Abstract
Predicting vegetation responses to global warming and reconstructing them from stable isotope records requires a clear understanding of how they respond to temperature. We investigated leaf carbon-dynamics (gas exchange, non-structural carbohydrate (NSC)) and the hydrogen (δ²H) and oxygen (δ¹⁸O) isotopic composition of leaf water and sugars in well-watered C₃ trees, forbs, grasses, and one C₄ grass across air temperatures from 10 °C to 40 °C at a low VPD. In C₃ species, temperatures ≥30 °C reduced Anet, increased Rdark, and shifted NSC composition from starch to sugars. Concurrently, apparent δ²H and δ¹⁸O fractionation between leaf water and sugars decreased. δ²H and δ¹⁸O in C₃ plants can be modeled from leaf water isotope composition when accounting for temperature-driven changes in gas exchange and NSC dynamics. These findings reveal heat-induced shifts in carbohydrate metabolism leave distinct isotope signatures, providing a mechanistic basis for improved isotope models to study current and past tree carbon dynamics.
Similar content being viewed by others
Introduction
Temperature is a key driver of leaf physiological responses in plants. However, under natural conditions, its effects are often confounded by vapor pressure deficit, and technical challenges make it difficult to isolate the impact of temperature, particularly at extreme levels (e.g., >30 °C). As a result, how specific temperature impacts leaf level carbon dynamics (i.e., photosynthesis, respiration, carbohydrate metabolism) and the resulting isotope patterns remain not fully understood. Here we aimed to isoloate the temperature effect (10 to 40 °C in 5 °C steps) for a wide range of species from different plant functional types (i.e., trees, grasses, forbs) to improve the mechanistic understanding on the dynamics of leaf physiology and its impact on hydrogen (δ2H) and oxygen (δ18O) isotope pattern in plant carbohydrates.
The analysis of stable isotope ratios is a widely applied tool to reconstruct past and study current responses of plants to various environmental drivers1,2,3. While traditional mechanistic models to predict δ2H and δ18O in tree ring cellulose4 indeed separate photosynthetic (εA, i.e., autotrophic) and post-photosynthetic εH, i.e., heterotrophic) fractionation processes, they have traditionally been considered to be constant within and among species and in response to environmental drivers2,5. However, recent research has shown that the fractionation of oxygen and especially hydrogen isotopes being highly variabile among different photosynthetic types (i.e., C3, C4, CAM), with up to 20‰ in δ18O and more than 200‰ in δ2H6,7. The observed high variability in δ2H mostly derives from the large variability within C3 species8,9. Furthermore, the 2H fractionation is strongly responding to environmental drivers10,11,12, but even δ18O is known to have a distinct temperature response13. Deriving from the available source water, primary assimilates such as sucrose form the base of the isotopic composition of cellulose of leaves14 and twig xylem4,8. Therefore, to fully understand the observed δ2H and δ18O in tree-ring cellulose, it is crucial to understand how the observed apparent autotrophic 2H and 18O fractionations are responding to environmental drivers. It has been shown that the temperature effect of δ18O in tree-ring cellulose is closely correlated to the vapor pressure deficit (VPD) of the air15, however, to our knowledge, no study isolated the pure temperature effect on the authotrophic 18O fractionation from leaf water to leaf sugar. The fractionation of 2H and 18O during NSC synthesis and metabolism is influenced by drivers such as temperature13, and different biochemical reactions7,16,17. Recent studies suggest that particular the hydrogen isotope composition of plant carbohydrates strongly responds to changes in leaf gas exchange and NSC pools10, and are connected to leaf dark respiration (Rdark)14. Other recent studies show the possible link between a negative plant carbon balance and a 2H enrichment in plant organic matter18, and a decoupling between δ2H and δ18O in tree-ring cellulose delivered important information whether the carbon balance of a tree is out of balance11,12. However, these studies fall short of providing enough physiologically relevant measurements with high resolution under changing environmental conditions to investigate how leaf gas exchange and carbohydrate metabolism are integrated into the stable isotope pattern of plant carbohydrates. Therefore, there is still a lack of comprehensive studies directly connecting the temperature response of plant physiological processes, carbohydrate metabolism, and the fractionation of 2H and 18O in leaf sugar. To overcome this limitation, we investigate and link the temperature responses of leaf internal carbon dynamics with the apparent photosynthetic 2H and 18O isotope fractionation.
Photoautotrophic CO2 fixation, one key process in the global carbon cycle and the primary process that provides the carbohydrates needed for plant growth and productivity, is highly dependent on several environmental factors, of which temperature is one of the most important19. The optimum temperature for the net CO2 assimilation (Anet) varies between plant species, typically ranging from 20–30 °C, usually align with the prevailing growth temperatures in their environment20, and can be stable until 46 °C in plant species adapted to heat21. Above the optimum temperature, Anet decreases due to several processes, including damage to the photosynthetic machinery22,23,24. Post-photosynthetic metabolic processes such as mitochondrial respiration provide energy for growth and maintenance, and are thus essential for plant reproduction and survival. Respiratory processes continue to increase until much higher temperatures than photosynthesis25 due to increased enzyme activity26 and maintenance costs27. This can lead to a decrease in energy efficiency if maintenance costs become too high, thereby reducing the plant’s ability to produce a surplus of carbohydrates for growth and storage28.
Since Anet and respiration are temperature-dependent, by extension plant non-structural carbohydrate (NSC, i.e., sugar, starch) dynamics are also temperature-dependent29,30,31. Assessing the effects of rising temperatures on plant metabolism can be challenging because temperature changes are often associated with concomitant changes in vapor pressure deficit (VPD)32,33, which can impact plant physiology and biochemistry in complex ways34,35. For instance, high VPD can lead to a reduction in stomatal conductance (gs) and therefore CO2 uptake36, affecting Anet37 and, ultimately, plant metabolism and growth38. However, experiments aiming to isolate temperature from VPD effects on leaf gas exchange and NSC metabolism at plant physiologically relevant temperature ranges are still rare due to technical challenges33,39,40.
To isolate the effects of rising temperature under constant VPD on plant metabolism, we conducted a climate chamber experiment where we grew six C3 (including two trees, Quercus pubescens Willd. and Phytolacca dioica L.; two grasses, Hordeum vulgare L. and Oryza sativa L.; and two forbs, Salvia hispanica L. and Solanum cheesmaniae (Riley) Fosburg) and one C4 (Sorghum bicolor (L.) Moench) plant species. As shown by Schuler et al.7, C4 plants, unlike C3 plants, did not show a temperature response in their δ2H of leaf sugar and leaf cellulose, and was therefore used as a control. This selection includes one temperate and one subtropical tree species and five agriculturally important crops from different geographical and climatic zones. Similar to Wieloch et al.17, we reduced the old NSC pool between each temperature cycle by keeping the plants in the dark at 20 °C for 48 h. This reduction of old NSC was used to ensure that the measured δ2H and δ18O in sugars corresponded to the physiological conditions of the plants at each specific temperature. We exposed the plants to a constant daytime temperature for five days for 18 h each, starting at 10 °C and subsequently increasing to 40 °C in 5 °C steps. This allowed the plants to acclimate photosynthesis and respiration41 to each tested temperature. Water supply (kept at field capacity), light (PAR = 800 µmol m−2 s−1 during the daytime hours), and VPD (1 kPa, through regulation of relative humidity) were kept constant. On the fourth day, we sampled leaves for non-structural carbohydrates (NSC) and stable isotope (δ18O and δ2H of leaf sugars and water) analyses. On the fifth day, we measured leaf gas exchange (Anet, Rdark, gs) and chlorophyll fluorescence. The gained knowledge will help to better understand the measured oxygen and hydrogen isotope fractionations in plant carbohydrates and to eventually update current isotope models4.
