Abstract
As global warming accelerates, surface ozone (O₃) pollution under high-temperature conditions poses growing environmental and health risks. This study analyzes observational data from China and the United States to assess how rising temperatures impact ozone formation. Results show a stronger ozone–temperature sensitivity in China, with climate penalty factors of 2.9 μg·m−3 °C−1 vs 2.1 μg·m−3 °C−1 in the U.S. Structural equation modeling reveals that direct temperature effects dominate, while photochemical modeling attributes China’s heightened response to elevated NOₓ and VOC emissions. Under prolonged heat events, ozone increases plateau or decline in the U.S., but remain pronounced in China. During COVID-19 lockdowns, emission reductions curbed ozone levels in China but not in the U.S., where meteorological factors prevailed. These findings highlight the urgent need for region-specific emission control, improved heat-adaptive air quality management, and alignment with climate goals to mitigate ozone pollution in a warming world.
Similar content being viewed by others
Introduction
In the context of escalating global warming and air pollution, the processes involved in the generation of surface ozone (O₃) have garnered significant attention. This process is notably influenced by precursor emissions and meteorological conditions, with surface temperature serving as a key driver1,2. Existing studies have indicated a close correlation between urban ozone pollution and the occurrence of high-temperature events. In North America and Europe, summer ozone pollution is often nonlinearly related to temperature, particularly in areas with severe pollution3. Research has shown that during heat waves, both the frequency and intensity of ozone pollution significantly increase. Bloomer et al.4 define the climate penalty factor (CPF) as the slope of ozone vs temperature. Within specific temperature ranges, such as 22–39 °C in California, ozone concentrations rise by 2–8 ppb for every 1 °C increase in temperature5. In the Yangtze River Delta region of China, during a heatwave in 2013, an increase of 1 °C in temperature led to a rise in O₃ concentrations by 4–5 ppb6. Driven by global climate change, the frequency and intensity of extreme high-temperature events are projected to continue rising over the coming decades7,8. Therefore, understanding the impact of temperature changes on ozone formation and accumulation has become increasingly urgent.
The mechanisms by which rising temperatures influence surface ozone levels are complex and multifaceted. Higher temperatures directly accelerate the reaction rates of chemical processes related to ozone formation. Under warmer conditions, ozone precursors such as volatile organic compounds (VOCs) and nitrogen oxides (NOx) oxidize more readily, accelerating ozone production5. Additionally, elevated temperatures can increase emissions from both anthropogenic and natural sources9, with biogenic VOC emissions nearly doubling during high-temperature periods. Field measurements of atmospheric VOC concentrations10,11, along with satellite observations of formaldehyde column levels12, also reveal significant increases during warmer periods. Higher temperatures can drive up urban energy demand, increasing NOx emissions from power plants13,14. Using satellite measurements and inverse modeling, Liu et al.15 also noted that the satellite NO2 column over thermal power plants in China and India was enhanced by 4.1–23.7% during heatwaves. In the eastern U.S., power plant NOx emissions rise by ~2.5–4.0% per °C on hot summer days, elevating surface NOx concentrations by 0.10–0.25 ppb/ °C. This contributes approximately one-third of the observed CPF16. Temperature increases also decompose NOx reservoir species such as peroxyacetyl nitrate (PAN), releasing NOx and further promoting ozone formation17,18. The sensitivity of ozone formation to temperature varies significantly across regions with different NOx/VOCs ratios19,20,21. For example, in rapidly industrializing areas such as China, increased NOx emissions have been shown to intensify ozone responses to temperature changes22, while in regions like the US, the relationship between NOx and temperature–ozone dependence may differ due to contrasting emission patterns and regulatory measures. Extreme heat events often coincide with drought and stable atmospheric conditions, which together exacerbate ozone pollution levels9,23,24,25,26. During drought, reduced stomatal uptake by plants hinders ozone dry deposition, further elevating ozone concentrations27,28. Therefore, as the frequency of extreme heat events increases, the “ozone-climate penalty” associated with global warming may offset the benefits of reduced anthropogenic precursor emissions, undermining air quality improvements5.
