Abstract
To investigate the circulating BAG3 role as a biomarker across Universal Definition of Heart Failure (UDHF) stages, plasma samples from 1121 individuals undergoing coronary and/or peripheral angiography across UDHF stages were analyzed using a novel BAG3 assay. In the whole sample, higher BAG3 concentrations predicted CV death (HR = 1.18; p = 0.001) and the composite endpoint MACE (Major Adverse Cardiovascular Events) (HR = 1.12; p = 0.006). In patients in the asymptomatic A and B stages, higher BAG3 concentrations predicted the onset of the first symptomatic HF event and the total burden of subsequent HF events (HR = 1.13; p = 0.05). The prognostic value of circulating BAG3 since the HF asymptomatic phases suggests its potential functional role in the disease and the possible utility of its measurement for risk stratification and management of cardiovascular diseases.
Introduction
Bcl-2-associated athanogene 3 (BAG3)1 is a multifunctional protein whose expression is generally induced by a variety of stressors, mainly through the activation of Heat Shock Factor (HSF) 12, while it is constitutive in muscle cells, including cardiomyocytes, in brain and peripheral nervous system cells, and in many tumors3,4,5,6,7,8. Through its BAG domain, BAG3 interacts with the heat shock protein (Hsp)70, thereby modulating its activity in protein turnover and autophagy. Furthermore, BAG3 binds to other proteins through its WW domain, proline-rich (PXXP) repeat and IPV (Ile-Pro-Val) motifs. The network of interactions of BAG3 with its partners results in the regulation of several intracellular pathways, including, in addition to protein quality control, autophagy and mitophagy, apoptosis, mechanotransduction, excitation-contracting coupling, mitochondrial functions, cytoskeleton organization and motility, inflammasome modulation and structural stabilization of the sarcomere6,7,8,9,10,11,12,13 (Fig. 1). The functional versatility of intracellular BAG3 explains its involvement in diverse mechanisms underlying oncological, neurological, neuromuscular, and cardiac pathologies. In the cardiology field, several bag3 gene variants have been reported in dilated and hypertrophic/restrictive forms and associated with the development of heart failure (HF)8,10,11,12,13,14,15,16,17,18,19,20,21,22,23,24,25,26,27,28,29; the most studied pathology for its relationship with bag3 mutation is genetic dilated cardiomyopathy (DCM)8,14,15,16,17,18,19,20,22,24,25,26,27,28, in which bag3 gene mutation, compromising the various functions normally supported by the protein, causes a dysfunction in the sarcomere turnover and in the myofilaments functionality. The role of BAG3 in more generic forms of HF remains uncertain.
Intracellularly, BAG3 contributes to maintaining the internal structure and the sarcomere stability of cardiomyocytes, supports a wide range of cellular functions, including survival, autophagy, mitochondrial functions and mitophagy, contributes to maintaining adrenergic reactivity and excitation-contraction coupling, and modulates inflammasome activity. Extracellularly, BAG3, released by stressed cardiomyocytes through unconventional protein secretion (UPS) pathways, binds and activates fibroblasts and macrophages. Created in BioRender. Rosati, A. (2025) https://BioRender.com/qzgbpkb.
Stressful stimuli can induce the release of BAG3 through unconventional secretory pathways in some cell types30,31,32. Cardiomyocytes subjected to stress stimuli release BAG3 protein; we previously reported that BAG3 was detected in the blood of advanced-stage or acutely decompensated HF patients33,34,35. These pieces of evidence raised the need for further evaluation of BAG3 as a biomarker of cardiovascular (CV) disease. Such analyses should evaluate potential correlation between BAG3 and other circulating biomarkers, and to evaluate the clinical and prognostic meaning of BAG3 concentrations in persons with a broader range of HF severity.
To address this question, we utilized a newly developed enzyme-linked immunosorbent assay (ELISA) to analyze BAG3 in plasma samples from participants in the Catheter Sampled Blood Archive in Cardiovascular Diseases (CASABLANCA) study. Compared to those used previously34,35, this assay allows the detection of lower concentrations of the protein36,37. This study included individuals undergoing coronary angiography with a broad range of risk for HF events38, and has had extensive biochemical characterization. We hypothesized that BAG3 concentrations would provide unique prognostic information regarding risk for future HF events.
Results
Of the 1251 study participants in CASABLANCA, there were 1121 with available samples for the present analysis. As shown in Table 1, the overall mean age of the study population was 66.2 ± 11.6 years, and 798 (71.2%) were male. As would be expected for a population referred for coronary and/or peripheral angiography, study participants had prevalent CV risk factors and around half had a history of previously diagnosed ASCVD. Results of angiography also detail coronary artery disease in a significant percent.