Results
Temperature response of the leaf gas exchange and the electron transport rate in PSII
Leaf physiology responded strongly to the temperature treatment from 10 to 40 °C (Fig. 1, Supplementary Tables 1 and 2). Anet (Fig. 1a) of the C3 species, except Salvia hispanica, reached its maximum between 25 and 30 °C, followed by a steady decline with further temperature increase. On the other hand, Anet of the C3 plant S. hispanica and the C4 plant Sorghum bicolor increased until 30 °C and remained largely stable until 40 °C. Leaf dark respiration (Rdark, Fig. 1b) increased strongest in Solanum cheesmaniae with increasing temperature, while Rdark of P. dioica was in general higher between 15 and 35 °C compared to the other species, which exhibited similar and modest increases with rising temperatures. Gross photosynthesis (P, Anet + Rdark, Fig. 1c) increased with increasing temperature in all species but decreased strongly only in Phytolacca dioica above 30 °C. Stomatal conductance (gs, Fig. 1d), while being highly variable among all tested species, as well as its response to increasing temperatures, generally increased with higher temperatures. While S. hispanica and S. bicolor maintained a stable electron transport rate (ETR, Fig. 1e) above 25 °C, ETR of the other C3 species showed a strong decrease above 30 °C (ETR measurements of C4 species does not give reliable results with the used method). Anet was significantly related to gs in five of the seven species (Fig. 1f), but since gs kept increasing after Anet reached its optimum, their relationship decoupled or reversed (i.e., became negative) at high temperatures40.
Species-specific temperature response of a the net assimilation rate (Anet), b dark respiration rates (Rdark), c gross photosynthesis (P, i.e., Anet + Rdark), d stomatal conductance (gs), e electron transport rates (ETR), and f the relationship between Anet and gs. Colors indicate species, the quadratic models depicting the relationship are shown only for species with a significant temperature response (p ≤ 0.05), and the light shading denotes the 95% confidence level interval for predictions of the quadratic fit.
Changes in non-structural carbohydrate concentration and composition in response to rising temperatures
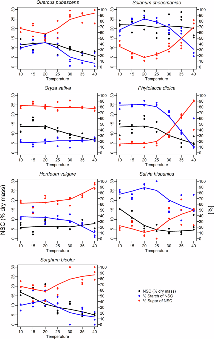
The concentration and composition of leaf NSC responded significantly to temperature (Fig. 2, Supplementary Tables 3 and 4). Across all species, the total NSC concentration was significantly higher at lower temperatures (10–15 °C) compared to higher temperatures (35–40 °C) (Mann–Whitney U test p < 0.001), with an average of 13.72% of the leaf dry mass at lower temperatures vs. 7.84% at higher temperatures. Similarly, the percentage of starch that contributes to the total leaf NSC pool was significantly higher at lower temperatures (51.44%) than at higher temperatures (21.96%) (Mann-Whitney U test p < 0.001). Two groups can be identified based on their NSC storage strategy: One group consisting of the temperate tree and the grass species (Fig. 2 left panels; Quercus pubescens, Oryza sativa, Hordeum vulgare, and S. bicolor) always stored most of their total NSC pool as sugar. In contrast, the subtropical tree and forbs (Fig. 2, right panels; S. cheesmaniae, P. dioica, and S. hispanica) stored most of the total leaf NSC as starch at moderate temperatures. Lastly, O. sativa was the only species with no significant change in its NSC composition, with 80% of the leaf NSC stored as sugar at all temperatures.
Runing mean of species-specific temperature response of the total content of non-structural carbohydrates (NSC in % of leaf dry mass, black, left y-axis), and the percentage of the leaf NSC pools consisting of either starch (% Starch, blue, right y-axis) or sugar (% Sugar, red). Each variable is smoothed using lowess (locally weighted scatterplot smoothing) to show trends across the temperature range.
The dual isotope response to rising temperature
Across all species, the two measured isotope ratios (δ18O and δ2H) showed distinct responses to the increasing temperature (Fig. 3, Supplementary Figs. 2, 3, Supplementary Table 5). While the observed temperature effect on Δ2H of leaf water (Δ values are normalized to the initial average value for each species at 10 °C) was significant but small (R2 = 0.114, p < 0.01), higher temperature led to a non-linear increase in Δ2H of leaf sugar (R2 = 0.423, p < 0.001), which was caused by the temperature response of the biological 2H fractionation εHA (R2 = 0.484, p < 0.001). In contrast, Δ18O of the leaf sugar decreased linearly with increasing temperature (R2 = 0.74, p < 0.001), reflecting a combination of the linear decreases in leaf water Δ18O and εOA (R2 = 0.446, p < 0.001 and R2 = 0.234, p < 0.001, respectively), leading to an overall decrease of εOA by 0.11‰ per 1 °C temperature increase. We found a positive relationship (covariation) between Δ18O and Δ2H in leaf water within and across all tested temperatures (Supplementary Fig. 4). However, in leaf sugar, we only found a significant and positive relationship between Δ18O and Δ2H at 25 and 30 °C, while the overall relationship across all temperatures was negative (Supplementary Fig. 4).
The isotope response to temperature of Δ2H and Δ18O in leaf water and leaf sugar, and εHA and εOA, the apparent 2H and 18O fractionation between leaf water and leaf sugar. Values are given as Δ; e.g., normalized to average δ values measured at 10 °C individually for each species. The lines represent the quadratic (2H) respectively the linear model (18O) depicting the relationship between temperature and Δ and ε values, the lighter shading denotes the 95% confidence level interval for predictions of the quadratic and linear fit, R2, and p values as well as the corresponding functions for the temperature response (i.e., ‰ at a given temperature) values inform on the temperature relationship of the variables.
Exploring the drivers of leaf sugar δ2H and δ18O by using generalized additive models (GAM)
The 34 GAM evaluated for δ2H (Supplementary Table 6) and 19 GAM evaluated for δ18O (Supplementary Table 7) of δ2H and δ18O of leaf sugar (δ2HLS, δ18OLS) showed a wide range of explanatory power. For δ2H of leaf sugar (δ2HLS), the species-specific average apparent fractionation between leaf water and leaf sugar (εHA25), representing the baseline in all models, explained 58.8% of the variation (model 34: adj. R2 = 0.581, p < 0.001). The explanatory power of δ2H of leaf water (δ2HLW) for δ2HLS was only significant for two simple versions of the δ2HLS model (model 33: adj. R2 = 0.612, p < 0.01). However, as δ2HLW forms the basis of the isotopic composition of δ2HLS, it is expected to have a significant and consistent effect over larger geographic or temporal scales when the δ2H value of the source water differs considerably. Thus, the δ2HLW was not removed in the more complex models, although its contribution was not significant in this study, it will be necessary to integrate δ2H of the source water into the model to predict leaf sugar δ2H. Assimilation (Anet) and dark respiration (Rdark) were found to have a significant impact on the explanatory power of the models (model 32: adj. R2 = 0.631, p < 0.001, and model 29: adj. R2 = 0.657, p < 0.001, respectively), and an even greater impact when considered in interaction with each other (model 23: adj. R2 = 0.722, p < 0.001). Including the NSC concentration (% dry mass; model 31: adj. R2 = 0.655, p < 0.001) as well as the percentage starch contributes to the total NSC pool (% of NSC; model 22: adj. R2 = 0.726, p < 0.001) also significantly contributed to the model performance. The best model combined the interactive terms of temperature with Rdark (<0.01), temperature with Anet (<0.001), and the interaction between the NSC concentration and the percentage starch contributes to the total NSC pool (<0.001) and explained 90.7% of the variation (model 1: adj. R2 = 0.884).