Despite the extensive research on the influence of temperature on surface ozone concentrations, significant gaps remain. Current studies primarily focus on short-term analyses of specific regions or individual meteorological events6,21,26,29,30,31,32, lacking support from cross-regional, long-term observational data. The scientific need for global ozone pollution management calls for a more comprehensive spatial coverage and temporal scale to elucidate the cross-regional impact of temperature changes on ozone pollution. Moreover, while correlations between temperature and ozone have been frequently documented, the underlying mechanisms driving these responses—particularly under varying meteorological and emission conditions—are still not fully understood. These limitations hinder our ability to develop transferable insights for ozone pollution control in the face of global climate change.
To address the aforementioned research gaps, this study integrates long-term observational data (2015–2022) from China and the United States, combining statistical analysis, structural equation modeling (SEM), and a photochemical box model to systematically investigate the relationships among rising temperatures, extreme heat events, and surface ozone pollution. Through a cross-country comparison, we reveal how differences in emission structures and meteorological conditions influence the sensitivity of ozone to temperature. SEM is applied to disentangle the direct and indirect pathways through which temperature affects ozone concentrations, while the box model explores the role of precursor emissions in modulating the CPF. Distinct from previous studies that primarily rely on descriptive analysis, this research develops an integrated framework with both quantitative and causal explanatory power. Moreover, by leveraging the emission reductions during the COVID-19 lockdown as a quasi-natural experiment, we identify the relative contributions of meteorological and emission factors to high-temperature-induced ozone pollution. This methodological integration enhances our understanding of the climate penalty mechanism and provides a robust scientific basis for developing region-specific, climate-adaptive air quality management strategies.
Results
Correlation between temperature and ozone
This study systematically investigates the correlation between surface ozone (O₃) concentrations and temperature, establishing three distinct correlation types. A Significant Positive Correlation is characterized by a p-value less than 0.05 and a correlation coefficient (r) greater than 0, indicating a direct relationship between temperature and ozone levels. A Significant Negative Correlation is defined by a p-value less than 0.05 and a negative correlation coefficient (r < 0), showing an inverse relationship. Finally, No Significant Correlation is identified when the p-value is greater than or equal to 0.05, indicating that temperature and ozone levels lack a statistically significant relationship. To enhance the mechanistic understanding beyond correlation analysis, we further employed a SEM framework (described in the section “Discussion”) to quantify both the direct and indirect effects of temperature on ozone via multiple mediating variables, such as formaldehyde (HCHO), planetary boundary layer height (PBLH), and surface downward shortwave radiation (SWGDN). This framework enables a refined understanding of how temperature variations influence ozone levels, contributing to the broader discourse on air quality and climate interactions.
Figure 1 illustrates the spatial distribution of the correlation between daily average temperatures and maximum 8-h sliding average (MDA8) surface ozone concentrations at various monitoring sites across China and the United States from April to October, spanning the years 2015 to 2022. In China, 85.3% of the monitoring sites show a significant positive correlation (p < 0.05 and r > 0) between temperature and ozone levels, with a concentration in regions such as northern China, the Chuan-Yu region, and Xinjiang. This is largely attributed to the rapid urbanization and high population density in northern China and the Chuan-Yu region, which result in substantial emissions of ozone precursors, such as NOx and VOCs. These emissions provide abundant raw materials for photochemical reactions, which are further accelerated by the urban heat island effect and higher local temperatures, leading to increased ozone formation33. Additionally, the basin topography of Xinjiang hampers the dispersion of pollutants, causing the accumulation of ozone precursors, while intense solar radiation under high temperatures enhances ozone production efficiency. These regions’ positive correlation between temperature and ozone levels has been documented in previous studies34, highlighting that the combined effects of high temperatures and ozone precursors are the primary drivers of elevated ozone concentrations in these areas. On the other hand, 9.5% of the sites exhibit a significant negative correlation (p < 0.05 and r < 0), primarily located in southeastern coastal regions, such as Guangdong, Fujian, and Zhejiang, as well as in Tibet and Yunnan. In the southeastern coastal areas, as temperatures rise, the increased atmospheric water vapor content in these already humid environments enhances ozone wet deposition processes. Additionally, the composition of VOCs released by vegetation may change under higher temperatures, altering the chemical reaction pathways of ozone precursors. These combined factors result in decreased ozone concentrations with rising temperatures, creating a negative correlation35. In Tibet and Yunnan, the unique high-altitude terrain and ecological conditions reduce the sensitivity of ozone formation to temperature changes, leading to a negative correlation between temperature and ozone levels. Approximately 5.2% of the sites show no significant correlation (p ≥ 0.05), mainly found in remote areas or nature reserves where the relationship between temperature and ozone is less pronounced. This spatial analysis highlights the complex interactions between geographical, ecological, and urban factors that influence ozone dynamics across different regions of China.