The median (Q1, Q3) concentration of BAG3 in the population was 22.4 (7.5, 53.8) ng/L. When divided by BAG3 tertiles (Table 1), there were few significant differences between study participants. Perhaps most noteworthy was a strong, significant association between worse kidney function and higher BAG3 concentrations. Otherwise, differences in demographics, baseline medical conditions and treatments across BAG3 plasma levels were largely absent, including no significant association between prevalent HF diagnosis at baseline and BAG3 concentrations. Similarly, there was no association with N-terminal pro–B-type natriuretic peptide (NT-proBNP) or high-sensitivity cardiac troponin I (hs-cTnI) across higher BAG3 categories. Baseline characteristics based on median BAG3 concentrations are shown in Supplementary Table S1.
Following, bivariate correlation was performed between log-transformed BAG3 results the many biomarker measurements available in the CASABLANCA biobank. This demonstrated a significant correlation between BAG3 concentrations with several biomarkers, as shown in Supplementary Table S2. BAG3 was positively, although rather weakly, correlated with many inflammatory biomarkers including interleukin (IL)-8 (ρ = 0.09, p = 0.002), IL-18 (ρ = 0.08, p = 0.006) and its inhibitor IL-18bp (ρ = 0.09, p = 0.002), Immunoglobulin M (IgM) (ρ = 0.10, p < 0.001), high-sensitivity C-reactive protein (hs-CRP) (ρ = 0.082, p = 0.008), Macrophage Colony-Stimulating Factor, (MCSF)-1 (ρ = 0.085, p = 0.004), Macrophage inflammatory protein (MIP)-1 alpha (ρ = 0.10, p < 0.001), Pulmonary and Activation Regulated Chemokine (PARC) (ρ = 0.10, p = 0.001), tumor necrosis factor (TNF)-alpha (ρ = 0.09, p = 0.002), TNF receptor 2 (ρ = 0.11, p < 0.001), Vascular Cell Adhesion Molecule (VCAM)-1 (ρ = 0.10, p < 0.001); with some proteins involved in the extracellular matrix organization including Intercellular Adhesion Molecule (ICAM)-1 (ρ = 0.11, p < 0.001), Matrix metalloproteinase (MMP)-2 (ρ = 0.12, p < 0.001), MMP-9 (ρ = 0.08, p = 0.006), Tissue Inhibitor Of Metalloproteinases (TIMP)-1 (ρ = 0.10, p < 0.001); and with markers of cellular injury such myoglobin (ρ = 0.11, p < 0.001) and thrombomodulin (ρ = 0.10, p < 0.001). Notably, there was no significant correlation between log-transformed BAG3 concentrations and either NT-proBNP or hs-cTnI.
To evaluate independent predictors of BAG3 concentrations, clinical and biochemical measures were entered into a multivariable linear regression analysis using the LASSO method (Supplementary Table S3). From the data obtained, a mild to moderate negative and statistically significant relationship between a prior coronary bypass surgery and BAG3 concentration was evident (estimated coefficients = −0.335; p = 0.007). Furthermore, some biomarkers remained positively and significantly associated with BAG3 concentration (IgM, estimated coefficient = 0.239, p = 0.005; IL-5, estimated coefficient = 0.993, p = 0.007; MMP-2, estimated coefficient = 0.304, p = 0.02; myoglobin, estimated coefficient = 0.155, p = 0.009). Despite a strong association across BAG3 tertiles, in a multivariable adjusted model, kidney function was no longer a predictor.
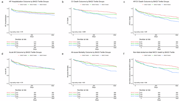
To understand the prognostic meaning of BAG3 concentrations, various outcomes were examined in adjusted models as shown in Table 2(the variables included in each model are detailed in Supplementary Table S4). Following adjustment for relevant covariates, log-transformed BAG3 concentrations remained a significant predictor of CV death (HR = 1.18 per log SD change in BAG3; 95% CI = 1.07–1.30; p = 0.001), HF/CV death (HR = 1.10 per log SD change in BAG3; 95% CI = 1.01–1.19; p = 0.02), all-cause mortality (HR = 1.11 per log SD change in BAG3; 95% CI = 1.01–1.21; p = 0.02) and the composite of non-fatal stroke/non-fatal MI/CV death (HR = 1.12 per log SD change in BAG3; 95% CI = 1.03–1.22; p = 0.006). These findings are reflected in a shorter time to event for those outcomes including mortality as shown in Fig. 2.
