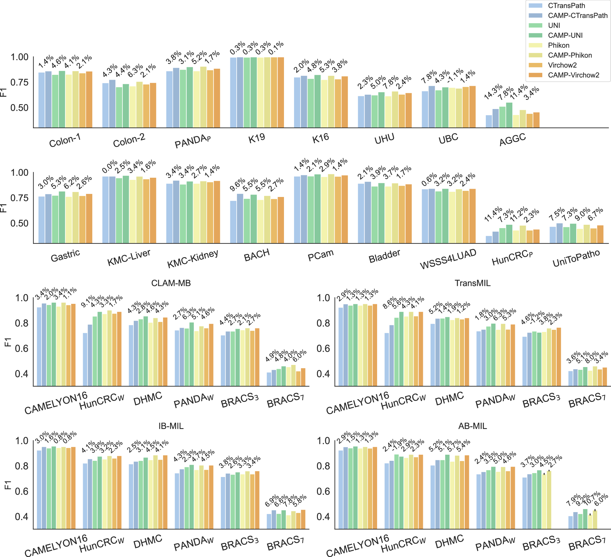
Fig. 5: Bar plots depicting the performance of CAMP with four foundation models for both patch- and slide-level classification.
From: CAMP: continuous and adaptive learning model in pathology

The percentages indicate the relative changes in the F1 score.