Spatial distribution of the correlation between daily average temperature and maximum daily 8-h running average ozone concentration across monitoring sites in China (a) and the United States (b) from April to October, 2015–2022. Circles in different colors indicate the correlation between temperature and ozone concentration. The colors transition from blue to red, representing a shift from negative to positive correlations, with blue indicating negative correlation and red indicating positive correlation. Circles, squares, and triangles represent significant positive correlation, significant negative correlation, and no significant correlation, respectively. The significance level is generally set at p < 0.05.
In the United States, 90.5% of the monitoring sites exhibit a statistically significant positive correlation (p < 0.05 and r > 0) between surface ozone levels and temperature, while 4.9% show a significant negative correlation (p < 0.05 and r < 0), and 4.6% show no significant correlation (p ≥ 0.05). Stations with significant positive correlations are predominantly located in the western and midwestern regions, particularly in California, Utah, and Colorado, which are heavily affected by industrial activities and vehicle emissions. California, in particular, experiences severe photochemical smog problems, where temperature increases markedly enhance ozone formation. Conversely, significant negative correlations are primarily observed in the southeastern United States, including Texas and Florida, where high humidity and unique topographical characteristics may suppress ozone formation. Additionally, some rural and agricultural areas exhibit negative correlations due to specific ecological factors. In the southern interior, the correlation between ozone and surface temperature is relatively weak. Previous studies suggest that MDA8 ozone concentrations in this region are influenced by larger-scale weather phenomena, such as the Bermuda High and low-level jets over the Great Plains36, though the specific impacts of these phenomena on ozone pollution events remain unclear.
In summary, the spatial distribution of the temperature–ozone correlation is influenced by factors such as latitude, urbanization, and land use. In warmer and sunnier regions, like China’s eastern coastal areas, high temperatures and abundant sunlight facilitate ozone production, resulting in positive correlations. By contrast, cooler or more humid regions, such as the southeastern United States, experience lower temperatures and higher humidity levels, which inhibit photochemical reactions, leading to negative correlations. Highly urbanized areas—including major city clusters in eastern China, the U.S. Midwest, and California—typically emit substantial quantities of ozone precursors (e.g., NOx and VOCs). In these regions, the urban heat island effect raises local temperatures, promoting ozone generation and yielding a positive correlation between temperature and ozone levels. In contrast, rural or densely vegetated areas with less human activity may exhibit different temperature–ozone relationships compared with urban areas. The complex photochemical environment in these regions is affected by multiple factors, including NOx limiting conditions, changes in relative humidity (RH), and differences in precursor emission patterns37,38. Regional meteorological conditions, including wind patterns and boundary layer dynamics, further modulate these relationships, leading to spatial heterogeneity in temperature–ozone correlations across different landscapes. This complex interaction between climate and anthropogenic factors highlights the need for a nuanced understanding of how different environments influence ozone dynamics, underscoring the importance of air quality management strategies tailored to regional characteristics. These findings underscore the necessity of region-specific modeling approaches for temperature–ozone interactions.