Plotting the modeled data of model 1 against the measured δ2HLS (Fig. 4a) further confirmed the largely good reproducibility of the measured data (R = 0.95, p < 0.001, R2 = 0.91, m = 0.9). Furthermore, the model slightly overestimates the lowest and underestimates the highest δ2HLS. However, the model can reproduce the observed δ2HLS temperature response well (Fig. 4b; RMSE = 10.13, Mean Absolute Error (MAE) = 8.12).
Comparison and evaluations of the modeled vs. the measured δ2HLS (a, c) and δ18OLS (b, d), using the newly developed generalized additive model (GAM). a, b Scatter plots of the measured vs. the modeled δ2HLS and δ18OLS, respectively. The linear regression line (violet) with the 95% confidence intervals (shaded in pink), illustrates the relationship between measured and modeled values, as well as their R, R2, and p-values. The dashed 1:1 line is a reference to assess model performance visually. c, d Temperature response of the modeled (dashed line) and measured (straight line) δ²HLS and δ18OLS, respectively, including significance analysis between the predicted and observed temperature response (i.e., n.s. when the precited temperature response did not significantly differ from observed response).
δ18OLW was the baseline for the 19 evaluated GAM for δ18OLS (Supplementary Table 7) and explained 64.3% of the observed variation (adj. R2 = 0.634, p < 0.001). Again, the best model (adj. R2 = 0.876, variation explained = 89.2%, GCV = 1.81, Train RMSE = 1.2, Test RMSE = 1.2, AIC = 411, BIC = 469) included the interaction of temperature and Rdark (p ≤ 0.05), temperature and Anet (p < 0.001), and the interaction between the NSC concentration and the percentage starch contributes to the total NSC pool (<0.001).
The relationships of εHA and εOA with the carbon metabolism
The apparent autotrophic 2H fractionation εHA was positively related to Rdark in 5 of 7 species (not in P. dioica and S. bicolor, Supplementary Fig. 5) and positively related in all C3 but not the C4 (S. bicolor) species with the percentage Rdark contributed to P (i.e., Rdark + AnetRdark−1; Supplementary Fig. 6). Furthermore, εHA was positively related to the NSC partitioning into sugar and starch, as expressed in the % that sugar contributes to the total leaf NSC pool (Supplementary Fig. 7), in 5 of the 7 species (not in O. sativa and the C4 species S. bicolor). The observed relationships strongly vary between the different species, with R2 ranging, when significant, from 0.37 to 0.86 with Rdark, from 0.22 to 0.70 with the percentage Rdark contributed to P, and from 0.22 to 0.81 with the % that sugar contributes to the total leaf NSC pool (Supplementary Figs. 5–7).
εOA was negatively related to Rdark in 4 of 7 species (not in Q. pubescens, S. hispanica, and S. bicolor, Supplementary Fig. 8) and negatively related in 3 of 7 species (not in O. sativa, Q. pubescens, S. hispanica, and S. bicolor) with the percentage Rdark contributed to P (Supplementary Fig. 9. Lastly, εOA was negatively related to the NSC partitioning into sugar and starch (Supplementary Fig. 10) in 3 of the 7 species (H. vulgare, P. dioica, and S. cheesmaniae), and positively related in Q. pubescens. As in εHA, the observed relationships strongly vary between the different species, with R2 ranging, when significant, from 0.37 to 0.72 with Rdark, from 0.30 to 0.59 with the percentage Rdark contributed to P, and from 0.25 to 0.62 with the % that sugar contributes to the total leaf NSC pool (Supplementary Figs. 8, 9 and 10).
Discussion
Mortality during heatwaves is strongly driven by drought-induced hydraulic failure (Rowland et al.55; Kono et al.56). However, even without soil or atmospheric drought, elevated temperatures may lead to significant shifts and perturbations in carbohydrate dynamics, as shown in this study (Fig. 2, Supplementary Tables 3 and 4). As a result, plants may become in the long-term more susceptible to other stressors such as drought, pests and diseases. Anet of C3 plants decreased at temperatures above 30 °C (Fig. 1, Supplementary Table 1) due to a combination increased respiration, a reduced photosystem II functionality, as indicated by increasing NPQ and decreasing ETR and ΦPSII (Supplementary Fig. 1, Supplementary Table 2), and increasing photorespiration (Keys et al.57). The strongly increased respiration (Fig. 1) at high temperatures is needed to support higher metabolic rates (Criddle et al.25), thus requiring plants to have more of their carbohydrate pool directly available (Scafaro et al.58). This was reflected by a shift towards a higher share of leaf sugars in the total leaf NSC pool with increasing temperature (Fig. 2, Supplementary Tables 3 and 4). Furthermore, these changes in assimilation, respiration, and leaf-level carbohydrate dynamics significantly impacted δ18OLS, εOA, δ2HLS, and εHA.
While some studies found no changes in NSC concentration and composition in response to temperature only at temperatures bellow 20 °C42,43,44 and a recent review comparing NSC temperature response across biomes45, we found that high temperatures above 30 °C alone can significantly impact NSC concentration and composition. Therefore, further research should investigate the long-term response of plants to prolonged exposure to temperatures above 30 °C. If plants cannot adjust their respiration rates to chronically high temperatures above a certain, likely species-specific threshold, they might ultimately face carbon starvation if the imbalance between assimilation and respiration rates persists for too long. If the observed increase in leaf sugar δ2H, potentially accompanied by a simultaneous decrease in δ18O, is translated into the isotopic signature of tree-ring cellulose, this could be used as a new isotope proxy to identify trees with an unfavorable carbon balance, which would be in agreement with recent studies on the subject11,12. For instance, this could be used to identify trees that have shifted out of their climatic niche due to climate change. Thus, additional studies to investigate the here observed leaf-level temperature-induced carbohydrate depletion on a whole plant level could contribute to the understanding of the high-temperature response of plants.
The close positive relationship between δ18OLW and δ18OLS (Fig. 3), explaining explained 64.3% of the observed variation alone in the tested GAM models (Supplementary Table 7), aligns well with the findings of previous studies (Yakir and DeNiro59; Roden et al.4; Zech et al.60). However, we can further demonstrate that the δ18OLS and εOA are temperature-dependent in C3 plants (Supplementary Fig. 3), with a smaller εOA at high temperatures for all except Q. pubescens and S. bicolor (Supplementary Fig. 3, Supplementary Table 5). A similar temperature response has been demonstrated for cellulose oxygen isotope ratios of aquatic plants (Sternberg and Ellsworth13). Our results show that the temperature dependence of εOA for leaf sugar, while small in comparison to εHA, must be considered to correctly understand and interpret δ18O in plant organic matter, the overall temperature effect on εOA is −0.11‰ °C−1 (Fig. 3).