The next analyses performed evaluated the prognostic meaning of BAG3 concentrations depending on the UDHF staging. As previously described, the population of study participants was characterized as being in Stages A or B (asymptomatic at risk or with cardiac dysfunction) and C or D (symptomatic). The baseline characteristics of the study population divided by UDHF staging are represented in the Supplementary Table S5.
The results of Cox modeling for the logarithmic transformation of BAG3 as a predictor of different outcomes according to the UDHF stage of the patients are shown in Table 3. In unadjusted analyses, higher BAG3 concentrations were associated with HF events in those in UDHF Stage A/B; in adjusted analyses, the magnitude of risk prediction was slightly lower and this association was no longer significant. Notably, among those with Stage A/B HF, higher BAG3 concentrations remained predictive of the composite endpoint of HF hospitalization/CV death even in adjusted analyses (HR = 1.13 per SD increase in log-BAG3; 95% CI = 1.00–1.29, p = 0.05). In both unadjusted and adjusted analyses, among those with Stage C/D HF, higher BAG3 concentrations remained predictive of CV death (HR = 1.24 per SD increase in log-BAG3; 95% CI = 1.09–1.41; p < 0.001). The C-statistic change in multivariable models without and with BAG3 was modest (in each case, average change was an increase of 0.01), however in each case, the calibration of the models improved, with reduction in AIC and BIC upon inclusion of BAG3 to the models. Interaction testing suggested a HF stage x BAG3 interaction for HF hospitalization (p = 0.04). Other stage x biomarker interaction testing was negative.
To understand the association between higher BAG3 concentrations and total burden of disease, LWYY analyses evaluating recurrent events (HF hospitalization) with CV death as a competing risk were performed in those with Stages A/B and C/D. This showed that higher BAG3 levels were significantly associated with an increased total burden of events in those with Stage A/B (HR = 1.17 per SD increase in log-BAG3; 95% CI = 1.05–1.30, p = 0.05).
Discussion
This study explored the significance of BAG3 as a prognostic CV biomarker in a sample of well-characterized study participants undergoing coronary and/or peripheral angiography who had carefully adjudicated follow-up events, including an evaluation of baseline and progression of HF stages. BAG3 emerged as a significant predictor of mortality and various adverse CV outcomes. In fully-adjusted models higher BAG3 concentrations were modestly prognostic for mortality, HF hospitalization, as well as the composite of CV death/non-fatal MI/non-fatal stroke; inclusion of BAG3 was discriminatory in time-to-event analyses and improved model calibration. Importantly, no association was found between baseline BAG3 and other cardiac biomarkers, a finding that extends previous results from a small cohort of patients with acute HF evaluated with an earlier BAG3 assay34,35.
Of particular note is that among those in UDHF Stage A/B, higher BAG3 concentrations not only predicted onset of first symptomatic HF event but also the total burden of subsequent HF events. Although studies are focusing on the potential of therapeutic manipulation of BAG3 in HF, this study is the most comprehensive of its kind to show that BAG3 concentrations provide substantial prognostic information regarding risk for CV events, and, in addition, have predictive value even in HF asymptomatic phases.
There was a weak bivariate correlation between BAG3 and several inflammatory markers, along with several components of the extracellular matrix. Correlation does not equal causation and in adjusted linear models to identify independent predictors of BAG3 concentrations, most associations were no longer present. In such fully adjusted linear models, concentrations of a smaller number of biomarkers including IgM, IL-5 and MMP-2 remained among the independent predictors of BAG3. Each of these biomarkers has been independently linked to CV disease. IgM antibodies have gained attention as markers of atherosclerotic cardiovascular disease39,40, while IL-5 (an anti-inflammatory mediator of T-helper cell and eosinophil function) plays a multifaceted role in coronary heart disease and in recovery from heart dysfunctions, possibly reflecting an activation of type 2 innate lymphoid cells (ILC2s)41,42,43,44. Intriguing is the positive association between BAG3 and MMP-2 concentrations: higher plasma MMP-2 levels are reported in patients with HF resulting from different etiologies, and the role of this enzyme in HF development is widely recognized45,46,47. In this regard, it is interesting to note that MMP-2 expression can be stimulated through the activation of Akt and p3847,48, two mediators of the signal transduced through the BAG3 receptor30.
