Abstract
Mid-air acoustic streaming, where ultrasound induces steady fluid motion, could significantly affect the perception of haptic sensations, stability of levitation systems, and enable controlled transfer of odors (smells) through air by directing volatile compounds to specific locations. Despite its importance, the streaming behavior in airborne phased-array transducers remains poorly understood. Here, we use particle image velocimetry and numerical simulations to investigate streaming dynamics in single- and multi-focus acoustic fields. Experimental measurements reveal streaming velocities exceeding 0.4 m/s in single-focus configurations and up to 0.3 m/s in multi-focus setups, with distinct grating lobe-induced lateral jets. While multi-physics finite-element models effectively capture central streaming, they exhibit subtle differences and perform poorly in capturing flow in the side lobes. These findings provide valuable insights into the interplay between acoustic field design and streaming dynamics, offering guidance for optimizing ultrasonic technologies in haptics and levitation applications.
Similar content being viewed by others
Introduction
Acoustic streaming has been extensively investigated in liquid media and microchannels, where ultrasound-induced streaming reveals intricate fluid dynamics1,2. These studies contributed significantly to understanding acoustic streaming in confined liquid geometries and its applications in particle manipulation, fluid mixing, and lab-on-chip technologies3,4,5.
The phenomenon of mid-air acoustic streaming stems from early work by Hasegawa et al.6, and many follow-up studies have explored applications such as fog7, odor displays8 and localized cooling sensations9. Furthermore, acoustic streaming could affect the performance of technologies such as volumetric displays10,11 and digital microfluidics12. While streaming velocity measurements using mechanical7 and hot-wire anemometers6,13 have been reported, these methods are prone to inaccuracies from nonlinear acoustic field interactions. Particle image velocimetry (PIV) offers a more direct and reliable method for capturing streaming velocity fields, as demonstrated in measurements of flows driven by Langevin horns and focused transducer arrays14.
Here, we apply PIV to characterize airborne streaming flows induced by flat phased array transducers (PATs) as shown in Fig. 1, addressing a critical gap in understanding of these systems. PATs can shape and steer acoustic fields to enable advanced airborne applications. This study systematically explores focal distances, beam geometries, and multi-focus configurations, comparing experimental results with numerical predictions under different attenuation assumptions. The results provide new insights into the design of high-power ultrasonic systems, particularly, the influence of focal distance on streaming fields, impact of grating lobes, and transient responses; ultimately offering a comprehensive framework for optimizing ultrasonic applications in haptics, odor displays, and levitation.
Various acoustic beam patterns (focused, Bessel, and multifocal) are generated using a phased array transducer (PAT). In the experiments, the resulting acoustic streaming is visualized by seeding the fluid with tracer particles and illuminating the flow with a laser sheet for Particle Image Velocimetry (PIV) analysis. In numerical model, the acoustic intensity and streaming body force are first calculated in MATLAB and then imported into a COMSOL 2D linear fluid model to simulate the streaming flow for direct comparison with experiments.
As a first step, we systematically characterize airborne streaming generated by flat phased arrays under single-focus, Bessel, and multi-focus field (see Supplementary Material for acoustic hologram, and its predicted and measured acoustic pressure field) using PIV (see “Methods” for details). We then compare these measurements with numerical predictions based on 2D mirror-symmetry models incorporating both thermoviscous and atmospheric attenuation (see “Methods”). For the bulk streaming force, we adopt the intensity-based formulation recently applied by Stone et al.14, which has been experimentally validated in mid-air conditions similar to ours. Classical theoretical treatments provide additional context: Eckart’s early formulation15 is restricted to creeping-flow conditions (Re < < 1), while more recent analyses16 focus on streaming in sessile water droplets and therefore adopt a different attenuation treatment. In regimes with strong nonlinear propagation, higher-order harmonics become important and require extended formulations17, but under our weakly nonlinear experimental conditions the streaming force reduces exactly to the form we use. This positions our approach consistently within existing theories while grounding it in the mid-air validated model of Stone et al.14.