In contrast, the temperature response of εHA and δ2HLS are non-linear and not driven by changes in leaf water (Fig. 3, Supplementary Fig. 2, Supplementary Table S6), indicating the interplay of different biochemical processes responsible for the apparent photosynthetic 2H fractionation. While CO2 fixation produces sugar highly depleted in 2H (Zhang et al.61), higher respiration rates have been found to be related to higher δ2HLS (Holloway-Phillips et al.62; Lehmann et al.10). As the isotopic composition of sucrose derived from transitory starch is the same as that of sucrose synthesized during the day46, it is unlikely that sugar:starch partitioning during the daytime is responsible for the observed changes in the leaf sugar isotopic composition. An explanation for this process could be a preferential usage of glyceraldehyde 3-phosphate (GAP) or sugar with 1H instead of 2H for respiration, similar to the equilibrium tritium isotope effect that has been observed between glucose and hexokinase (Lewis and Schramm63), the first enzyme involved in glycolysis. However, other enzymatic reactions, such as glucose-6-phosphate dehydrogenase47 or phosphoglucose isomerase17,48, among others, could be responsible for the observed respiratory 2H enrichment in leaf sugar. The observed 2H enrichment in tree-ring cellulose during a reduced or negative carbon balance of trees in response to defoliation or a reduced water access11,12,49 supports the findings of this study, where an increase in δ2H in carbohydrates is related to a reduced or overall negative C balance. However, also other reactions such as sugar derived from the photorespiratory pathway might influence the observed 2H enrichment50,51.
In Fig. 5, we summarize the suggested main links between a leaf-level carbon dynamic with the 18O and 2H fractionation: (1) The initial photosynthetic 18O fractionation εOA from H2O to leaf sugar leads to an 18O-enriched leaf sugar, without species-specific differences. This photosynthetic 18O enrichment is likely reduced under elevated temperatures. (2) Increased isotopic exchange reactions between leaf sugar and leaf water under elevated metabolic rates further alter the initial leaf sugar δ18O, leading to leaf sugar less 18O enriched and therefore (3) alter the apparent autotrophic 18O fractionation, εOA*. (4) The strong photosynthetic 2H fractionation εHA from H2O to leaf sugar leads to a strong 2H depletion compared to the leaf water, with a large amplitude between species, which must be already present in glyceraldehyde 3-phosphate (G3P). During daytime respiration (R), (5) isotopically lighter G3P might be preferably used as a substrate, (6a) leading to a 2H enriched leaf sugar which is synthetized from the remaining 2H enriched G3P pool, leading therefore an altered apparent autotrophic 2H fractionation, εHA*. However, (6b) glycolysis might further contribute to a further 2H enrichment in the remaining sugar pool, especially in times of high respiratory demand. (7) This “processed” leaf sugar is eventually exported to the long-term sinks, where its isotopic signature, after being further altered during the transport and in the sink tissues by various processes, influences the δ18O and δ2H of the tree-ring cellulose.
In conclusion, we can demonstrate that air temperatures above 30 °C substantially alter the leaf-level carbon (i.e., Anet and Rdark) and carbohydrate dynamics C3 plants. This was associated with a reduction in the total NSC pool size and a higher proportion of the carbohydrates being stored as directly metabolically available sugars and less as starch reserves. This was reflected in increased δ2H and a decreased δ18O in leaf sugar. The C4 plant maintained low respiration and high assimilation rates even at temperatures above 35 °C, thus, no temperature response of leaf sugar δ2H was observed. Finally, by using the collected data on gas exchange and NSC concentrationin generalized additive models, we were able to precisely reconstruct the measured O and H isotopic composition of the leaf sugar, and therefore confirm the close relationship between plant carbohydrate metabolism and stable isotope fractionation beyond source water effects, especially for δ2H in leaf sugar. We speculate that the increased respiration rate likely caused a 2H enrichment in the remaining sugar pool, leading to a reduced apparent autotrophic 2H fractionation (εHA) from leaf water to leaf sugar when temperatures increased, with leaf water having no impact on εHA. Furthermore, since the partitioning between sugar and starch changed in S. bicolor with rising temperatures but εHA did not, while the partitioning in O. sativa did not change but εHA did, we assume that the partitioning process is likely not involved in the observed changes in εHA. This is supported by the finding that the δ2H of sugar deriving from transitory starch during the nighttime does not differ from the δ2H of sugar derifing from G3P during the daytime46. However, the metabolic changes for the observed respiratory 2H enrichment of the leaf sugar, at least in some species, coincide with changes in the NSC partitioning. On the other hand, the observed relative depletion of leaf sugar δ18O with increasing temperatures was caused by a combination of a decreasing leaf water δ18O and a reduced apparent 18O fractionation (εOA) from leaf water to leaf sugar. Therefore, increasing oxygen isotopic exchange reactions between leaf water and leaf sugar are likely the main driver behind leaf sugar δ18O.
Position-specific δ2H analysis of sucrose17,47 and other metabolites will be needed to identify the exact biochemical reactions for the observed respiratory 2H enrichment and 18O depletion with increasing temperatures in leaf sugar, and how they are later transferred into the tree-ring archive.
Methods
Experimental design and plant growing conditions
To isolate the effects of rising temperature under a constant VPD on leaf physiology, metabolism, and the corresponding triple isotope fractionation, we established a specific experimental and sampling design. We selected six C3 and one C4 plant species, with different biochemical and anatomical features as well as temperature adaptations. For the C3 species, we selected two trees, Quercus pubescens WILLD. and Phytolacca dioica L.; two grasses, Hordeum vulgare L. and Oryza sativa L.; and two forbs, Salvia hispanica L. and Solanum cheesmaniae (RILEY) FOSBURG. For the C4 plant, we selected the grass Sorghum bicolor (L.) MOENCH. With this species selection, we aimed to make the results of this study relevant to a broad field of plant sciences, including plant ecophysiology, forestry and forest ecology, as well as agriculture. Starting in November 2021, we grew replicates of plants (n = 3 for Quercus pubescens, Phytolacca dioica, Solanum cheesmaniae, Sorghum bicolor, n = 50 for Hordeum vulgare and Oryza sativa) for 2 to 3 months in a climate chamber (Plant Growth Chamber PGR15, Controlled Environments Limited (CONVIRON), Winnipeg, Manitoba, Canada) at the Swiss Federal Institute for Forest, Snow, and Landscape Research WSL, at a temperature of 25 °C, a VPD of 1 kPa, and with a photosynthetic active radiation (PAR) of 800 µmol of photons m−2 s−1 for 18 h a day, followed by 6 h of nighttime in complete darkness at a temperature of 20 °C. The low VPD was chosen to avoid plant stress due to VPD while changing temperature and to ensure saturated intercellular airspaces in the leaves during gas exchange measurements (Diao et al.64). After the initial growth period, the actual treatment period of seven weeks started. To reduce the pool of old leaf NSC between each of the seven temperature cycles, plants were kept in the dark at 20 °C for 48 h, similar to (Wieloch et al.17). This depletion of old NSC was used to obtain an unadulterated stable isotope (2H, 18O) signal, reflecting the plant physiological conditions at the respective temperature, and thus avoiding autocorrelation. During the start of each week, we exposed the plants for 5 days to 18 h of a constant daytime temperature, starting at 10 °C and subsequently increasing to 40 °C in 5 °C steps every week (Fig. 1a). This allowed the plants to acclimate to each of the studied temperatures. The nighttime temperature for the daytime 10, 15, and 20 °C treatments was the same as the daytime temperature and a VPD of 1 kPa to avoid chilling damage. Nighttime temperatures for 25, 30, 35, and 40 °C were all set to 20 °C and a VPD of 1 kPa to enable the plants to recover their photosynthetic machinery overnight. After four days of treatment, we sampled leaves for non-structural carbohydrates (NSC) and stable isotope analysis in the early afternoon. After 5 days, we conducted gas exchange and fluorescence measurements. The separation of leaf sampling and gas exchange measurements was done to avoid any influence of introduced unstable conditions during gas exchange measurements. At 40 °C, one of the three replicates of S. cheesmaniae and about two-thirds of the H. vulgare plants died.
