Abstract
This study employed remote monitoring/ecological momentary assessment methods to test the hypothesis that prior-night sleep is associated with next-day symptoms. Military personnel with sleep problems (Nā=ā270) completed daily sleep diaries and twice-daily symptom surveys via smartphone and wore a commercial wearable for ten days. In lagged analyses controlling for age and sex, prior-night sleep was robustly associated with next-day symptoms. Findings support remote approaches to assess sleep and next-day symptoms.
Daytime symptoms, including cognitive complaints, mood disturbances, and sleepiness are core features of clinical sleep disorders such as insomnia and obstructive sleep apnea (OSA). Historically, assessment of these daytime symptoms has relied on clinical interviews or retrospective questionnaires with differing recall periods. Although these methods provide vital clinical insights, they are unable to assess subtle yet important day-to-day and within-day effects of sleep, sleep disorders, or sleep disorders treatments. Ecological momentary assessment (EMA) is a data-rich approach to capture patient experience in real-time1. EMA methods require participants to respond to queries multiple times per day (e.g., via smartphone), during the course of their everyday lives1.
Several studies have employed EMA methods to evaluate the effects of sleep on next-day symptoms2,3,4,5,6,7,8. In a seminal study of adults with insomnia (nā=ā47) and healthy sleepers (nā=ā18), Buysse and colleagues found that only daytime symptoms assessed via EMA (but not retrospective questionnaires) were related to sleep2. More recently, Wickwire and colleagues employed EMA among older adults with insomnia (nā=ā29) and found that prior-night sleep (as measured by both subjective sleep diary and objective actigraphy) was associated with next-day insomnia symptoms including subjective cognition, positive mood, negative mood, and fatigue/sleepiness in lagged analyses over 14 days9.
Despite promising findings, EMA is underutilized in sleep medicine. Few, if any, studies have employed EMA among individuals with sleep disorders beyond insomnia, such as OSA or insufficient sleep. The purpose of this study was to determine the association between prior-night sleep and next-day symptoms among military patients with a broad range of sleep disorders. The military population is of particular interest due to an unrelenting work tempo and elevated rates of clinical sleep disorders, as well as the emphasis on optimal daytime function in operational environments where human error can result in loss of life and/or substantial economic costs10,11,12. We hypothesized that prior-night subjective and objective sleep is associated with next-day symptoms over ten days.
Methods
Study design and overview
This prospective cohort study was nested within a larger clinical implementation at two military treatment facilities13,14. Throughout the study, participants continued to receive routine clinical care. The study was approved by the Institutional Review Board at the Walter Reed National Military Center ([WRNMMC]; WRNMMC-2019-0258).
Participants
Patients with sleep problems were recruited from Walter Reed National Military Medical Center (Internal Medicine clinic and the Sleep Disorders Center) and Alexander T. Augusta Military Medical Center (formerly Ft. Belvoir Community Hospital; Family Medicine clinic and Sleep Disorders Center). Inclusion criteria included (1) active-duty military servicemember and/or Defense Eligibility Enrollment System (DEERS) beneficiaries, including retired military or military dependent, (2) age 18ā75 years, (3) ownership of a smartphone, and (4) provider or self-referral for sleep problems (including insufficient sleep). Exclusion criteria included (1) pregnancy, (2) untreated and/or uncontrolled major medical or psychiatric illness, and (3) pending retirement or permanent international change of station.
Measures
Subjective sleep diary
Specific sleep parameters included total sleep time (TST), sleep onset latency (SOL), number of awakenings (NOA), wake after sleep onset (WASO), and subjective sleep quality (QUAL, scored from 0-lowest to 10-highest).
Daytime symptoms
Daytime symptoms were measured using twice-daily surveys. Individual items assessed subjective cognition (feeling alert, clear-headed), energy level (feeling refreshed, fatigued), and mood (feeling happy, sad, stressed, relaxed) using an āI feel refreshedā format. Five response options ranged from ānot at allā to āveryā (scored from 0ā4, respectively).