The results of this study are a step toward a better understanding of BAG3 activity in the heart. It is known that BAG3 released by cells subjected to stressful stimuli is able to bind and activate macrophages and fibroblasts8,30,31,32. The evidence that BAG3 is found in the circulation of HF patients since the asymptomatic HF stages is the necessary prerequisite to proceed to the study of the role of secreted BAG3 in the activation of cardiac macrophages and fibroblasts and in maladaptive remodeling. This, in turn, may provide insights into potential prognostic and therapeutic strategies. Consistent with the putative role of secreted BAG3 in the development of HF was the finding of differential prognostic significance of BAG3 in different stages of HF: in early-stage HF (A/B), BAG3 predicted HF hospitalization and CV death and total burden of HF events, whereas in late-stage HF (C/D), it was mainly associated with CV death. A borderline statistical interaction term was also found suggesting HF events might be more specifically predicted among those with Stage A/B HF and elevated BAG3. This might suggest that BAG3 might reflect harmful high levels of inflammatory and fibrotic processes in the different stages of HF: in early stages, it might be more indicative of disease progression and adverse remodeling, whereas in later stages, its persistent high levels might be more closely related to overall survival. These aspects deserve in-depth investigation; given small sample sizes and low event rates, the risk for Type 1 and 2 error needs to be taken into account. Also, specific attention should be paid to BAG3 as a druggable target for the treatment of patients with BAG3 mutation-associated dilated cardiomyopathy. Further data on the measurement of blood BAG3 concentrations in these patients, and on the extracellular activity of the mutated form of BAG3, are needed for prognostic and theranostic purposes and for a full understanding of the role of mutated BAG3 in cardiac disease.
Although the study used a careful scientific approach, it did have limitations. First, the CASABLANCA study’s participants were mostly male and Caucasian, with a lower number of patients with documented risk factors for CAD, such as smoking (12%) and diabetes mellitus (27%). Moreover, BAG3 was measured at only a single time point, precluding insights from serial assessments. The findings were derived from a single, well-characterized population undergoing coronary and peripheral angiography, and lack validation in independent cohorts with diverse clinical and geographic characteristics. Such external validation is essential to confirm the robustness and wider applicability of BAG3 as a predictive biomarker. More research is needed to validate these findings in diverse populations, examining serial measurements of BAG3, and with an effort to understand the mechanisms underlying BAG3’s link to poor CV outcomes. Furthermore, although there is recent evidence of the utility of measuring BAG3 for monitoring not only cardiovascular diseases, but also systemic sclerosis37,49,50, clinical validation of BAG3 as a monitoring biomarker has not yet been achieved. Lastly, the relative value of BAG3 measurement relative to other established biomarkers, such as soluble ST2, growth differentiation factor-15, or galectin-3, remains unknown. Development of therapeutics that affect BAG3 biology may make this ambiguity less relevant if the BAG3 assay is to be used to guide and/or monitor application of such a therapeutic.
In conclusion, among individuals undergoing coronary angiography, this work shows prognostic meaning of circulating BAG3: the biomarker modestly predicted HF events and CV death; in asymptomatic A/B stages BAG3 measurement may contribute to the early prediction of first symptomatic HF event and also of the total burden of subsequent HF events. The prognostic implications of BAG3 underline the complex function it plays in HF development. Therefore, these findings encourage both further exploration of BAG3 measurement for risk stratification and treatment of cardiovascular disease, as well as studies on the function of released BAG3 in the cardiac context. Finally, as therapeutics are being developed to target abnormal BAG3 signaling, studies on the presence and activity of BAG3 in circulation could reveal hitherto unrecognized mechanisms for the regulation of cardiac pathophysiology and open new therapeutic perspectives.
Methods
All study procedures were approved by the Mass General/Brigham HealthCare Institutional Review Board and conducted in accordance with the Declaration of Helsinki. Study Registration: CASABLANCA, NCT00842868
Study population
The design of the CASABLANCA study (NCT00842868) has been described38. Briefly, a sample of 1251 individuals undergoing coronary and/or peripheral angiography with or without intervention were prospectively enrolled at the Massachusetts General Hospital in Boston, Massachusetts between 2008 and 2011. Patients were referred for these procedures for a range of reasons, including angiography after acute myocardial infarction (MI), unstable angina pectoris, and HF, as well as for non-acute indications, such as stable chest pain and abnormal stress testing or pre-operatively before heart valve surgery.
After obtaining informed consent, detailed clinical and historical variables and reasons for angiography were recorded prior to the procedure. The results from coronary angiography (based on visual estimation at the time of the procedure) were recorded; the left main, left anterior descending, left circumflex, and right coronary artery were each considered major coronary arteries, and the highest percent stenosis within each major coronary artery or their branches was noted.
Detailed follow up was then undertaken for a broad range of events during an average of 3.7 years (maximum 8 years) of follow up. These included HF hospitalization, acute MI, non-fatal stroke, and CV or all cause death.