Plant physiological measurements
After 5 days of exposure to each temperature, one leaf per plant was dark adapted by gently folding aluminum foil around it for at least 20 min. After that, dark respiration (Rdark) and dark-adapted fluorescence were measured using a Li-6800 (LI-COR Biosciences, Lincoln, NE, USA) at the same conditions (CO2, RH, and temperature) as present in the climate chamber but without light. After that, photosynthetic active radiation (PAR) of the LI-6800 was set to the value of the climate chamber (CO2, RH, and temperature still the same as in the climate chamber), and a light-adapted leaf of the same plant in close proximity was fixed into the measuring chamber. The leaf and the chamber were allowed to equilibrate for 15 to 20 min until gas exchange reached steady state before measuring Anet, stomatal conductance (gs), as well as light-adapted fluorescence. Gross photosynthesis (P) was calculated as the sum of Anet and Rdark. With the dark- and light-adapted fluorescence measurements, the LI-6800 automatically calculated the non-photochemical quenching (NPQ), the photosynthetic efficiency of photosystem II (Fv/Fm), the quantum yield of photosystem II (ΦPSII), and the electron transport rate of photosystem II (ETR). All measured values can be found in Supplementary Tables 1 and 2.
Sampling of leaf material
For each temperature step, three samples each consist of several light-exposed leaves were collected from each plant in the early afternoon using scissors. Leaf material was sampled in excess to make sure there was enough plant material and water (>2 mL of water for all samples) to avoid methodological bias during water extraction (Diao et al.65). The fully developed leaves were immediately transferred into individual gas-tight 12 ml glass vials (Prod. No. 738W, Exetainer, Labco, Lampeter, UK, stored on dry ice, and transferred in a −20 °C freezer until leaf water extraction.
Extraction of leaf water and sugars
Leaf water was cryogenically extracted using a hot water bath at 80 °C and liquid nitrogen following established protocols (West et al.52; Diao et al.65), and a schematic overview of the extraction unit can be found in Diao et al.65. In short, glass vials with the frozen leaf samples, which were blocked by PP fiber filters (Nozzle protection filter, Socorex Isba SA, Ecublens, Switzerland), were attached to the extraction unit. The sample vials were submerged in a water bath at 80 °C, while u-shaped glass sample collection tubes were submerged in liquid nitrogen to instantly trap arriving water vapor. The extraction procedure was conducted under vacuum (<0.02 mbar) for 2 h52,53. Afterwards, when the extraction was complete, the extraction line was filled with dry nitrogen gas to ambient pressure. The u-shaped glass sample collection tubes were then taken out of the extraction line and closed with rubber plugs. The thawed water samples were transferred to 2 mL glass vials (Infochroma AG, Goldau, Switzerland) with pipettes and stored in glass vials at −20 °C until isotope analysis.
After the water extraction, the dried leaf material was ground (MM400, Retsch, Haan, Germany), and the bulk leaf sugar fraction for isotope analysis was then extracted from 100 mg of leaf powder following established protocols (Rinne et al.66; Lehmann et al.67). First, the ground leaf material was mixed with deionized water in a 2 ml reaction vial and the water-soluble content was extracted at 85 °C for 30 min. Leaf sugars were then purified from the water-soluble content using ion exchange cartridges (OnGuard II A, H and P, Dionex, Thermo Fisher Scientific, Bremen, Germany). Finally, leaf sugar material was acquired by freeze-drying the purified sugar solutions.
δ2H and δ18O analyses of leaf water
The δ2H and δ18O of water (δ2HLW and δ18OLW) samples were measured with a high-temperature conversion elemental analyzer coupled to a DeltaPlus XP isotope ratio mass spectrometer (TC/EA-IRMS; Finnigan MAT, Bremen, Germany), and the isotope ratios are reported in per mille (‰) relative to Vienna Standard Mean Ocean Water (VSMOW). Calibration was done using a range of labortory standard waters with different δ2H and δ18O values (B2193, δ2H = −98.32‰, δ18O = −12.34‰; and Fiji Artesian Water, δ2H = −42.85‰, δ18O = −6.41‰), respectively, resulting in a precision of 2‰ for δ2H and 0.3‰ for δ18O. All the obtained values can be found in Supplementary Table 5.
δ2H and δ18O analyses of sugars using a hot water vapor equilibration method
The here used procedure originates mainly from the description in Schuler et al.8. δ2H of sugars were analyzed according to the previously developed hot water vapor equilibration method (Schuler et al.68). Subsequently, as described by Schuler et al.8, dry sugar samples were dissolved in water, with a target concentration of 1 mg sugar per 20 µL water. Two identical sets of each sugar sample, with 1 mg sample material each, were prepared by pipetting 20 µL sugar solution into pre-weighed 5 × 9 mm silver foil capsules (Prod. No. SA76981106, Säntis, Switzerland). Sugar samples for δ18O measurements were prepared by transferring 20 µL sugar solution of the same solution into pre-weighed 3.3 × 5 mm silver foil capsules (Prod. No. SA76980506, Säntis). All samples were then frozen at −20 °C, freeze-dried with a condenser temperature of −50 °C, and the duplicates for δ2H measurements were packed into a second 5 × 9 mm silver foil capsule. Sugar samples were stored in a desiccator at low relative humidity (2–5%) until δ2H and δ18O measurements.
For the δ2H measurements, the sets of duplicates were then equilibrated with hot water vapor by evaporating two isotopically distinct waters (δ2H water 1 = −160‰ and δ2H water 2 = −428‰) at 130 °C (Schuler et al.68). After 2 h, the samples were dried with dry nitrogen gas (N25.0, Prod. No. 2220912, PanGas AG, Dagmersellen, Switzerland) for 2 h at 130 °C. After that, they were immediately transferred into a Zero Blank Autosampler (N.C. Technologies S.r.l., Milano, Italy), which was installed on a sample port of a high-temperature elemental analyzer system. The latter was coupled via a ConFlo III referencing interface to a DeltaPlus XP IRMS (TC/EA-IRMS, Finnigan MAT, Bremen, Germany). The autosampler was evacuated to 0.01 mbar and filled with dry helium gas. The samples were pyrolysed in a reactor according to Gehre et al.69, and carried in a flow of dry helium (150 ml min−1) to the IRMS. Raw δ2H values were offset corrected using polyethylene foil standards (IAEA-CH-7 polyethylene foil, International Atomic Energy Agency, Vienna, Austria; SD < 0.7‰ within one run). δ18O measurements were done according to established protocols (Weigt et al.70; Lehmann et al.67) with a PYRO cube (Elementar, Hanau, Germany, precision ~0.3‰).
Calculation of the non-exchangeable hydrogen isotope ratio (δ2Hne), εOA, εHA
The here used procedure originates mainly from the description in Schuler et al.8. All isotope ratios (δ) were calculated as given in Eq. 1 (Coplen71):
where R = 2H/1H of the sample (RSample) and of Vienna Standard Mean Ocean Water (VSMOW2; RStandard) as the standard defining the international isotope scale. To express the resulting δ in permil (‰), results were multiplied by 1000.
