Fig. 4
From: Two-sided dynamics in duopolistic ridesourcing markets with private and pooled rides

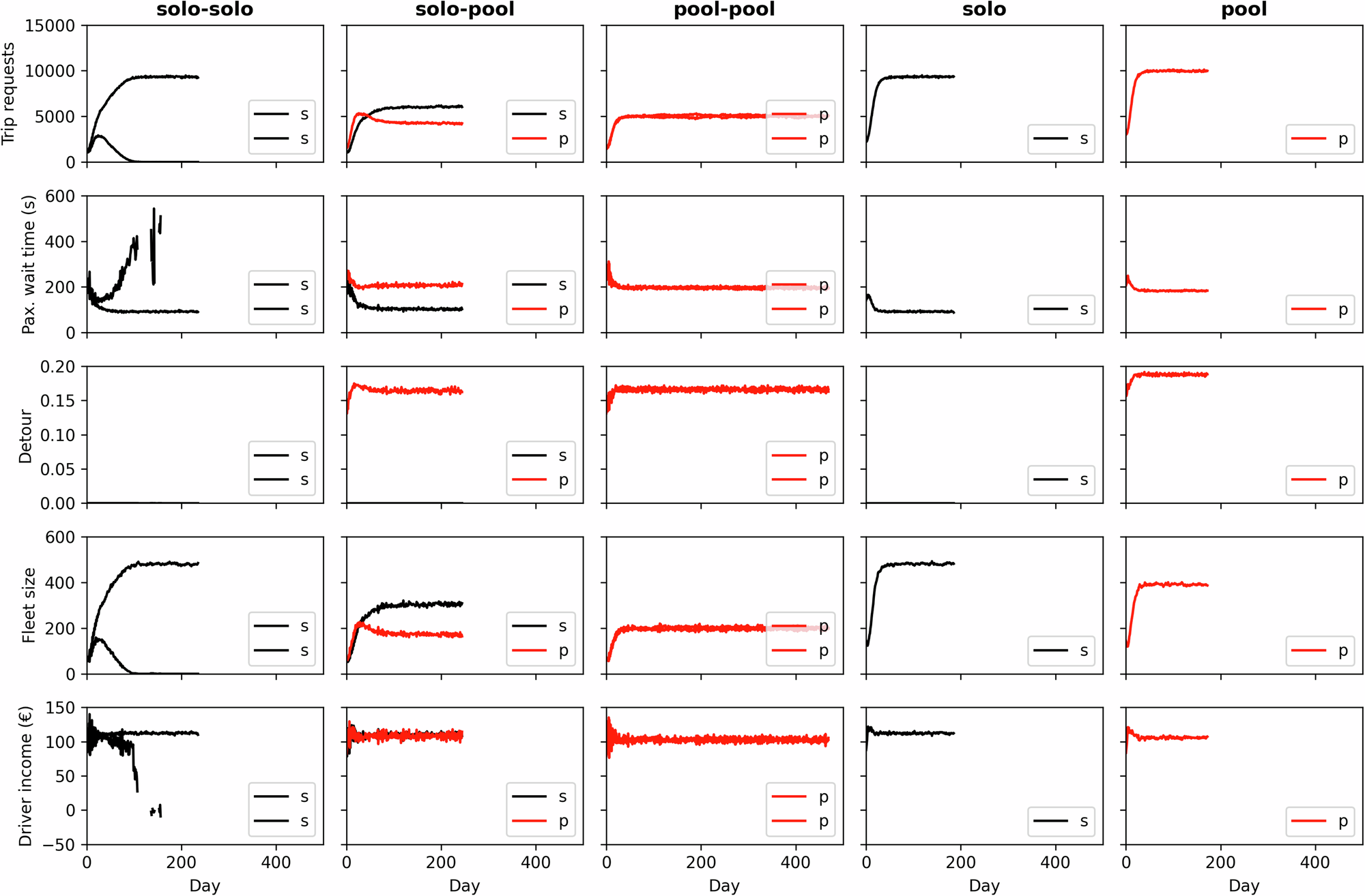
Evolution of five key ridesourcing market indicators based on a single replication of the experiment for each of the market types: demand for ridesourcing, the average time from requesting a trip to being picked up by a driver, the average ride-pooling detour time relative to travellers’ average shortest-path travel time, ridesourcing fleet size, and the average income of a ridesourcing driver per day. A market with one initial service provider converges to equilibrium within 200 days, whereas markets with two initial providers take more time to converge. Specifically, when both providers offer ride-pooling, convergence takes the longest — nearly 400 days. While this figure shows the evolution of performance indicators for only one replication of each scenario, we observe similar patterns in other replications, even though the speed of convergence varies. Figure 5 illustrates the evolution of the ridesourcing market across different replications of the solo-solo market scenario.