BAG3 measurement
At the time of the index procedure, a sample of blood was obtained into tubes containing ethylenediaminetetraacetic acid or no anticoagulant through a vascular sheath prior to angiography, placed immediately on ice, and processed within 1 h into individual aliquots. The aliquots were frozen at −80 degrees and stored until the present analysis without prior thawing.
A novel immunoassay for the measurement of BAG336,37 was utilized. An example of the detection of the BAG3 protein on a Western blot using the antisera from the new assay is shown in Supplementary Fig. 1.
96-well microplates (MediSorp™, cat. no. 467320, Thermo Scientific, Waltham, MA, USA) were coated with 200 μl of solutions containing anti-BAG3 coating mAb (4 μg/ml in PBS 1X) and left overnight at 4 °C. The day after, the wells were washed with PBS 1X, and the blocking of non-specific sites was performed for 2 h at room temperature using PBS 1X containing 1% fish gelatin (Merck KGaA, Darmstadt, Germany). When the blocking buffer was removed, 70 μl of BAG3 standard protein or 70 μl of plasma samples were distributed in the appropriate wells with 60 μl of adsorbent diluent (1.65% fish gelatin + 1.6 mg/ml bovine IgG diluted in 1.65% TWEEN 20–3.3X PBS) added to each well. The plates were incubated at 4 °C for 20 h. They were washed six times for 1 min with the washing buffer, and 200 μl of Assay detector diluent (0.5% fish gelatin + 500 μg/ml bovine IgG + 0.05 μg/ml anti-BAG3 monoclonal HRP-conjugated antibody diluted in 0.05% TWEEN 20–1X PBS) were loaded onto them. The plates were again incubated at 25 °C for 30 min and then washed six times for 1 min. Subsequently, 200 μl of TMB solution 1X (eBioscience, San Diego, CA, USA) were added to the wells and the colorimetric reaction was blocked by adding sulfuric acid 0.5 M after 30 min. The optical density values (OD) were detected by the spectrophotometer at the wavelength of 450 nm.
The measuring range of this assay is 15 ng/L to 1000 ng/L; concentrations below 15 ng/L were modeled as 7.5 ng/L. The coefficient of variation for this assay is 2.5% for inter-run precision for both 15.6 ng/L and 31.2 ng/L (Supplementary Fig. 2). The specificity and robustness of the ELISA method when applied to complex biological matrices such as plasma have also been verified (Supplementary Figs. 3 and 4), as has its reproducibility (Supplementary Material).
Statistical analysis
Characteristics of study participants were divided by BAG3 tertiles and compared using chi-squared or Wilcoxon rank sum testing as appropriate. Values for BAG3 were log-transformed and compared to log-transformed concentrations of other markers using Spearman correlation. To understand independent predictors of BAG3 concentrations, univariable correlation was then followed by multivariable regression using LASSO variable selection.
Next, the prognostic meaning of baseline log-transformed BAG3 concentrations was assessed. To do so Cox proportional hazards modeling was performed evaluating independent predictors of HF hospitalization, acute MI, CV death, all-cause death, and the composite endpoints of HF/CV death and non-fatal stroke/non-fatal MI/CV death. In each case, LASSO variable selection was utilized to identify key variables for each adjusted model. After performing variable selection, a linear model was run to calculate the Variance Inflation Factor in order to assess collinearity. This step ensured that the covariates included in the final models did not exhibit multicollinearity. For each analysis, a hazard ratio (HR) expressed standardized by standard deviation with 95% confidence intervals (CI) was generated. The change in C statistic without and with BAG3 was evaluated in fully-fitted models as was the calibration using the Akaike Information Criterion (AIC) and Bayesian Information Criterion (BIC). The time from study enrollment to each outcome event was evaluated across BAG3 tertiles using Kaplan–Meier curves and compared using the Log-rank test. As most follow-up extended to 1000 days, this time horizon was used in all time-to-event analyses.
