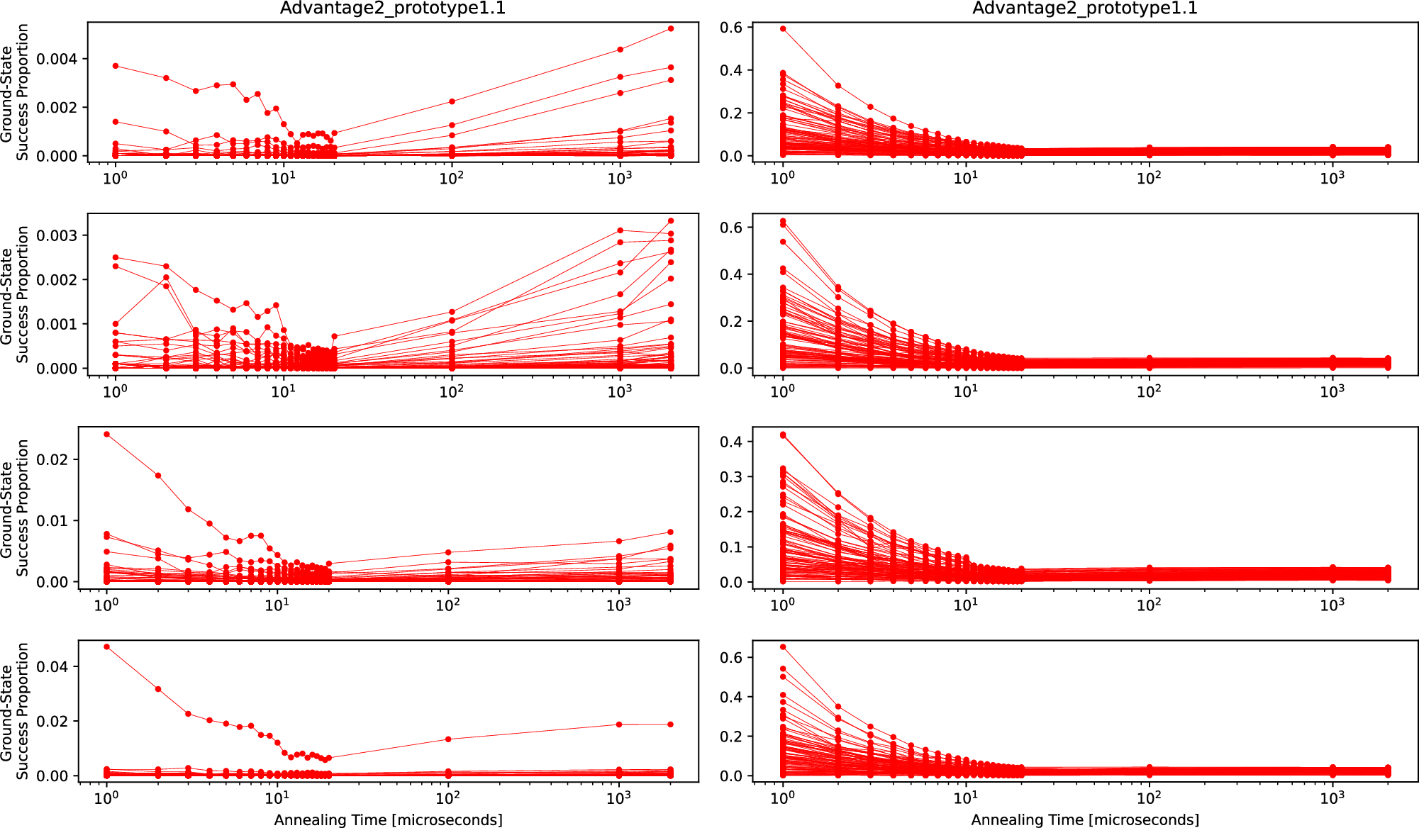
Fig. 4: Advantage2_prototype1.1 results, where each subfigure shows the optimal solution sampling rate out of the number of anneals used, for 100 different random QUBO instances, as a function of log-scale annealing time.

Posiform QUBO scaling coefficient is 0.01. lin2 QUBO instances are shown in the left-hand side column and lin20 QUBO instances are shown in the right-hand side column. Rows show results for QUBOs constructed with maximum random glued QUBO sizes of, in order from top to bottom, 36, 71, 141, and 282 variables.