Trends in temperature and ozone changes
The relationship between daily average temperature (tavg) and maximum daily 8-h average ozone concentration (MDA8) at monitoring sites across China and the United States from April to October, 2015 to 2022, reveal a steady upward correlation between temperature increases and rising ozone levels (Fig. 2). Overall, rising temperatures are associated with an increase in ozone concentrations in both China and the United States, consistent with findings from previous studies4,5,39. This temperature–ozone relationship generally appears linear, though its magnitude varies according to regional emission characteristics and meteorological conditions40,41,42. The slope of this relationship, often defined as the “climate penalty factor”4, quantifies the change in ozone concentration per 1 °C increase in temperature, thereby measuring the impact of warming on exacerbating ozone pollution. In this study, the CPF was found to be 1.57 μg/m³ °C−1 for China and 1.13 μg/m³ °C−1 for the United States when considering the full temperature range (0–35 °C and above). However, it is important to note that the linear relationship between temperature and ozone becomes less applicable under extremely high temperatures (>35 °C). This nonlinearity highlights the need to move beyond traditional linear modeling approaches. In China, extremely high temperatures limit ozone formation, leading to a non-linear response, while in the United States, although extremely high temperatures still promote ozone generation, the uncertainty increases significantly. Therefore, for the 0–35 °C range, the CPF was 1.70 μg/m³ °C−1 for China and 1.15 μg/m³ °C−1 for the United States, reflecting a more robust linear relationship within this interval.
The solid lines represent the multi-year mean values, while the shaded areas around the lines indicate the standard error of the mean (±1 SE).
Significant differences are observed in the temperature sensitivity of ozone concentrations between China and the United States across various temperature ranges. In China, ozone levels increase markedly with temperature in the 10–25 °C range, with a CPF of 1.98 μg/m³ °C−1, indicating that warming in this range promotes ozone formation. However, in the 25–30 °C range, the response becomes nearly neutral, suggesting a potential limitation by precursor availability or reduced chemical production efficiency. A sharp increase in ozone concentration is observed in the 30–35 °C range, where the CPF rises to 6.04 μg/m³ °C−1, indicating high sensitivity of ozone formation to temperature. In contrast, under extreme heat conditions (>35 °C), the slope drops dramatically to 0.13 μg/m³ °C−1, reflecting a strong suppressive effect of high temperatures on ozone production. In comparison, the United States exhibits a different response pattern. Ozone concentrations show a moderate increase in the 10–25 °C range (0.91 μg/m³ °C−1), followed by a notable decline in the 25–30 °C range, with a greater negative slope than in China, indicating a stronger temperature-inhibiting effect. However, ozone levels rise rapidly in the 30–35 °C range, with a slope of 4.49 μg/m³ °C−1, and maintain a strong positive response even beyond 35 °C. This contrasts sharply with the suppressive trend observed in China at similar temperature levels, suggesting that under extreme heat conditions, ozone formation potential remains high in the U.S., whereas it is more likely to be inhibited in China. These segmented trends reveal that ozone–temperature relationships are highly nonlinear and region-specific, necessitating differentiated policy responses.
Analysis of the confidence intervals (shaded areas in the figure) reveals that ozone concentration fluctuations are greater in China. This indicates a high degree of variability in China’s ozone responses to temperature, likely influenced by diverse emission sources and complex meteorological conditions. Furthermore, China’s mountainous terrain and varied climate across regions may make ozone concentrations more susceptible to other environmental factors, such as humidity and wind speed (WSPD), under extreme heat43. In comparison, the narrower confidence interval for the United States suggests a more consistent temperature–ozone response, potentially attributable to the country’s relatively flat terrain and stronger air circulation, resulting in more even ozone distribution.
To further examine the spatial effects of warming on ozone pollution, we conducted a spatial distribution analysis of the CPF for MDA8 ozone concentrations from April to October during 2015 to 2022, at urban monitoring sites in China and the United States. Figure 3 displays the spatial distribution of ozone responses to temperature across different regions. Results reveal that in areas with a strong positive correlation between temperature and ozone, the CPF reaches a maximum of 2.9 μg/m³ °C−1 in China and 2.1 μg/m³ °C−1 in the United States. Conversely, in regions with a negative correlation, the average decrease is 1.8 μg/m³ °C−1 in China, compared to 0.8 μg/m³ °C−1⁻; in the United States. In China, regions with strong positive correlations and high CPFs are primarily concentrated in the Jing–Jin–Ji (JJJ) region and surrounding areas, the Fenwei Plain, and the Sichuan Basin. In the United States, such areas are mainly located in California and the northeastern urban corridor. These spatial differences highlight the critical roles of regional climate characteristics and emission source profiles in ozone formation. A combined analysis of the CPF and correlation distribution further underscores regional differences in ozone generation mechanisms. These findings suggest that future air quality management should account for regional climate traits and emissions characteristics to effectively address the potential exacerbation of ozone pollution under warming conditions through more targeted regulation strategies.