Commercial wearable sleep tracker
Objective sleep data was obtained from the Fitbit Inspire 2 and included TST and SE. This device uses a triaxial accelerometer to measure ambulatory movement to estimate sleep15.
Procedures
Remote study procedures
Participants underwent informed consent and were onboarded by trained study personnel and then received a commercial wearable sleep tracker via priority courier. Next, participants received training and completed a sleep history questionnaire and standard research questionnaires via a smartphone application (WellTapĀ®) with versions for iOS and Android.
Ecological momentary assessment (EMA)
For ten consecutive days, participants completed EMAs, including sleep diaries each morning and daytime symptom assessments 2x/day (i.e., 20 total EMAs over ten days). The ten-day duration was selected to ensure an adequate sample of sleep and daytime symptoms on both workdays and non-workdays. Surveys were completed upon arising and before bed, with specific times personalized based on participants preferred wake/rise times.
Commercial wearable sleep tracker
During onboarding, participants were instructed to remove the sleep tile from the Fitbit application, turn off alerts in the Fitbit app, and to wear the Fitbit device continuously except while bathing or charging the device.
Analytic plan
To test the hypothesis that prior-night sleep is associated with next-day symptoms lagged over 10 days, we developed a series of 40 mixed models (MMs). Within separate MMs, individual prior-night sleep diary (TST, SE, QUAL) and Fitbit (TST, SE) parameters were entered as independent variables, and individual next-day symptoms (feeling alert, clear-headed, refreshed, fatigued, happy, sad, stressed, and relaxed) were entered as continuous dependent variables. All models controlled for age and sex. Because our analytic approach included a large number of statistical tests, the Benjamini-Hochberg procedure for correcting the false discovery rate (BH-FDR) was employed. Statistical significance was set at 0.05. We also examined the association between within-day mood and same-night sleep, using a nearly identical approach.
Participants
Participants (Nā=ā270, 55.2% men, mean ageā=ā45.8 [SDā=ā13.0] years) included active duty (41.1%), retired military (27.4%), or civilian (24.8%) adults with sleep complaints. Participants self-identified as White (56.3%), Black (23.7%), Hispanic (8.5%), or Asian (7.0%) race/ethnicity. As described elsewhere, based on validated research questionnaires, participants were found to be at high risk for OSA (65.6%) and reported moderate to severe symptoms of insomnia (38.2%), excessive sleepiness (38.5%), depression (20.4%), and anxiety (20.4%)13.
Adherence and missing data
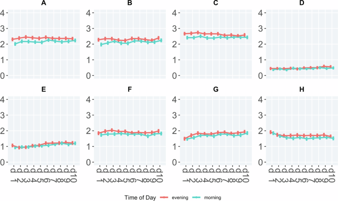
Participants completed a mean of 9.3 (SDā=ā1.3) of ten possible sleep diaries and a mean of 18.6 (SDā=ā2.5) of twenty possible daytime symptom surveys. (Fig. 1 depicts daytime symptom survey results over ten days.) Fitbit data was available for 94.8% of participants (<5% of data were unavailable due to changes within Fitbit user permissions during the course of the study).
Within each panel, the y-axis represents daytime symptom severity, with higher scores indicating greater levels of a given construct. The x-axis represents days one through ten, i.e., the intensive remote monitoring period. Aā=āclear-headed; Bā=āalert; Cā=āhappy; Dā=āsad; Eā=āstressed; F=relaxed; Gā=ārefreshed; H=fatigued.
Prior-night sleep and next-day symptoms
As depicted in Table 1, results of lagged MM analyses revealed that all prior-night sleep diary variables were significantly associated with next-day symptoms (all \(p{\rm{s}} < 0.001\) with \({df}=2197\)) over ten days. Specifically, prior-night sleep diary parameters (TST, SE, and QUAL) were positively associated with next-day feeling alert, clear-headed, refreshed, happy, and relaxed; and negatively associated with next-day feeling fatigued, sad, and stressed. Prior-night Fitbit sleep parameters were significantly associated with most next-day symptoms (largest \(p=0.023\) with \({df}=1956\)). Specifically, Fitbit TST and SE were positively associated with next-day feeling alert, clear-headed, refreshed, happy, and relaxed and negatively associated with next-day fatigue. Fitbit TST was negatively associated with next-day stress. These patterns of results were consistent in sensitivity analyses performed separately among civilian (nā=ā67), retired (nā=ā74), and active-duty individuals (nā=ā129).