Following, to understand for variable association of BAG3 with HF related events at different stages of HF, we examined the prognostic meaning of the biomarker as a function of Universal Definition of HF stages51: at risk (stage A: patients at risk for HF, but without current or prior symptoms or signs of HF and without structural cardiac changes or elevated biomarkers of heart disease); pre-HF (stage B: patients without current or prior symptoms or signs of HF with evidence of one of the following: structural heart disease; abnormal cardiac function; elevated natriuretic peptide levels); HF (stage C: patients with current or prior symptoms and/or signs of HF caused by a structural and/or functional cardiac abnormality); advanced HF (stage D: severe symptoms and/or signs of HF at rest, recurrent hospitalizations despite GDMT, refractory or intolerant to GDMT, requiring advanced therapies such as consideration for transplantation, mechanical circulatory support, or palliative care). As previously described38, we had characterized the CASABLANCA cohort in this manner and applied Cox modeling using LASSO variable selection to evaluate the prognostic importance of BAG3 in Stages A/B versus Stages C/D. To understand associations between BAG3 concentrations and total burden of HF events, we utilized Lin-Wei-Yang-Ying (LWYY) statistical modeling, a semiparametric regression method used to analyze recurrent events data, similarly dividing the cohort by UDHF Stages A/B and C/D.
All statistical analyses were performed using R software. p values are two-sided with values < 0.05 considered significant.
Data availability
The data that support the findings of this study are not openly available due to reasons of sensitivity and are available from the corresponding author upon reasonable request.
References
Takayama, S., Xie, Z. & Reed, J. C. An evolutionarily conserved family of Hsp70/Hsc70 molecular chaperone regulators. J. Biol. Chem. 8, 781–786 (1999).
Franceschelli, S. et al. Bag3 gene expression is regulated by heat shock factor 1. J. Cell Physiol. 215, 575–577 (2008).
Behl, C. Breaking BAG: the co-chaperone BAG3 in health and disease. Trends Pharm. Sci. 37, 672–688 (2016).
De Marco, M. Role of BAG3 in cancer progression: a therapeutic opportunity. Semin. Cell Dev. Biol. 78, 85–92 (2018).
De Marco, M., Turco, M. C. & Marzullo, L. BAG3 in tumor resistance to therapy. Trends Cancer 6, 985–988 (2020).
Marzullo, L., Turco, M. C. & De Marco, M. The multiple activities of BAG3 protein: mechanisms. Biochim. Biophys. Acta Gen. Subj. 8, 129628 (2020).
Kirk, J. A., Cheung, J. Y. & Feldman, A. M. Therapeutic targeting of BAG3: considering its complexity in cancer and heart disease. J. Clin. Invest. 16, e149415 (2021).
Turco, M. C. BAG3 in the heart. JACC Basic Transl. Sci. 8, 840−842 (2023).
Homma, S. et al. BAG3 deficiency results in fulminant myopathy and early lethality. Am. J. Pathol. 6, 761–773 (2006).
Martin, T. G. et al. Cardiomyocyte contractile impairment in heart failure results from reduced BAG3-mediated sarcomeric protein turnover. Nat. Commun. 1, 2942 (2021).
Wang, J. et al. Bag3 regulates mitochondrial function and the inflammasome through canonical and non-canonical pathways in the heart. J. Am. Coll. Cardiol. Basic Trans. Sci. 7, 820–839 (2023).
Martin, T. G., Sherer, L. A. & Kirk, J. A. BAG3 localizes to mitochondria in cardiac fibroblasts and regulates mitophagy. Am. J. Physiol. Heart Circ. Physiol. 5, H1124–H1130 (2024).
Qu, H. Q., Wang, J. F., Rosa-Campos, A., Hakonarson, H. & Feldman, A. M. The role of BAG3 protein interactions in cardiomyopathies. Int. J. Mol. Sci. 20, 11308 (2024).
Arimura, T., Ishikawa, T., Nunoda, S., Kawai, S. & Kimura, A. Dilated cardiomyopathy-associated BAG3 mutations impair Z-disc assembly and enhance sensitivity to apoptosis in cardiomyocytes. Hum. Mutat. 32, 1481–1491 (2011).
Norton, N. et al. Genome-wide studies of copy number variation and exome sequencing identify rare variants in BAG3 as a cause of dilated cardiomyopathy. Am. J. Hum. Genet. 88, 273–282 (2011).
Villard, E. et al. A genome-wide association study identifies two loci associated with heart failure due to dilated cardiomyopathy. Eur. Heart J. 32, 1065–1076 (2011).
Domínguez, F. et al. Dilated cardiomyopathy due to BLC2-associated athanogene 3 (BAG3) mutations. J. Am. Coll. Cardiol. 72, 2471–2481 (2018).
Myers, V. D. et al. The multifunctional protein BAG3: a novel therapeutic target in cardiovascular disease. JACC Basic Transl. Sci. 3, 122–131 (2018).
Vasilescu, C. et al. Genetic basis of severe childhood-onset cardiomyopathies. J. Am. Coll. Cardiol. 72, 2324–2338 (2018).