Spatial distribution of sensitivity of ground-level ozone concentrations (MDA8) to daily average temperature changes at monitoring sites in China (a) and the United States (b) from April to October 2015–2022. Different colors represent the sensitivity of ozone concentration to temperature variations, with a gradient from blue to red indicating the range from a decrease in ozone concentration (blue) to an increase (red). Circles, squares, and triangles represent significant positive correlation, significant negative correlation, and no significant correlation, respectively. The significance level is typically set at p < 0.05.
High temperatures are often associated with atmospheric stagnation conditions (e.g., low wind speeds and poor vertical mixing) or increased anthropogenic emissions (e.g., higher electricity consumption and industrial activity during heat waves), both of which contribute to ozone formation. To better understand and quantify the complex pathways through which temperature influences surface ozone (O₃) concentrations, this study employs SEM—a statistical technique that allows for the analysis of both direct and indirect relationships among multiple interrelated variables within a hypothesized causal framework. SEM is particularly suited for this study because it enables us to disentangle the multifaceted effects of temperature on O₃, including both meteorological and emission-related pathways, while accounting for interactions among variables. Using this approach, we quantify the direct, indirect, and total effects of temperature on O₃ concentrations and examine the spatial distribution of these effects across China and the United States during the warm season (April to October) from 2015 to 2022 (Fig. 4). Model performance was evaluated using two common fit indices: the comparative fit index (CFI) and the root mean square error of approximation (RMSEA). The CFI and RMSEA values for China and the United States are 0.92 and 0.10, respectively, indicating an acceptable model fit. The results further show that the total effect of temperature on O₃ closely matches the spatial distribution of the CPF, with coefficients of determination (R²) of 0.92 for China and 0.89 for the United States. These findings demonstrate the effectiveness of the SEM framework in capturing the underlying mechanisms of temperature-induced O₃ variations.
Spatial patterns of temperature effects on surface ozone (μg·m−3·°C−1) are shown for China (a–c) and the United States (d–f). Panels display the total effects (a, d), direct effects (b, e), and indirect effects (c, f), as estimated using a SEM. Blue-to-red color gradients represent the direction and magnitude of the effects: blue indicates negative effects and red indicates positive effects. The color intensity corresponds to the absolute strength of the effect, with darker shades indicating stronger effects. Markers denote statistical significance: circles represent significant positive effects, squares indicate significant negative effects, and triangles denote non-significant effects (p < 0.05).
In the total effect, the direct effect of temperature on surface ozone (O₃) concentrations is dominant, whereas the indirect effects—such as the negative contribution of RH—are relatively weak and insufficient to fully counterbalance the positive influence of temperature. Results from the SEM indicate that temperature indirectly affects O₃ through multiple meteorological and chemical pathways, with substantial regional heterogeneity in these mechanisms. This result is further supported by photochemical model simulations, which confirm that in high-NOx and VOC environments, ozone sensitivity to temperature is significantly enhanced.