Results and discussion
Qualitative comparison between experimental and numerical results
Figure 2 compares the streaming velocity fields obtained experimentally and numerically under different attenuation models. The experimental data in Fig. 2a were obtained using PIV (see “Methods” for details on experimental setup) and represent the time-averaged velocity field across all captured frames (focused beam at (0, 0, 80) mm, 5 V). The results reveal a symmetric streaming flow with strong grating lobe jets angled outward from the transducer array, contributing significantly to the lateral flow structure. The central region shows moderate flow magnitudes, forming a focused jet along the axis.
Data were acquired using a focused beam at (0, 0, 80) mm, 5 V. Experimental measurements (a) reveal pronounced grating lobe jets alongside a focused central jet. The thermoviscous model (b) significantly underestimates both the central flow and the grating lobe jets. The atmospheric model (c) shows improvement but still underestimates the grating lobe jets.
Figure 2b illustrates numerical results for a 2D mirror symmetry model with thermoviscous attenuation (see Methods for details on numerical models). This model significantly underestimates both the central flow intensity and the grating lobe contributions, resulting in a weaker overall flow. In Fig. 2c, the 2D mirror symmetry model with atmospheric attenuation shows improvement, capturing the central flow distribution and magnitude more accurately. However, it still underestimates the grating lobe intensity, leading to a simplified lateral flow pattern.
The comparison reveals that the 2D mirror symmetry model is capable of predicting the central streaming flow with reasonable accuracy, as evidenced by its ability to capture the strong central jet observed in the experimental data. The apparent absence of grating lobes in Fig. 2b, c stems from the use of a 2D acoustic field model. Grating lobe is inherently 3D phenomena, and we predict that a full 3D model would provide a more faithful representation, yet it is computationally prohibitive and therefore beyond the scope of the present study. The implications and limitations of this modeling choice are discussed in detail in a later section. Despite this limitation, the model’s simplicity makes it a useful tool for modeling the central flow.
Quantitative comparison between experimental and numerical results (2D mirror symmetry)
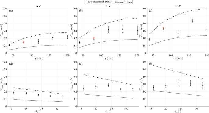
Building on these insights, Fig. 3 presents a quantitative comparison of the experimental and theoretical maximum velocities (\({\overline{V}}_{\max }\)) under different attenuation models. In this analysis, we focus on the central flow velocity both in the experimental data and numerical simulations (2D mirror symmetry) to explore how the streaming velocity varies as a function of the focal distance (rf) and cone angle (θz) for single focal fields and Bessel beams, respectively.
(a–c) Acoustic streaming velocity for focused field. Mean maximum velocities (\(\overline{V}max\)) as a function of focal point ([0, 0, rf] m) for input voltages of 5 V, 8 V, and 10 V, respectively. (d–f) Acoustic streaming velocity for Bessel beam. Mean maximum velocities (\(\overline{V}max\)) as a function of cone angle (θz) for input voltages of 5 V, 8 V, and 10 V, respectively. Experimental data are represented with error bars (standard deviation), while theoretical predictions are shown for thermoviscous (dotted lines) and atmospheric (dashed lines) attenuation models. The red points in (a–c) indicates data point where approximately 20% of the data points were NaN due to experimental variability.
Figure 3 presents a comparative analysis of the experimental and theoretical maximum velocities (\({\overline{V}}_{\max }\)) for varying input voltages (5 V, 8 V, and 10 V) as functions of the focal distance (rf) for single focal field and cone angle (θz) for Bessel beams.
