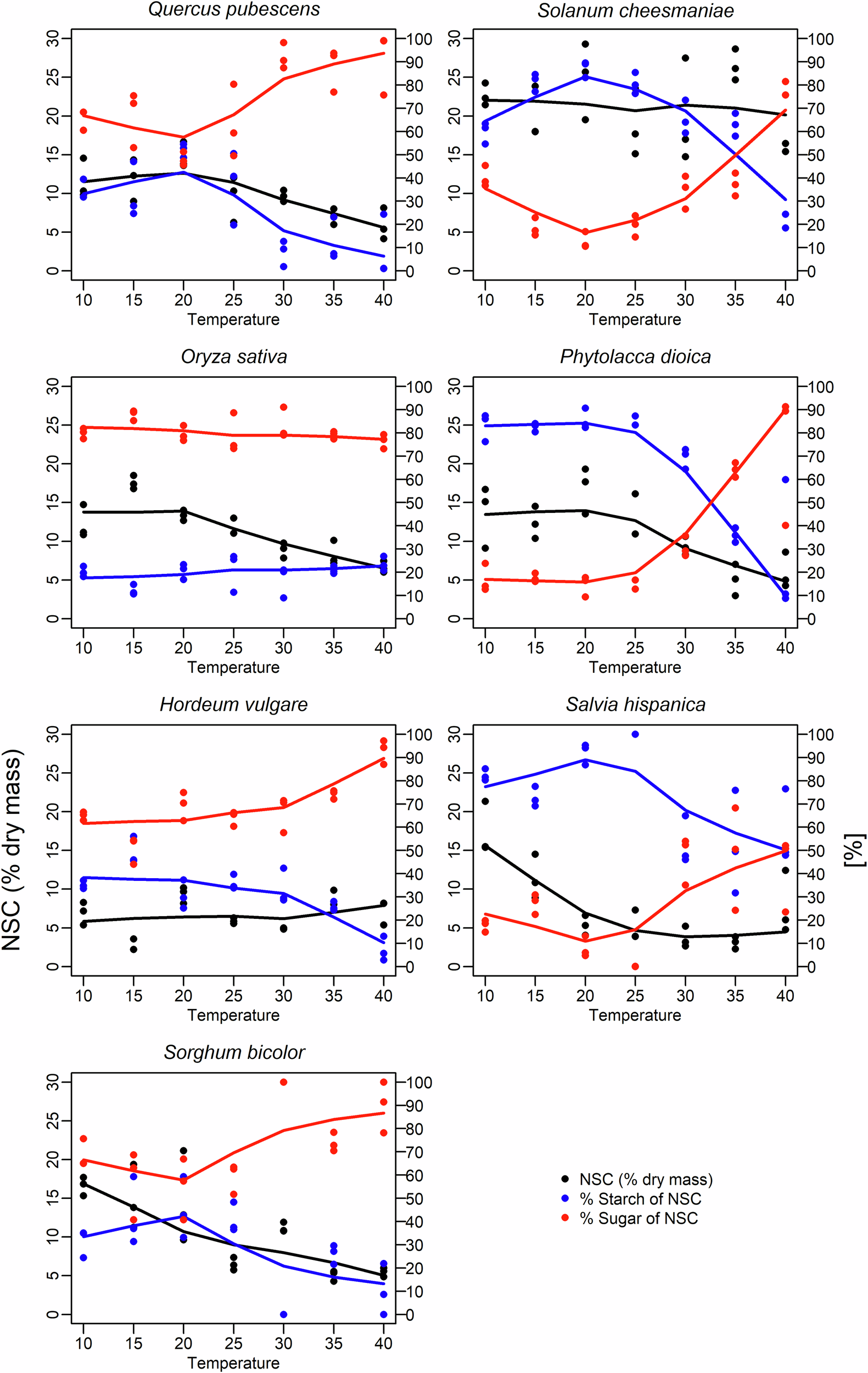
Fig. 2: Temperature response of non-structural carbohydrates in leaves.

Runing mean of species-specific temperature response of the total content of non-structural carbohydrates (NSC in % of leaf dry mass, black, left y-axis), and the percentage of the leaf NSC pools consisting of either starch (% Starch, blue, right y-axis) or sugar (% Sugar, red). Each variable is smoothed using lowess (locally weighted scatterplot smoothing) to show trends across the temperature range.