For the direct effect, temperature shows a significant positive influence on O₃ concentrations in both China and the United States. High-value regions are predominantly located in urban and industrial agglomerations, such as the Jing–Jin–Ji region in China and the northeastern industrial belt in the U.S. Elevated temperatures enhance photochemical reaction rates, thereby promoting O₃ formation. In addition, high emissions of NOx and VOCs in these areas further amplify the temperature-driven enhancement of O₃ production. For the indirect effects, temperature influences O₃ levels through several mediating variables, including RH, precipitation (PRCP), WSPD, PBLH, formaldehyde (HCHO), and nitrogen dioxide (NO₂). The indirect effect via RH is negative in both countries. On one hand, summer heat is often accompanied by elevated humidity; on the other hand, higher humidity tends to increase aerosol levels and suppress photochemical reactions, thereby reducing O₃ formation44,45. The PRCP pathway exhibits spatial variability, with both positive and negative effects across different regions. PRCP generally helps to remove precursors and dilute pollutants, leading to a negative effect. However, in some areas, high temperatures may alter regional atmospheric circulation patterns (e.g., monsoon systems), thereby affecting the spatial distribution and intensity of PRCP and consequently its impact on O₃ levels46. The indirect effect via WSPD is mainly positive in the U.S. Under high-temperature conditions, increased wind speeds can facilitate regional transport of O₃ and its precursors, potentially raising local O₃ concentrations in downwind areas44,45. In China, however, this pathway is relatively weak, possibly due to the dense distribution of urban clusters and complex emission sources. The indirect effect via PBLH is generally positive. Higher temperatures enhance surface sensible heat flux, which elevates the boundary layer height, intensifying vertical mixing. This process facilitates the downward transport of O₃ from aloft and enlarges the spatial domain for active photochemistry, potentially worsening surface O₃ pollution in some regions. However, a higher PBLH may also dilute surface pollutants, leading to region-specific effects47. The HCHO pathway is mostly positive across both countries. High temperatures increase the emissions of biogenic and anthropogenic VOCs, enhancing HCHO formation, which in turn raises the concentration of O₃ precursors and indirectly promotes O₃ production48. The NO₂ pathway is predominantly negative. While temperature increases may elevate electricity demand and NO₂ emissions, they also enhance the NO₂ titration effect (i.e., the reaction between NO₂ and O₃ to form NO₃), thereby reducing the efficiency of O₃ formation48. In summary, temperature regulates O₃ concentrations through multiple mediating variables, and the magnitude and direction of each pathway jointly determine the overall strength and sign of the indirect effect of temperature on O₃.
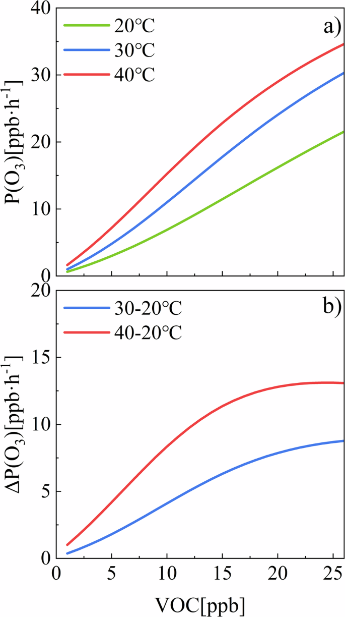
Temperature plays a dominant role in the relationship between ozone and temperature by directly influencing O₃ formation. Rising temperatures can significantly enhance the chemical production of O₃ by accelerating photochemical reaction rates and increasing precursor emissions. Using a photochemical box model, Li et al.21 analyzed the interactions among O₃, NOₓ, VOCs, and temperature. Their results indicate that the O₃-NOₓ-temperature isopleth exhibits a nonlinear pattern, which can be classified into three regimes: the low-NOₓ regime, the maximal-O₃ regime, and the high-NOₓ regime. In the high-NOₓ regime (typically > 20 ppbv), O₃ mixing ratios increase rapidly with temperature. The maximum O₃ production is observed at high temperatures and moderate NOₓ levels (i.e., within the maximal-O₃ regime). In contrast, under the low-NOₓ regime, O₃ formation is minimal and shows a weaker temperature dependence across a wide temperature range. A comparison of NO₂ column densities between China and the United States reveals that NO₂ levels in China are approximately twice those in the U.S., suggesting that a larger proportion of regions in China fall within the high-NOₓ or maximal-O₃ regimes. Consequently, temperature has a stronger impact on O₃ formation in China. Moreover, VOC emissions play a critical role in modulating the temperature sensitivity of O₃. To investigate the influence of temperature on ozone production rates under varying VOC concentrations, we employed a photochemical box model constrained by observational data obtained at the Peking University site in Beijing during 10:00–15:00 local time in the summer of 2020. Photochemical box model simulations (Fig. 5) demonstrate that higher VOC concentrations lead to a greater sensitivity of O₃ production to temperature. As temperature increases from 20 °C to 40 °C, P(O₃) rises significantly, particularly under higher VOC conditions. According to the U.S. Environmental Protection Agency49, anthropogenic VOC emissions in the United States reached 14.5 Tg in 2023. In contrast, Li et al.50 reported that VOC emissions in China increased from 9.76 Tg in 1990 to 28.5 Tg in 2017. The substantially higher VOC emissions in China further amplify the response of O₃ formation to temperature increases, making O₃ more sensitive to temperature changes in China than in the U.S. In summary, photochemical box model simulations suggest that the heightened sensitivity of O₃ to temperature in China is primarily attributed to elevated NO₂ column densities, which place China in the high-NOₓ or maximal-O₃ regime more frequently. Additionally, the higher VOC emissions further strengthen the dependence of O₃ production on temperature. These findings underscore the necessity of coordinated NOₓ and VOC emission controls to mitigate ozone pollution in China, particularly in the context of global warming.