According to Filot et al.72, the %-proportion of exchanged hydrogen during the equilibrations (xe, Eq. 2) can be calculated as:
where δ2He1 and δ2He2 are the measured δ2H values of the two equilibrated subsamples, δ2Hw1 and δ2Hw2 are the δ2H values of the two waters used, and αe-w is the fractionation factor of 1.082, which is the same for sugars and cellulose (Filot et al.72; Schuler et al.68). Typical xe values for pure sugars are between 0.32 and 0.36 (Schuler et al.68).
δ2Hne can then be calculated with Eq. 3 using one of the two equilibrations (equilibration one in this example, δ2He1 and δ2Hw1):
Three sucrose samples for the equilibrations of leaf sugars and three cellulose samples for the equilibrations of the twig xylem cellulose, each measured in triplicates, were used as internal reference material to calibrate the results. For the sake of simplicity, δ2H has been used throughout the manuscript instead of δ2Hne.
The apparent autotrophic fractionation factors between precursor and product (18O = εOA, and 2H = εHA) were calculated with Eq. 4 and Eq. 5, respectively:
As in Schuler et al.8, the two biological fractionation factors εHA and εOA were expressed as the actual difference between the δ18O, and δ2H of leaf sugars and the δ18O and δ2H of leaf water, respectively. All the obtained values can be found in Supplementary Table 5.
Leaf-level non-structural carbohydrates (NSC) analysis
The leaf material for NSC analysis derives from the material which was dried during the cryogenic water extraction at 80 °C. Then, leaves were ground in fine powder and NSC concentrations were measured following previously established protocols (Hoch et al.73; Schönbeck et al.74). Ten to twelve mg of finely ground leaf material were heated in 2 mL distilled water for 30 min. An aliquot of 200 µL was treated with invertase from baker’s yeast (S. cerevisiae, Sigma-Aldrich Chemie GmbH, Germany) for an hour to degrade sucrose and convert fructose into glucose. The sugar concentration was determined at 340 nm in a 96-well plate spectrophotometer (Thermo Fisher Scientific Multiskan GO, Finland) after an enzymatic conversion to gluconate-6-phosphate of about 35 min, using glucose Assay Reagent (Sigma-Aldrich Chemie GmbH, Germany) and Isomerase from baker’s yeast (S. cerevisiae, Sigma-Aldrich Chemie GmbH, Germany). The total amount of NSC was measured by taking an aliquot of 500 µL of the extract (including starch and sugar) and treated for 15 h at 49 °C with Amyloglucosidase from Aspergillus niger (Sigma-Aldrich Chemie GmbH, Germany) to digest starch into glucose. Total glucose (corresponding to total NSC concentration) was determined using a spectrophotometer, as explained above. The starch concentration was calculated as the total NSC subtracted by the sugar concentration. Standard solutions, including pure starch, glucose, fructose, sucrose, and standard plant powder (Orchard leaves, Leco, USA), were used as references for the comparison and reproducibility of the results between runs. All the obtained values can be found in Supplementary Table 3.
Statistical analyses
Statistical analyses were performed using R version 4.1.2 (R.Core.Team75). Linear and polynomial models, Mann-Whitney-U-Test, and Welch’s t-test implemented using basic R and ggplot2 (Wickham76) were used to determine the leaf-level physiological and NSC temperature response. The final assembly of the graphs was done using the R package patchwork (Pedersen77). Least Absolute Shrinkage and Selection Operator (Lasso) regressions to identify important variables were performed using the R package glmnet (Tay et al.78). Subsequently, to analyze the relationship between isotope fractionation and leaf physiological variables, we developed generalized additive models (GAMs) using the R package mgcv (Wood79), which allowed us to capture any non-linear relationships and thus identify the main drivers behind hydrogen and oxygen isotope fractionation. In total, we tested 34 different models with increasing complexity for δ2H and 19 for δ18O in leaf sugar. The models included smooth terms for the variables of interest, and interactions were modeled using tensor product smooths and were trained on 80% and tested on 20% of the dataset. Whether the simulated leaf sugar isotope temperature response differed significantly from the measured leaf sugar isotope temperature response by testing the significance of the interaction term in an ANOVA. Model visualization and diagnostics were performed using ggplot2, ggplotify, and cowplot to combine plots. Lastly, we tested the relationships between εHA and εOA, respectively, with Rdark, the % Rdark contributes to P (Rdark + Anet), as well as the partitioning between sugar and starch using Pearson’s correlation coefficients (cor.test from dplyr54) within each species.
Data availability
All data used for the analysis are available in the tables of the supporting information, and can further be downloaded from www.envidat.ch after the publication of the manuscript.
References
Lehmann, M. M. et al. In Stable Isotopes in Tree Rings Vol. 8, 331–359 (2022).
Siegwolf, R. T. W., Brooks, J. R., Roden, J. & Saurer, M. Stable Isotopes in Tree Rings: Inferring Physiological, Climatic and Environmental Responses Vol. 8 (Springer International Publishing, 2022).
Song, X., Lorrey, A. & Barbour, M. A. In Stable Isotopes in Tree Rings Vol. 8, 311–329 (Springer, 2022).
Roden, J. S., Lin, G. & Ehleringer, J. R. A mechanistic model for interpretation of hydrogen and oxygen isotope ratios in tree-ring cellulose. Geochim. Cosmochim. Acta 64, 21–35 (2000).
Gessler, A. et al. Stable isotopes in tree rings: towards a mechanistic understanding of isotope fractionation and mixing processes from the leaves to the wood. Tree Physiol. 34, 796–818 (2014).
Sternberg, L. & DeNiro, M. J. Isotopic composition of cellulose from C3, C4, and CAM plants growing near one another. Science 220, 947–949 (1983).
Schuler, P. et al. Hydrogen isotope fractionation in plants with C3, C4, and CAM CO2 fixation. New Phytol. 244, 477–495 (2024).
Schuler, P. et al. Hydrogen isotope fractionation in carbohydrates of leaves and xylem tissues follows distinct phylogenetic patterns: a common garden experiment with 73 tree and shrub species. New Phytol. 239, 547–561 (2023).
Baan, J., Holloway-Phillips, M., Nelson, D. B., De Vos, J. M. & Kahmen, A. Phylogenetic and biochemical drivers of plant species variation in organic compound hydrogen stable isotopes: novel mechanistic constraints. New Phytol. 246, 113–130 (2025).
Lehmann, M. M. et al. Biochemical and biophysical drivers of the hydrogen isotopic composition of carbohydrates and acetogenic lipids. Sci. Adv. 10, eadl3591 (2024).
Vitali, V. et al. Tree-ring isotopes from the Swiss Alps reveal non-climatic fingerprints of cyclic insect population outbreaks over the past 700 years. Tree Physiol. 43, 706–721 (2023).
Vitali, V. et al. Finding balance: Tree-ring isotopes differentiate between acclimation and stress-induced imbalance in a long-term irrigation experiment. Glob. Change Biol. 30, e17237 (2024).
Sternberg, L. & Ellsworth, P. F. V. Divergent biochemical fractionation, not convergent temperature, explains cellulose oxygen isotope enrichment across latitudes. PLoS ONE 6, e28040 (2011).
Holloway-Phillips, M. et al. Species variation in the hydrogen isotope composition of leaf cellulose is mostly driven by isotopic variation in leaf sucrose. Plant, Cell Environ. 45, 2636–2651 (2022).