Within-day mood and same-night sleep
To determine the association between within-day mood and same-night sleep, we performed a series of 10 separate MMs with positive and negative mood as independent variables and sleep diary (TST, SE, QUAL) and Fitbit (TST, SE) variables as dependent variables, again lagged over 10 days while controlling for age and sex. Within-day positive mood demonstrated a significant positive association with same-night sleep diary QUAL (\(\beta =0.206\), tā=ā3.86, pā<ā0.001, dfā=ā1858). Within-day negative mood demonstrated a significant negative association with same-night sleep diary QUAL (\(\beta =-0.225\), tā=ā3.13, pā=ā0.002, dfā=ā1858). The BH-FDR procedure was again employed.
This is the first study to employ EMA methods to determine the association between prior-night sleep and next-day symptoms among patients with a broad range of sleep problems. It is also the first such analysis among military personnel. Results indicated strikingly robust associations between subjective and objective sleep and daytime symptoms over ten days. Further, patient engagement and adherence was notably high, supporting the potential utility of EMA approaches among patients receiving sleep medicine care.
Mobile health and remote monitoring technologies such as EMA hold great promise for treatment researchers as well as clinicians. For example, EMA reduces recall bias and enhances ecological validity, thus enriching traditional outcomes assessments. Within the context of clinical care, EMA methods can also predict treatment response or identify individuals at risk for relapse for behavioral health conditions1. In our view, future sleep clinical trials should evaluate these potential benefits of EMA, including the application of EMA as a novel outcome measure9.
This study possesses strengths, including our multimethod assessment of subjective and objective sleep and daytime symptoms throughout the ten-day intensive remote monitoring assessment. Further, the constancy of results observed in multiple models increases confidence in a bona fide association between prior-night sleep and next-day symptoms. Concurrently, our study was limited by our convenience sample of smartphone owners from only two military facilities in one geographic region, as well as our observational study design, which is unable to determine causality.
In summary, our findings strongly support the potential utility of EMA methods to enhance the measurement of common daytime symptoms in patients with sleep disorders. Future research should seek to leverage EMA methods to guide personalized care.
Data Availability
Consistent with the policies of the Human Research Protections Program in the Department of Research Programs at Walter Reed National Military Medical Center, any request for raw data will require a data sharing agreement (and protocol modification, if applicable) to limit the use of data and to protect participant confidentiality. Any recipient of a limited, deidentified dataset will be prohibited from identifying or reidentifying any participant whose data are provided.
References
Shiffman, S., Stone, A. A. & Hufford, M. R. Ecological momentary assessment. Ann. Rev. Clin. Psychol. 4, 1ā32 (2008).
Buysse, D. J. et al. Daytime symptoms in primary insomnia: a prospective analysis using ecological momentary assessment. Sleep Med. 8, 198ā208 (2007).
Levitt, H. et al. A pilot study of subjective daytime alertness and mood in primary insomnia participants using ecological momentary assessment. Behav. Sleep Med. 2, 113ā131 (2004).
Abdel-Kader, K. et al. Ecological momentary assessment of fatigue, sleepiness, and exhaustion in ESKD. BMC Nephrol. 15, 29 (2014).
McCrae, C. S. et al. Sleep and affect in older adults: using multilevel modeling to examine daily associations. J. Sleep Res. 17, 42ā53 (2008).
Miller, C. B., Kyle, S. D., Marshall, N. S. & Espie, C. A. Ecological momentary assessment of daytime symptoms during sleep restriction therapy for insomnia. J. Sleep Res. 22, 266ā272 (2013).