Mazzarotto, F. et al. Reevaluating the genetic contribution of monogenic dilated cardiomyopathy. Circulation 141, 387–398 (2020).
Shah, S. et al. Genome-wide association and Mendelian randomisation analysis provide insights into the pathogenesis of heart failure. Nat. Commun. 1, 63 (2020).
Jordan, E. et al. Evidence-based assessment of genes in dilated cardiomyopathy. Circulation 144, 7–19 (2021).
Jordà, P. et al. BAG3 genetic cardiomyopathy may overlap fulminant myocarditis clinical findings. Circ. Heart Fail. 15, e008443 (2022).
Qu, H. Q., Feldman, A. M. & Hakonarson, H. Genetics of BAG3: a paradigm for developing precision therapies for dilated cardiomyopathies. J. Am. Heart Assoc. 23, e027373 (2022).
Martin, T. G. et al. Dysregulated autophagy and sarcomere dysfunction in patients with heart failure with co-occurrence of P63A and P380S BAG3 variants. J. Am. Heart Assoc. 24, e029938 (2023).
Koslow, M., Mondaca-Ruff, D. & Xu, X. Transcriptome studies of inherited dilated cardiomyopathies. Mamm. Genome 2, 312–322 (2023).
Park, J. et al. Bidirectional risk modulator and modifier variant of dilated and hypertrophic cardiomyopathy in BAG3. JAMA Cardiol. 9, 1124–1133 (2024).
Patel, Y. B., David, W., Terzic, M., Mehla, A. & Swadia, T. V. BAG-3 mutation dilated cardiomyopathy with left ventricular noncompaction in young healthy adult. JACC Case Rep. 22, 102648 (2024).
Lee, D. S. M. et al. Common-variant and rare-variant genetic architecture of heart failure across the allele-frequency spectrum. Nat. Genet. 57, 829–838 (2025).
Rosati, A. et al. BAG3 promotes pancreatic ductal adenocarcinoma growth by activating stromal macrophages. Nat. Commun. 6, 8695 (2015).
Dufrusine, B. et al. BAG3 induces fibroblasts to release key cytokines involved in pancreatic cell migration. J. Cell Biochem. 123, 65–76 (2022).
De Marco, M. et al. BAG3 induces α-SMA expression in human fibroblasts and its over-expression correlates with poorer survival in fibrotic cancer patients. J. Cell Biochem. 123, 91–101 (2022).
De Marco, M. et al. Detection of soluble BAG3 and anti-BAG3 antibodies in patients with chronic heart failure. Cell Death Dis. 4, e495 (2013).
De Marco, M. et al. BAG3 protein in advanced-stage heart failure. JACC Heart Fail. 2, 673–675 (2014).
Gandhi, P. U. et al. Analysis of BAG3 plasma concentrations in patients with acutely decompensated heart failure. Clin. Chim. Acta 445, 73–78 (2015).
Falco, A. et al. Presence of BAG3 protein in serum samples from patients affected by psoriasis. J. Transl. Med. 22, 461 (2024).
De Marco, M. et al. Response to antifibrotic therapy and decrease of circulating BAG3 protein levels in systemic sclerosis patients with reduced forced vital capacity. Biomed. Pharmacother. 174, 116578 (2024).
Mohebi, R. et al. Inflammation across universal definition of heart failure stages: the CASABLANCA study. Eur. J. Heart Fail. 25, 152–160 (2023).
Deroissart, J. & Binder, C. J. Mapping the functions of IgM antibodies in atherosclerotic cardiovascular disease. Nat. Rev. Cardiol. 20, 433–434 (2023).
Ransegnola, B. P., Pattarabanjird, T. & McNamara, C. A. Tipping the scale: atheroprotective IgM-producing B cells in atherosclerosis. Arterioscler. Thromb. Vasc. Biol. 44, 1906–1915 (2024).
Newland, S. A. et al. Type-2 innate lymphoid cells control the development of atherosclerosis in mice. Nat. Commun. 8, 15781 (2017).
Knutsson, A. et al. Associations of interleukin-5 with plaque development and cardiovascular events. JACC Basic Transl. Sci. 4, 891–902 (2019).
Ikutani, M. & Nakae, S. Heterogeneity of group 2 innate lymphoid cells defines their pleiotropic roles in cancer, obesity, and cardiovascular diseases. Front. Immunol. 13, 939378 (2022).
Kral, M., van der Vorst, E. P. C., Surnov, A., Weber, C. & Döring, Y. ILC2-mediated immune crosstalk in chronic (vascular) inflammation. Front. Immunol. 14, 1326440 (2023).