Figure 3a–c illustrate the dependence of \({\overline{V}}_{\max }\) on the focal distance for input voltages of 5 V, 8 V, and 10 V. The experimental data, represented with error bars indicating standard deviation, show a general increase in \({\overline{V}}_{\max }\) with rf. This trend becomes more pronounced as the input voltage increases. At 5 V (Fig. 3(a)), the experimental maximum velocity remains below 0.25 m/s across most focal distances, closely matching the atmospheric attenuation model (αatm), except for that at rf = 40 mm, where the experimental values slightly exceed the prediction of the thermoviscous attenuation model (αthermo). At 8 V (Fig. 3b), the experimental values exceed 0.3 m/s for larger focal distances. At 10 V (Fig. 3(c)), the experimental \({\overline{V}}_{\max }\) approaches 0.4 m/s, particularly at longer focal distances. The larger error bars in Fig. 3c reflect limitations of the measurement system, which operates at a frame rate of 240 FPS. The mean streaming velocity was calculated using only valid data points; any values recorded as NaN (which occurred when the PIV algorithm struggled to extract velocity data) were excluded from the calculation. This occurred only at focal point rf = 80 mm, 5, 8, and 10 V, where approximately 20% of the data were NaN. These cases are highlighted in Fig. 3 in red. For all other conditions, no NaN values occurred, and the mean values were unaffected. To capture these faster particle velocities accurately, an optical measurement system with a broader measurement range—such as a higher frame rate or alternative tracking method—would be needed.
Figure 3d–f show the dependence of \({\overline{V}}_{\max }\) on the cone angle for the Bessel beam. At 5 V (Fig. 3d), the experimental maximum velocity remains below 0.2 m/s across all cone angles. At 8 V (Fig. 3e), the experimental values approach 0.3 m/s. At 10 V (Fig. 3f), the experimental data initially align closely with the thermoviscous attenuation model at smaller cone angles (θz = 16°), but gradually approach the predictions of the atmospheric attenuation model as the cone angle increases.
Overall, the experimental results reproduce the correct order of magnitude of the streaming velocity and consistently fall between the predictions of the thermoviscous and atmospheric attenuation models. Notable exceptions include rf = 40 mm at 5 V in Fig. 3a, where the experimental data slightly exceed the atmospheric attenuation model. While the models provide reliable upper and lower bounds, their gradients differ from the experimental data, reflecting the limitations of current attenuation models for mid-air phased arrays. Despite these discrepancies, the bounded comparison demonstrates that the numerical model remains useful for predicting the central streaming flow and for guiding application development.
Building on these findings, we discuss the transient behavior of acoustic streaming, interaction between multi-focus fields and flow dynamics, and challenges associated with the experimental and numerical methodologies, aiming to provide a more comprehensive understanding of acoustic streaming generated by PATs.
Temporal response of acoustic streaming
In this section, we investigate the transient behavior of the flow field. Numerical simulations using a multi-physics finite element model (linear flow, stationary model) compute only the steady-state solution and cannot account for transient dynamics. However, since acoustic streaming is driven by the body force induced by the acoustic field, it does not develop immediately. The transient behavior of the acoustic streaming velocity was analyzed under consistent experimental conditions for three input voltages—5 V, 8 V, and 10 V—corresponding to Fig. 4a, b, and c, respectively (see data statement for time lapse video of streaming field). In all cases, the focal distance was fixed at 80 mm with a singular focus configuration. The reported velocity corresponds to the maximum velocity magnitude in each frame. The plots display a 30 s time clip, during which the device was initially off, turned on for 10 s to record the streaming flow behavior, and subsequently turned off to observe the decay phase. Key metrics were extracted to characterize the system’s response. The baseline velocity was defined as the mean velocity before the device was switched on. The mean velocity was defined as the time average of the data in Fig. 4 over the period when the device was on. Rise time was defined as the time required for the velocity to increase from the baseline to the mean velocity, while fall time was defined as the time required for the velocity to decrease from the mean velocity back to the baseline after the device was turned off. Based on these definitions, acceleration was defined as the rate at which velocity increases from the baseline to the mean velocity during the rise phase, and deceleration as the rate at which velocity decreases from the mean velocity back to the baseline during the fall phase.
Input voltages of 5 V (a), 8 V (b), and 10 V (c). The plots show the rise time, fall time, baseline (velocity before Device ON) and mean velocity (velocity during Device ON) measured along the centerline at a focal distance of 80 mm.