Suh, S. et al. Clinical significance of night-to-night sleep variability in insomnia. Sleep Med. 13, 469ā475 (2012).
Slavish, D. C., Taylor, D. J. & Lichstein, K. L. Intraindividual variability in sleep and comorbid medical and mental health conditions. Sleep https://doi.org/10.1093/sleep/zsz052 (2019).
Wickwire, E. M. et al. Smart phone/ecological momentary assessment of sleep and daytime symptoms among older adults with insomnia. Am. J. Geriatr. Psychiatry 31, 372ā378 (2023).
Williams, S. G., Collen, J., Wickwire, E., Lettieri, C. J. & Mysliwiec, V. The impact of sleep on soldier performance. Curr. Psychiatry Rep. https://doi.org/10.1007/s11920-014-0459-7 (2014).
Capaldi, V. F., Balkin, T. J. & Mysliwiec, V. Optimizing sleep in the military: challenges and opportunities. Chest 155, 215ā226 (2019).
Mysliwiec, V. et al. Sleep disorders and associated medical comorbidities in active duty military personnel. Sleep 36, 167ā174 (2013).
Wickwire, E. M. et al. Virtual first: implementation of a novel sleep telehealth platform in the United States military. Front. Sleep 3, 1304743 (2024).
Wickwire, E. M. et al. Patient engagement and provider effectiveness of a novel sleep telehealth platform and remote monitoring assessment in the US military: pilot study providing evidence-based sleep treatment recommendations. JMIR Form. Res. 7, e47356 (2023).
Lim, S. E., Kim, H. S., Lee, S. W., Bae, K. H. & Baek, Y. H. Validation of Fitbit inspire 2. Nat. Sci. Sleep 15, 59ā67 (2023).
Acknowledgements
This research was supported by an investigator-initiated research award from the Department of Defense (W81XWH1990006 via the Medical Technology Enterprise Consortium) to the University of Maryland, Baltimore (PI: EMW).
Author information
Authors and Affiliations
Contributions
E.M.W., J.C., and J.S.A. designed the study, secured the funding, and interpreted the results. E.M.W. oversaw all aspects of the study. E.M.W., J.C., V.F.C., C.L.T., and S.Z.A. gathered data. E.M.W. wrote the original manuscript draft. All authors provided critical feedback and revised the manuscript.
Corresponding author
Ethics declarations
Competing interests
EMWās institution has received research funding from the AASM Foundation, Department of Defense, Merck, NIH/NIA, ResMed, the ResMed Foundation, and the Sleep Research Society Foundation. EMW has served as a scientific consultant to Axsome Therapeutics, DayZz, Eisai, EnsoData, Idorsia, Merck, Nox Health, Primasun, Purdue, and ResMed and is an equity shareholder in WellTap.
Additional information
Publisherās note Springer Nature remains neutral with regard to jurisdictional claims in published maps and institutional affiliations.
Rights and permissions
Open Access This article is licensed under a Creative Commons Attribution-NonCommercial-NoDerivatives 4.0 International License, which permits any non-commercial use, sharing, distribution and reproduction in any medium or format, as long as you give appropriate credit to the original author(s) and the source, provide a link to the Creative Commons licence, and indicate if you modified the licensed material. You do not have permission under this licence to share adapted material derived from this article or parts of it. The images or other third party material in this article are included in the articleās Creative Commons licence, unless indicated otherwise in a credit line to the material. If material is not included in the articleās Creative Commons licence and your intended use is not permitted by statutory regulation or exceeds the permitted use, you will need to obtain permission directly from the copyright holder. To view a copy of this licence, visit http://creativecommons.org/licenses/by-nc-nd/4.0/.
About this article
Cite this article
Wickwire, E.M., Collen, J., Capaldi, V.F. et al. Prior-night sleep predicts next-day symptoms over ten days among military personnel with sleep problems. npj Biol Timing Sleep 1, 10 (2024). https://doi.org/10.1038/s44323-024-00008-y
Received:
Accepted:
Published:
Version of record:
DOI: https://doi.org/10.1038/s44323-024-00008-y