Kahmen, A. et al. Cellulose δ 18 O is an index of leaf-to-air vapor pressure difference (VPD) in tropical plants. Proc. Natl. Acad. Sci. USA 108, 1981–1986 (2011).
Smith, B. N. & Ziegler, H. Isotopic fractionation of hydrogen in plants. Botanica Acta 103, 335–342 (1990).
Wieloch, T. et al. Metabolism is a major driver of hydrogen isotope fractionation recorded in tree-ring glucose of Pinus nigra. New Phytol. 234, 449–461 (2022).
Lehmann, M. M., Diao, H., Ouyang, S. & Gessler, A. Different responses of oxygen and hydrogen isotopes in leaf and tree-ring organic matter to lethal soil drought. Tree Physiol. 44, tpae043 (2024).
Regehr, D. L. & Bazzaz, F. A. Low temperature photosynthesis in successional winter annuals. Ecology 57, 1297–1303 (1976).
Crous, K. Y., Uddling, J. & De Kauwe, M. G. Temperature responses of photosynthesis and respiration in evergreen trees from boreal to tropical latitudes. New Phytol. 234, 353–374 (2022).
Downton, W. J. S., Berry, J. A. & Seemann, J. R. Tolerance of photosynthesis to high temperature in desert plants. Plant Physiol. 74, 786–790 (1984).
Medlyn, B. E. et al. Temperature response of parameters of a biochemically based model of photosynthesis. II. A review of experimental data. Plant Cell Environ. 25, 1167–1179 (2002).
Scafaro, A. P., Posch, B. C., Evans, J. R., Farquhar, G. D. & Atkin, O. K. Rubisco deactivation and chloroplast electron transport rates co-limit photosynthesis above optimal leaf temperature in terrestrial plants. Nat. Commun. 14, 2820 (2023).
Diao, H. et al. Uncoupling of stomatal conductance and photosynthesis at high temperatures: mechanistic insights from online stable isotope techniques. New Phytol. 241, 2366–2378 (2024).
Criddle, R. S., Hopkin, M. S., McARTHUR, E. D. & Hansen, L. D. Plant distribution and the temperature coefficient of metabolism. Plant Cell Environ. 17, 233–243 (1994).
Raison, J. K. In Membrane Structure and Mechanisms of Biological Energy Transduction 559–583 (Springer, 1972).
De Vries, F. W. T. P. The cost of maintenance processes in plant cells. Ann. Bot. 39, 77–92 (1975).
McMichael, B. L. & Burke, J. J. Metabolic activity of cotton roots in response to temperature. Environ. Exp. Bot. 34, 201–206 (1994).
Adams, H. D. et al. Nonstructural leaf carbohydrate dynamics of Pinus edulis during drought-induced tree mortality reveal role for carbon metabolism in mortality mechanism. New Phytol. 197, 1142–1151 (2013).
Zhao, J., Hartmann, H., Trumbore, S. & Ziegler, W. High temperature causes negative whole-plant carbon balance under mild drought. New Phytol. 200, 330–339 (2013).
Rehschuh, R. et al. Tree allocation dynamics beyond heat and hot drought stress reveal changes in carbon storage, belowground translocation and growth. New Phytol. 233, 687–704 (2022).
Grossiord, C. et al. Plant responses to rising vapor pressure deficit. New Phytol. 226, 1550–1566 (2020).
Middleby, K. B., Cheesman, A. W. & Cernusak, L. A. Impacts of elevated temperature and vapour pressure deficit on leaf gas exchange and plant growth across six tropical rainforest tree species. New Phytol. 243, 648–661 (2024).
Jansen, K. et al. Douglas-fir seedlings exhibit metabolic responses to increased temperature and atmospheric drought. PLoS ONE 9, e114165 (2014).
Schönbeck, L. C. et al. Increasing temperature and vapour pressure deficit lead to hydraulic damages in the absence of soil drought. Plant Cell Environ. 45, 3275–3289 (2022).
Tinoco-Ojanguren, C. & Pearcy, R. W. Stomatal dynamics and its importance to carbon gain in two rainforest Piper species. Oecologica 94, 395–402 (1993).
Diao, H. et al. Dry inside: progressive unsaturation within leaves with increasing vapour pressure deficit affects estimation of key leaf gas exchange parameters. New Phytol. 244, 1275–1287 (2024).
Kawamitsu, Y., Agata, W. & Miura, S. Effects of vapour pressure difference on CO_2 assimilation rate, leaf conductance and water use efficiency in grass species. J. Fac. Agric. Kyushu Univ. 31, 1–10 (1987).
Kullberg, A. T. & Feeley, K. J. Seasonal acclimation of photosynthetic thermal tolerances in six woody tropical species along a thermal gradient. Funct. Ecol. 38, 2493–2505 (2024).
Mills, C., Bartlett, M. K. & Buckley, T. N. The poorly-explored stomatal response to temperature at constant evaporative. Plant Cell Environ. 47, 3428–3446 (2024).
Dewar, R. C., Medlyn, B. E. & Mcmurtrie, R. ossE. Acclimation of the respiration/photosynthesis ratio to temperature: insights from a model. Glob. Change Biol. 5, 615–622 (1999).
Gent, M. P. N. Carbohydrate level and growth of tomato plants: II. The effect of irradiance and temperature. Plant Physiol. 81, 1075–1079 (1986).
Klopotek, Y. & Kläring, H.-P. Accumulation and remobilisation of sugar and starch in the leaves of young tomato plants in response to temperature. Sci. Hortic. 180, 262–267 (2014).
Zhou, Q. et al. Plastic and adaptive response of carbon allocation to temperature change in alpine treeline trees. Environ. Exp. Bot. 208, 105271 (2023).
Blumstein, M., Gersony, J., Martínez-Vilalta, J. & Sala, A. Global variation in nonstructural carbohydrate stores in response to climate. Glob. Change Biol. 29, 1854–1869 (2023).
Wacker, A. et al. Nocturnal sucrose does not reflect the hydrogen isotope composition of transitory starch in leaves as expected. Plant Biol. J. 27, 461–475 (2025).
Wieloch, T., Augusti, A. & Schleucher, J. Anaplerotic flux into the Calvin–Benson cycle: hydrogen isotope evidence for in vivo occurrence in C 3 metabolism. New Phytol. 234, 405–411 (2022).
Schleucher, J., Vanderveer, P., Markley, J. L. & Sharkey, T. D. Intramolecular deuterium distributions reveal disequilibrium of chloroplast phosphoglucose isomerase. Plant Cell Environ. 22, 525–533 (1999).
Neycken, A. et al. Understanding physiological mechanisms of European beech dieback responses to climate using a triple isotope approach in northern Switzerland. Dendrochronologia 91, 126335 (2025).
Zhou, Y. et al. On the contributions of photorespiration and compartmentation to the contrasting intramolecular 2H profiles of C3 and C4 plant sugars. Phytochemistry 145, 197–206 (2018).
Baan, J., Holloway-Phillips, M., Nelson, D. B. & Kahmen, A. The metabolic sensitivity of hydrogen isotope fractionation differs between plant compounds. Phytochemistry 207, 113563 (2023).
West, A. G., Patrickson, S. J. & Ehleringer, J. R. Water extraction times for plant and soil materials used in stable isotope analysis. Rapid Comm. Mass Spectrom. 20, 1317–1321 (2006).
Orlowski, N., Frede, H.-G., Brüggemann, N. & Breuer, L. Validation and application of a cryogenic vacuum extraction system for soil and plant water extraction for isotope analysis. J. Sens. Sens. Syst. 2, 179–193 (2013).