At 5 V, the rise time is 0.887 s, with a mean velocity of 0.149 m/s and acceleration of 0.089 m/s2. The fall time is 5.088 s, with a deceleration of −0.018 m/s2. At 8 V, the system responds faster, with a rise time of 0.808 s, mean velocity of 0.209 m/s, and acceleration of 0.131 m/s2. The fall time reduces to 4.858 s, and the deceleration increases to −0.022 m/s2. At 10 V, the rise time increases slightly to 1.192 s, with a mean velocity of 0.305 m/s and acceleration of 0.172 m/s2. The fall time decreases significantly to 2.550 s, with a much higher deceleration of −0.080 m/s2. Across all cases, the rise time and acceleration during the device ON phase show a voltage-dependent trend. As the input voltage increases, the system achieves higher steady-state velocities. During the device OFF phase, the fall time and deceleration indicate faster dissipation of the streaming flow at higher voltages. Across all cases, the rise time and acceleration during the device ON phase show a voltage-dependent trend. As the input voltage increases, the system achieves higher steady-state velocities. During the device OFF phase, the fall time and deceleration indicate faster dissipation of the streaming flow at higher voltages. While each trace in Fig. 4 represents a single measurement and therefore appears noisy, the extracted metrics are consistent with the velocity data reported in Fig. 3. Although repeat measurements would provide a stronger statistical basis, the long-duration, high-frame-rate PIV acquisition required is experimentally demanding. The present results thus complement the averaged data of Fig. 4, highlighting the reproducible voltage dependence of the streaming response and its transient behavior.
Effect of multi-focus
The capability to generate and control multiple focal points is essential in applications such as haptics and acoustic levitation, enabling simultaneous manipulation or interaction at distinct spatial locations. Understanding how multi-focus acoustic streaming fields differ from those generated by single, focused beams is critical for optimizing performance and ensuring accurate modeling in these advanced acoustic systems. The analysis of multi-focus acoustic streaming fields was conducted experimentally and numerically, with focal points placed at (−10, 0, 80) mm and (10, 0, 80) mm for Fig. 5a, d, (−30, 0, 80) mm and (30, 0, 80) mm for Fig. 5b, e, and (−50, 0, 80) mm and (50, 0, 80) mm for Fig. 5c, f. The input voltage was fixed at 8 V for all cases. The numerical simulations were performed using a 2D mirror model at z = 0, assuming atmospheric attenuation. The experimentally observed and simulated velocity fields were compared to evaluate the accuracy of the model and identify discrepancies.
Comparison of experimental (a–c) and simulated (d–f) multi-focus streaming velocity fields at ±10 mm (a, d), ±30 mm (b, e), and ±50 mm (c, f) along the z = 80 mm plane. Simulations assume 2D line symmetry under atmospheric conditions.
For cases where the focal points are relatively close together (±10 mm in Fig. 5a, d and ±30 mm in Fig. 5b, e), the experimental and numerical results show good agreement. Both the magnitude and spatial distribution of the streaming velocity fields match well, and the flow fields combine effectively into a single unified jet near the focal region. This agreement suggests that the symmetry and assumptions in the 2D model are well-suited for these configurations. However, as the focal points become farther apart (±50 mm in Fig. 5c, f), the simulation struggles to fully replicate the experimental results. In these cases, while the magnitude of the velocity field near the focal points is well-approximated, the direction of the flow shows notable discrepancies. For instance, in the experimental result Fig. 5c, the flow is oriented outward from the focal points, whereas the simulation Fig. 5f predicts a straight upward flow. This mismatch is consistent with previous observations of directional errors in simulated side-lobe fields and highlights the need for improved attenuation models, better assumptions regarding weakly nonlinear acoustic systems, 3D models, and improved boundary conditions (e.g., accounting for imperfections in the wall conditions of the transducer array). Additionally, when the focal points are close together, the flow fields combine effectively, creating a unified structure. This behavior is evident in Fig. 5a, b, d, e, where the flow is directed and cohesive. As the focal points become more separated, as in Fig. 5c, f, the interaction between the flow fields diminishes, leading to distinct differences in the spatial orientation and coherence of the flow.
