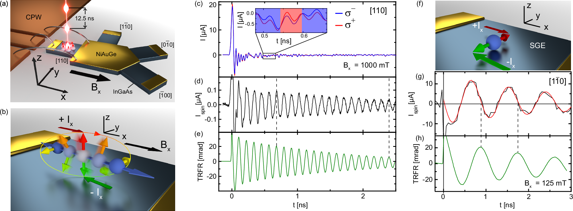
a Sample geometry and pulsed optical spin excitation. The electron spin ensemble is excited along the z direction by circularly polarized ps laser pulses with a pulse repetition time of 12.5 ns. The high-frequency current in InGaAs is detected by a phase-triggered sampling oscilloscope through coplanar waveguides (CPW). Four different crystal directions can be contacted. b Illustration of the spin precession driven trembling electron motion (PDTM). Electron spin precession yields a periodic displacement of the electrons along the x-direction which results in an AC current oscillating at the Larmor frequency. c Time-resolved current traces along the [110] crystal direction recorded after pulsed optical excitation for σ+ and σ− polarizations at Bx = 1 T and T = 50 K and averaged over about 105 measurements. The inset shows a close-up of both current traces. d Time-dependent AC current Ispin = [I(σ+) − I(σ−)]/2 as determined from both traces in panel (c). A fit to Eq. (1) yields a spin dephasing time of \({T}_{2}^{* }=1.8\) ns. e TRFR of electron spin precession under identical experimental conditions. f Illustration of AC current generated by the spin-galvanic effect (SGE), where the largest currents are generated for electron spins pointing along the ±y-directions. g and h show respective AC current and TRFR traces measured along the \([1\overline{1}0]\).