Wickham, H., Francois, R., Henry, L., Müller, K. & Vaughan, D. dplyr. A Grammar of Data Manipulation (2023).
Rowland, L. et al. Death from drought in tropical forests is triggered by hydraulics not carbon starvation. Nature 528, 119–122 (2015).
Kono, Y. et al. Initial hydraulic failure followed by late-stage carbon starvation leads to drought-induced death in the tree Trema orientalis. Commun. Biol. 2, 8 (2019).
Keys, A. J., Sampaio, E. V. S. B., Cornelius, M. J. & Bird, I. F. Effect of Temperature on Photosynthesis and Photorespiration of Wheat Leaves. J. Exp. Bot. 28, 525–533 (1977).
Scafaro, A. P. et al. Responses of leaf respiration to heatwaves. Plant Cell & Environment 44, 2090–2101 (2021).
Yakir, D. & DeNiro, M. J. Oxygen and Hydrogen Isotope Fractionation during Cellulose Metabolism in Lemna gibba L. Plant Physiol. 93, 325–332 (1990).
Zech, M., Mayr, C., Tuthorn, M., Leiber-Sauheitl, K. & Glaser, B. Oxygen isotope ratios (18O/16O) of hemicellulose-derived sugar biomarkers in plants, soils and sediments as paleoclimate proxy I: Insight from a climate chamber experiment. Geochimica et Cosmochimica Acta 126, 614–623 (2014).
Zhang, B.-L. et al. Hydrogen Isotopic Profile in the Characterization of Sugars. Influence of the Metabolic Pathway. J. Agric. Food Chem. 50, 1574–1580 (2002).
Holloway-Phillips, M. et al. Species variation in the hydrogen isotope composition of leaf cellulose is mostly driven by isotopic variation in leaf sucrose. Plant Cell Environ. 45, 2636–2651 (2022).
Lewis, B. E. & Schramm, V. L. Binding Equilibrium Isotope Effects for Glucose at the Catalytic Domain of Human Brain Hexokinase. J. Am. Chem. Soc. 125, 4785–4798 (2003).
Diao, H. et al. Dry inside: progressive unsaturation within leaves with increasing vapour pressure deficit affects estimation of key leaf gas exchange parameters. New Phytol. 244, 1275–1287 (2024).
Diao, H. et al. Technical note: On uncertainties in plant water isotopic composition following extraction by cryogenic vacuum distillation. Hydrol. Earth Syst. Sci. 26, 5835–5847 (2022).
Rinne, K. T., Saurer, M., Streit, K. & Siegwolf, R. T. W. Evaluation of a liquid chromatography method for compound-specific δ13C analysis of plant carbohydrates in alkaline media. Rapid Commun. Mass Spectrom. 26, 2173–2185 (2012).
Lehmann, M. M. et al. Improving the extraction and purification of leaf and phloem sugars for oxygen isotope analyses. Rapid Commun. Mass Spectrom. 34, e8854 (2020).
Schuler, P. et al. A high-temperature water vapor equilibration method to determine non-exchangeable hydrogen isotope ratios of sugar, starch and cellulose. Plant Cell Environ. 45, 12–22 (2022).
Gehre, M., Geilmann, H., Richter, J., Werner, R. A. & Brand, W. A. Continuous flow 2H/1H and 18O/16O analysis of water samples with dual inlet precision. Rapid Commun. Mass Spectrom. 18, 2650–2660 (2004).
Weigt, R. B. et al. Comparison of δ18O and δ13C values between tree-ring whole wood and cellulose in five species growing under two different site conditions: Comparing δ18O and δ13C values of tree-ring whole wood and cellulose. Rapid Commun. Mass Spectrom. 29, 2233–2244 (2015).
Coplen, T. B. Guidelines and recommended terms for expression of stable‐isotope‐ratio and gas‐ratio measurement results. Rapid. Comm. Mass Spectrom. 25, 2538–2560 (2011).
Filot, M. S., Leuenberger, M., Pazdur, A. & Boettger, T. Rapid online equilibration method to determine the D/H ratios of nonexchangeable hydrogen in cellulose. Rapid Comm. Mass Spectrom. 20, 3337–3344 (2006).
Hoch, G., Popp, M. & Körner, C. Altitudinal increase of mobile carbon pools in Pinus cembra suggests sink limitation of growth at the Swiss treeline. OIKOS 98, 361–374 (2002).
Schönbeck, L. et al. Homeostatic levels of nonstructural carbohydrates after 13 yr of drought and irrigation inPinus sylvestris. New Phyto. 219, 1314–1324 (2018).
R. Core.Team. R: A language and environment for statistical computing. R Foundation for Statistical Computing, Vienna, Austria (2024).
Wickham, H. ggplot2: Elegant Graphics for Data Analysis (Springer-Verlag New York 2016).
Pedersen, T. L. patchwork: The Composer of Plots. (2025). R package version 1.3.2.9000. https://patchwork.data-imaginist.com.
Tay, J. K., Narasimhan, B. & Hastie, T. Elastic Net Regularization Paths for All Generalized Linear Models. J. Stat. Soft. 106, 1–31 (2023).
Wood, S. N. et al. Fast Stable Restricted Maximum Likelihood and Marginal Likelihood Estimation of Semiparametric Generalized LinearModels. J. R. Stat. Soc., Ser. B: Stat. Methodol. 73, 3–36 (2011).
Acknowledgements
The project was funded by the Swiss National Science Foundation (SNSF, Nos. 179978, 205492, 213367), granted to Marco Lehmann as well as by the innovative project “PPF2020” at WSL and a SNSF R'Equip project (No. 189724) granted to Marco Lehmann, Matthias Saurer, and Arthur Gessler for the set-up of the XiBox infrastructure.
Author information
Authors and Affiliations
Contributions
Conceptualization: P.S. and M.M.L.; experiment: P.S.; laboratory work: P.S. and M.D.-G.; visualization: P.S.; writing—original draft: P.S. and M.M.L.; writing—review and editing: P.S., M.M.L., V.V., M.O., H.D., M.D.-G., M.S., A.G., and N.B.
Corresponding author
Ethics declarations
Competing interests
The authors declare no competing interests.
Additional information
Publisher’s note Springer Nature remains neutral with regard to jurisdictional claims in published maps and institutional affiliations.
Supplementary information
Rights and permissions
Open Access This article is licensed under a Creative Commons Attribution 4.0 International License, which permits use, sharing, adaptation, distribution and reproduction in any medium or format, as long as you give appropriate credit to the original author(s) and the source, provide a link to the Creative Commons licence, and indicate if changes were made. The images or other third party material in this article are included in the article’s Creative Commons licence, unless indicated otherwise in a credit line to the material. If material is not included in the article’s Creative Commons licence and your intended use is not permitted by statutory regulation or exceeds the permitted use, you will need to obtain permission directly from the copyright holder. To view a copy of this licence, visit http://creativecommons.org/licenses/by/4.0/.
About this article
Cite this article
Schuler, P., Didion-Gency, M., Vitali, V. et al. Hot and Hungry - High temperatures induce changes in leaf carbon dynamics and sugar isotope fingerprints. npj Sci. Plants 1, 12 (2025). https://doi.org/10.1038/s44383-025-00012-6
Received:
Accepted:
Published:
Version of record:
DOI: https://doi.org/10.1038/s44383-025-00012-6