Another interesting observation is the formation of vortex fields in the multi-focus simulations (Fig. 5e). These vortices may reflect flow conservation effects that are amplified by the 2D model, but they were not detected experimentally (Fig. 5b). Their absence could be due to the limited sensitivity of our current optical setup, or alternatively they may represent a numerical artifact associated with the boundary conditions in the 2D model. Further investigation with higher-resolution measurements and 3D simulations will be needed to clarify their origin.
Limitations
The primary limitation of this study lies in the use of a two-dimensional model to simulate an inherently three-dimensional phenomenon. While the 2D mirror symmetry model captures the central flow reasonably well, extending the analysis to a full 3D simulation is expected to provide a more accurate representation of the observed behavior. The experimental results are well bounded between the thermoviscous and atmospheric conditions, offering a robust foundation for simulation. However, the assumed form of the streaming forces may warrant re-examination, as the current weakly nonlinear formulation does not perfectly fit with the experimental observations.
Another limitation lies in the PIV experimental measurement setup. The current system reaches measurement limits, especially for faster flow fields. Upgrading optical equipment (i.e., camera and laser equipment) will be essential for accurate measurement of higher velocities. Although the current laser sheet is sufficient to cover the transducer array, larger arrays pose challenges in ensuring adequate coverage and a wide range of view.
These limitations underscore the importance of both improving the computational modeling approaches and advancing experimental measurement capabilities to better understand and characterize more complex acoustic streaming phenomena. Despite certain limitations, the ability to estimate the magnitude of acoustic streaming is essential for analyzing trap stability. This numerical model extends such investigations, previously well established in liquid media, to air18.
This study systematically investigated acoustic streaming fields generated by PATs under various configurations, including single-focus, Bessel, and multi-focus setups, using a combination of experimental PIV measurements and numerical simulations. The experimental results reproduce the correct order of magnitude of the streaming velocity and, apart from the specific case of rf = 80 mm, 5 V, consistently fall between the predictions of the thermoviscous and atmospheric attenuation models. Thus, the models provide reliable upper and lower bounds for the streaming velocity, even though the gradients differ from the experimental data. The simulations captured key features such as the overall flow direction and multi-focus interactions, and showed reasonable agreement for closely spaced foci. However, discrepancies in flow direction and vortex formation for larger focal separations highlight the limitations of simplified 2D modeling and the need for refined attenuation models, nonlinear formulations, and full 3D treatments in future work. Importantly, the transient measurements reveal substantial temporal variability in the streaming velocity. These fluctuations, while noisy, have consistent results and underscore the inherently unsteady nature of acoustic streaming. This finding has direct implications for applications such as mid-air haptics, where temporal fluctuations may affect tactile stability, as well as for levitation and cooling, where flow consistency is critical. Taken together, these results provide the first quantitative bounds on acoustic streaming generated by mid-air phased arrays, offering both a validated predictive framework and practical guidance for the design of future array-based acoustic systems.
Methods
Experimental setup
A 16 × 16 array of open-type air coupled transducers (MA40S4S, Murata, Japan) based on OpenMPD design was used in the experiment (see Montano-Murillo et al.19 for details on the array). A MOSFET driver (MIC4127YME) was used to drive the array at a frequency of f = 40 kHz. For PIV measurements, the array was positioned at the bottom of a 1 × 1 × 1.2 m enclosed chamber filled with smoke particles (KINCHO Mosquito Coil, Japan Insecticide Mfg. Co., see supplementary material for particle size histogram). A 5 W green laser was used to illuminate the particles, with the laser plane positioned at y = 0 mm (that is in the xz—plane). A Sony α9 camera (positioned 560 mm from the plane) with a Sony 16–35 mm lens was used to capture the particle displacements at a frame rate of 240 Hz, capturing 1000 frames per case. PIVlab in MATLAB20 was used to process the data and calculate the streaming velocity fields.