Gonçalves, P. R., Nascimento, L. D., Gerlach, R. F., Rodrigues, K. E. & Prado, A. F. Matrix metalloproteinase 2 as a pharmacological target in heart failure. Pharmaceuticals 15, 920 (2022).
Buckley, L. F. et al. MMP-2 associates with incident heart failure and atrial fibrillation: the ARIC Study. Circ. Heart Fail. 16, e010849 (2023).
Wolosowicz, M., Prokopiuk, S. & Kaminski, T. W. The complex role of matrix metalloproteinase-2 (MMP-2) in health and disease. Int. J. Mol. Sci. 25, 13691 (2024).
Seo, K. W. et al. Mechanical stretch increases MMP-2 production in vascular smooth muscle cells via activation of PDGFR-β/Akt signaling pathway. PLoS ONE 8, e70437 (2013).
De Marco, M. et al. Overexpression of BAG3 (Bcl2-associated athanogene 3) in serum and skin of patients with systemic sclerosis. Clin. Exp. Rheumatol. 8, 1623–1628 (2024).
Freedman, P. et al. Extracellular BAG3 is elevated in early diffuse systemic sclerosis. Mil. Med. Res. 12, 37 (2025).
Bozkurt, B. et al. Universal definition and classification of heart failure. J. Card. Fail. 27, 387–413 (2021).
Acknowledgements
This work was supported in part by the European Union—Next Generation EU—M6/C2—call 2023 to M.D.M. (project code: PNRR-MCNT2-2023-12378342: CUP: I53C24000590007), and in part by intramural funds to M.C.T. (FARB 2021—project title: Study of the biological activity of extracellular BAG3 protein in the progression of post-infarction myocardial fibrosis). J.L.J. is supported in part by the Adolph Hutter professorship.
Author information
Authors and Affiliations
Contributions
Conceptualization: M.D.M., M.C.T., and J.L.J.; methodology, A.R., L.M., and M.C.; data curation and software: Y.L. and C.P.; validation, resources, and investigation: M.D.M., A.B., Y.L., and C.P.; formal analysis and visualization: M.D.M., Y.L., and C.P.; writing—original draft preparation: M.D.M. and J.L.J.; writing—review and editing: M.C.T., C.V., V.D.L., and J.L.J.; supervision: J.L.J.; funding acquisition: M.D.M., M.C.T., and J.L.J. All authors read and approved the final manuscript.
Corresponding author
Ethics declarations
Competing interests
M.D.M., A.R., L.M., C.V., V.D.L. and M.C.T. report equity holdings in Fibrosys, an academic spin-off from the University of Salerno. J.L.J. has received research grants from Abbott Diagnostics, Applied Therapeutics, AstraZeneca, HeartFlow, and Novartis; he has received consulting fees/honorarium from Abbott, AstraZeneca, Beckman-Coulter, Boehringer-Ingelheim, Bristol-Myers, Intellia, Jana Care, Novartis, Pfizer, Merck, Roche Diagnostics and Siemens; He participates on data safety monitoring boards or endpoint committees for Abbott, Abbvie, Bayer, CVRx, Pfizer, Roche Diagnostics and Takeda and reports equity holdings in Fibrosys, Imbria Pharmaceuticals and Jana Care. The rest of the authors have nothing to disclose.
Additional information
Publisher’s note Springer Nature remains neutral with regard to jurisdictional claims in published maps and institutional affiliations.
Supplementary information
Rights and permissions
Open Access This article is licensed under a Creative Commons Attribution-NonCommercial-NoDerivatives 4.0 International License, which permits any non-commercial use, sharing, distribution and reproduction in any medium or format, as long as you give appropriate credit to the original author(s) and the source, provide a link to the Creative Commons licence, and indicate if you modified the licensed material. You do not have permission under this licence to share adapted material derived from this article or parts of it. The images or other third party material in this article are included in the article’s Creative Commons licence, unless indicated otherwise in a credit line to the material. If material is not included in the article’s Creative Commons licence and your intended use is not permitted by statutory regulation or exceeds the permitted use, you will need to obtain permission directly from the copyright holder. To view a copy of this licence, visit http://creativecommons.org/licenses/by-nc-nd/4.0/.
About this article
Cite this article
De Marco, M., Basile, A., Rosati, A. et al. BAG3 concentrations and heart failure events among individuals undergoing coronary and peripheral angiography. npj Cardiovasc Health 2, 54 (2025). https://doi.org/10.1038/s44325-025-00092-4
Received:
Accepted:
Published:
Version of record:
DOI: https://doi.org/10.1038/s44325-025-00092-4

