Fig. 1: Archaic variant recovery.
From: Adaptive introgression in modern human circadian rhythm genes

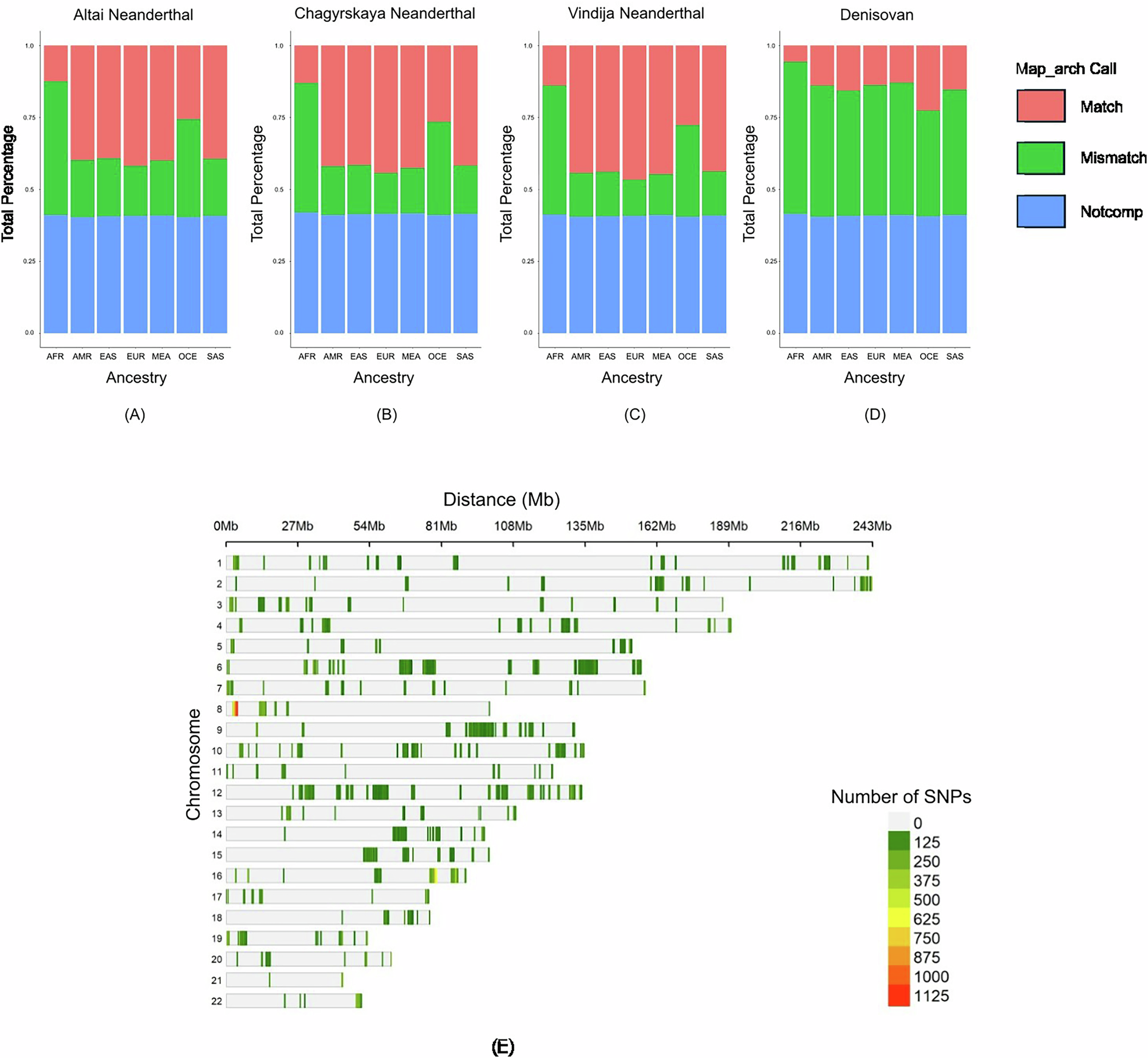
Putative archaic variants recovered in our pipeline overlapping the 265 independent segments provided in Table S1. Colours denote map_arch labelling51 and are representing the percentage of total recovered variants for the. A Altai Neanderthal, B Chagyrskaya Neanderthal, C Vindija Neanderthal, and D Denisovan. The population codes refer to: African (AFR), American (AMR), East Asian (EAS), European (EUR), Middle Eastern (EAS), Oceanic (OCE), and South Asian (SAS). The plots were generated using the ggplot2 package136 in R116. The density of SNPs for each of the 265 independent segments is shown in E, with low density plotted in green and high density in red. The plot was generated using rMVP137. The chromosome lengths are limited to the largest SNP position in our analysis found per chromosome.