Huygens’ principle model for the pressure field
The acoustic pressure field was modeled using a 3D Huygens’ principle model approach. This method assumes idealized transducer elements, which is justified given that the Murata MA40S4S transducers used here exhibit very low variability21. The predictive accuracy of the Huygens’ model has been demonstrated in prior experimental studies22,23 and is further validated in the present work by direct pressure field measurements provided in the Supplementary Information. The total pressure field p was computed by superimposing contributions from all transducers:
where Pscale = 0.179Vin is the transducer power based on the input voltage Vin, Rn is the distance from the transducer to the field point, D(k, θ) is the directivity function (see Supplementary Material), and k = 2π/λ is the wavenumber.
The phase shifts ϕn were calculated to generate specific beam types. For focused beams, ϕn ensured constructive interference at the focal point, while for Bessel beams, the phases were derived based on the cone angle and transducer geometry. Multi-focus fields were calculated using the iterative backpropagation (IBP) algorithm, which iteratively adjusts transducer pressures to achieve specified amplitudes at multiple focal points. The IBP method was implemented as described in Marzo & Drinkwater24. Detailed derivations of the phase calculations for focused, Bessel, and multi-focus fields are provided in the Supplementary Material.
Acoustic streaming force
The acoustic particle velocity was computed as: \({{\bf{v}}}_{1}=\frac{1}{j\omega \rho }\nabla p\), where ω = 2πf, f is the frequency, and ρ is the air density. Using this velocity, the acoustic intensity vector was calculated as: \({\bf{I}}=\frac{1}{2}\Re (p\cdot {{\bf{v}}}_{1}^{* }),\) where \({{\bf{v}}}_{1}^{* }\) denotes the complex conjugate of the particle velocity. The streaming force per unit volume was then given by:
where c is the speed of sound and α is the attenuation coefficient. The methods used to calculate α are described below.
Attenuation coefficients
Two attenuation mechanisms were incorporated into the model: thermoviscous and atmospheric.
The thermoviscous attenuation coefficient was calculated using the Stokes-Kirchhoff relation25:
where μ is the dynamic viscosity, μB is the bulk viscosity, γ is the ratio of specific heats, kcond is the thermal conductivity, and Cp is the specific heat capacity at constant pressure. A detailed derivation of this equation is included in the Supplementary Material.
The atmospheric attenuation coefficient was given by ref. 26:
where B1, B2, and B3 are temperature- and pressure-dependent coefficients, and frN, frO are the relaxation frequencies of nitrogen and oxygen. The expressions for these coefficients and relaxation frequencies are provided in the Supplementary Material. Constants such as the relative humidity, absolute temperature, and saturation vapor pressure are listed in Supplementary Material.
Numerical implementation
The 3D Huygens’ principle model and resulting acoustic streaming force were implemented in MATLAB. The forces (sliced in 2D plane) were exported as CSV files and imported into COMSOL Multiphysics 6.2 using interpolation to apply the forces as volume forces. The workstation used for the simulations was equipped with an Intel Core i7-14700F CPU, 32 GB RAM, and an NVIDIA GeForce RTX 4060 GPU. A 2D mirror symmetry along the x = 0 boundary and a laminar flow model was assumed for all models. The modeled domain had a width of 200 mm and a height of 400 mm. Pressure outlet conditions were applied to the outer boundaries, while the bottom boundary (where the array was located) was modeled as a wall condition. Detailed descriptions of the numerical setup, mesh convergence test, and mesh resolution are provided in the Supplementary Material.
Data analysis
The experimentally obtained flow velocity fields were further analyzed in MATLAB by applying a 4th-order Butterworth low-pass filter with a cutoff frequency of 10 Hz to remove high-frequency noise. To minimize edge effects during filtering, the time-series data for each spatial point in the velocity field was symmetrically padded (sample processing for randomly selected case study with original and filtered data is available in the Supplementary Material). Missing or non-finite values in the data were replaced using cubic spline interpolation to ensure continuity. After filtering, spline fitting was applied to smooth the data further. The maximum velocity was calculated at each frame across all spatial points, with the mean and standard deviation of these maxima computed over the recorded frames. A single sample was taken per condition, and the standard deviation reflects temporal variations in the acoustic streaming velocity, as discussed in the “Discussion” section. This analysis was repeated for all experimental conditions, including variations in focal distances and cone angles. The results were subsequently compared to theoretical predictions from thermoviscous and atmospheric attenuation models to understand the most appropriate models for this type of scenario.
