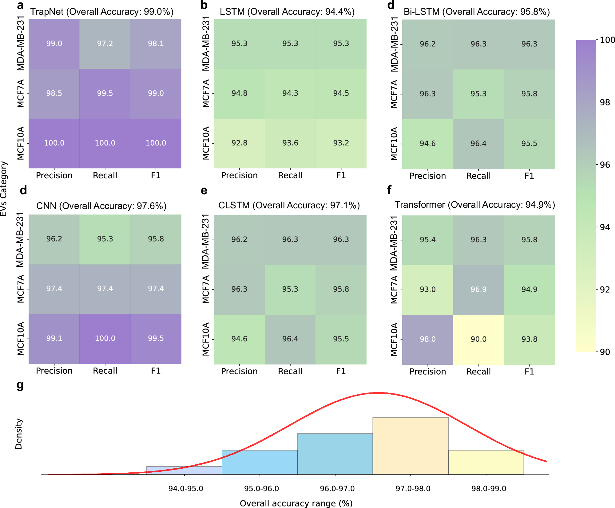
Fig. 4: Performance metrics (precision, recall, F1, and overall accuracy) for different models.

a TrapNet, b LSTM, c Bi-LSTM, d CNN, e CLSTM, and f Transformer. Color intensity reflects metric values; darker shades indicate better performance. g Gaussian fit of overall accuracy across 20 runs with different random seeds, showing model consistency and reliability.