Data availability
The data that support the findings of this study are openly available in its supplementary material and figshare at https://doi.org/10.6084/m9.figshare.28657484.
Code availability
The MATLAB scripts implementing the three-dimensional Huygens’ principle model and acoustic-streaming force calculations will be deposited in a Figshare repository (DOI to be provided upon acceptance).
References
Muller, P. B. & Bruus, H. Numerical study of thermoviscous effects in ultrasound-induced acoustic streaming in microchannels. Phys. Rev. E 90, 043016 (2014).
Das, P. K., Snider, A. D. & Bhethanabotla, V. R. Acoustic streaming in second-order fluids. Phys. Fluids 32, 123103 (2020).
Karlsen, J. T. & Bruus, H. Forces acting on a small particle in an acoustical field in a thermoviscous fluid. Phys. Rev. E 92, 043010 (2015).
Wiklund, M., Green, R. & Ohlin, M. Acoustofluidics 14: applications of acoustic streaming in microfluidic devices. Lab a Chip 12, 2438–2451 (2012).
Hou, Z., Pei, Y., Xu, D., Yu, B. & Lin, Y. Fluid–structure boundary-driven simultaneous standard-inverse chladni patterns for selective particles manipulation. Phys. Fluids 37, 022109 (2025).
Hasegawa, K., Qiu, L., Noda, A., Inoue, S. & Shinoda, H. Electronically steerable ultrasound-driven long narrow air stream. Appl. Phys. Lett. 111, 064104 (2017).
Norasikin, M. A., Martinez-Plasencia, D., Memoli, G. & Subramanian, S. Sonicspray: a technique to reconfigure permeable mid-air displays. In Proc. 2019 ACM International Conference on Interactive Surfaces and Spaces 113–122 (ACM, 2019).
Hasegawa, K., Qiu, L. & Shinoda, H. Interactive midair odor control via ultrasound-driven air flow. In SIGGRAPH Asia 2017 Emerging Technologies 1–2 (ACM, 2017).
Nakajima, M., Hasegawa, K., Makino, Y. & Shinoda, H. Spatiotemporal pinpoint cooling sensation produced by ultrasound-driven mist vaporization on skin. IEEE Trans. Haptics 14, 874–884 (2021).
Fushimi, T., Marzo, A., Drinkwater, B. W. & Hill, T. L. Acoustophoretic volumetric displays using a fast-moving levitated particle. Appl. Phys. Lett. 115, 064101 (2019).
Hirayama, R., Martinez Plasencia, D., Masuda, N. & Subramanian, S. A volumetric display for visual, tactile and audio presentation using acoustic trapping. Nature 575, 320–323 (2019).
Koroyasu, Y. et al. Microfluidic platform using focused ultrasound passing through hydrophobic meshes with jump availability. PNAS nexus 2, pgad207 (2023).
Hasegawa, K., Yuki, H. & Shinoda, H. Curved acceleration path of ultrasound-driven air flow. J. Appl. Phys. 125, 1–7 (2019).
Stone, C., Azarpeyvand, M., Croxford, A. & Drinkwater, B. Characterising bulk-driven acoustic streaming in air. Ultrasonics 152, 107638 (2025).
Eckart, C. Vortices and streams caused by sound waves. Phys. Rev. 73, 68 (1948).
Riaud, A., Baudoin, M., Matar, O. B., Thomas, J.-L. & Brunet, P. On the influence of viscosity and caustics on acoustic streaming in sessile droplets: an experimental and a numerical study with a cost-effective method. J. Fluid Mech. 821, 384–420 (2017).
Li, S., Cui, W., Baasch, T., Wang, B. & Gong, Z. Eckart streaming with nonlinear high-order harmonics: an example at gigahertz. Phys. Rev. Fluids 9, 084201 (2024).
Li, S. & Gong, Z. Combined effect of acoustic radiation force and acoustic streaming for focused beams to trap cells in three dimensions. J. Acoust. Soc. Am. 156, A43–A43 (2024).
Montano-Murillo, R., Hirayama, R. & Plasencia, D. M. Openmpd: a low-level presentation engine for multimodal particle-based displays. ACM Trans. Graph. 42, 1–13 (2023).
Stamhuis, E. & Thielicke, W. Pivlab–towards user-friendly, affordable and accurate digital particle image velocimetry in matlab. J. open Res. Softw. 2, 30 (2014).
Marzo, A., Barnes, A. & Drinkwater, B. W. TinyLev: a multi-emitter single-axis acoustic levitator. Rev. Sci. Instrum. 88, 085105 (2017).
Marzo, A. et al. Holographic acoustic elements for manipulation of levitated objects. Nat. Commun. 6, 8661 (2015).
Fushimi, T., Hill, T. L., Marzo, A. & Drinkwater, B. W. Nonlinear trapping stiffness of mid-air single-axis acoustic levitators. Appl. Phys. Lett. 113, 034102 (2018).
Marzo, A. & Drinkwater, B. W. Holographic acoustic tweezers. Proc. Natl. Acad. Sci. 116, 84–89 (2019).
Hu, H., Wang, Y. & Wang, D. On the sound attenuation in fluid due to the thermal diffusion and viscous dissipation. Phys. Lett. A 379, 1799–1801 (2015).
Bass, H. E., Sutherland, L. C., Zuckerwar, A. J., Blackstock, D. T. & Hester, D. Atmospheric absorption of sound: further developments. J. Acoust. Soc. Am. 97, 680–683 (1995).
Acknowledgements
This work was supported by Japan Science and Technology Agency (JST) as part of Adopting Sustainable Partnerships for Innovative Research Ecosystem (ASPIRE), Grant Number JPMJAP2330. We would like to thank Murata Manufacturing Co., Ltd. for providing transducers used in experiments.
Author information
Authors and Affiliations
Contributions
C.S. and T.F. wrote the main manuscript text. C.S. and T.F. prepared the figures, performed formal analysis and visualization. C.S., Y.K., and T.F. developed the software. C.S., Y.K., Y.O., A.K., B.W.D., and T.F. contributed to the methodology and took part in discussions. Y.K., Y.O., A.K., B.W.D., and T.F. reviewed and edited the manuscript. Y.K. and C.S. curated the data. Y.O., A.K., and T.F. provided resources. B.W.D. and T.F. supervised the project and handled projectadministration. B.W.D. and T.F. acquired funding. T.F. led validation. All authors reviewed the manuscript.
Corresponding author
Ethics declarations
Competing interests
The authors declare no competing interests.
Additional information
Publisher’s note Springer Nature remains neutral with regard to jurisdictional claims in published maps and institutional affiliations.
Supplementary information
Rights and permissions
Open Access This article is licensed under a Creative Commons Attribution-NonCommercial-NoDerivatives 4.0 International License, which permits any non-commercial use, sharing, distribution and reproduction in any medium or format, as long as you give appropriate credit to the original author(s) and the source, provide a link to the Creative Commons licence, and indicate if you modified the licensed material. You do not have permission under this licence to share adapted material derived from this article or parts of it. The images or other third party material in this article are included in the article’s Creative Commons licence, unless indicated otherwise in a credit line to the material. If material is not included in the article’s Creative Commons licence and your intended use is not permitted by statutory regulation or exceeds the permitted use, you will need to obtain permission directly from the copyright holder. To view a copy of this licence, visit http://creativecommons.org/licenses/by-nc-nd/4.0/.
About this article
Cite this article
Stone, C., Koroyasu, Y., Ochiai, Y. et al. Experimental and numerical study of acoustic streaming in mid-air phased arrays. npj Acoust. 2, 4 (2026). https://doi.org/10.1038/s44384-025-00040-7
Received:
Accepted:
Published:
Version of record:
DOI: https://doi.org/10.1038/s44384-025-00040-7