a PO3 concentrations as a function of VOC concentrations under three temperature scenarios (20 °C, 30 °C, and 40 °C). b ΔPO3 as a function of VOC concentrations, where ΔPO3 represents the change in PO3 relative to 20 °C. Two series are shown: ΔPO3 = PO3 (30 °C) − PO3 (20 °C) and ΔPO3 = PO3 (40 °C) − PO3 (20 °C).
Ozone pollution under high-temperature conditions
Surface ozone concentrations typically exhibit a linear relationship with surface temperature. However, under extreme temperature conditions, this linear relationship may change. For example, Steiner et al.5 found in a study in California that ozone generation can be suppressed once temperatures reach a certain threshold. Additionally, Rieder et al.51 pointed out that the extreme values in the distribution of ground-level ozone concentrations do not follow a Gaussian distribution, meaning that simple linear regression analysis may underestimate the frequency of ozone exceedance events. Therefore, it is necessary to further explore the dynamic changes in ozone pollution under extreme temperatures and analyze the impact of different high-temperature conditions on the increase in ozone concentrations.
Figure 6 illustrates the spatial distribution of ozone exceedance (O₃ > 120 μg·m−3) in China and the United States under high-temperature conditions (T > 30 °C) from April to October during 2015 to 2022. In China, areas with a high number of ozone exceedance days are concentrated in densely populated and highly industrialized regions, such as the Yangtze River Delta, Jing–Jin–Ji, and Sichuan Basin. As the number of exceedance days increases from one day to three days or more, the exceedance areas gradually concentrate in the eastern and central regions (Fig. S1). Particularly in the middle and lower reaches of the Yangtze River and the North China Plain, there is a significant increase in the number of ozone exceedance days due to prolonged high temperatures. This indicates that ozone exceedances in China are especially prominent in areas with many high-temperature days and intensive industrial emissions.
Spatial distribution of ozone exceedance (O₃>120 μg·m−3) under high-temperature conditions (T > 30 °C) at various monitoring stations in China (a) and the United States (b) from April to October 2015–2022. Markers denote statistical significance: circles represent significant positive effects, squares indicate significant negative effects, and triangles denote non-significant effects (p < 0.05).
In the United States, the areas with high ozone exceedances are primarily concentrated in certain parts of California and urban areas in the Northeast. These regions experience many high-temperature days and are significantly influenced by human activities such as traffic and industrial emissions. Moreover, there are also a few exceedance occurrences in the Midwest and Southeast regions of the U.S. The continuous exceedance days in the U.S. are mainly concentrated in California, particularly around the Los Angeles area, where the interplay between high temperatures and ozone pollution leads to pronounced continuous exceedance phenomena (Fig. S5). Although some areas in the central and eastern U.S. also experience continuous exceedances, they are generally more dispersed and do not form large-scale, persistent exceedance areas. However, under prolonged heatwave conditions, 3-day or longer heatwave (TDLH), ozone concentrations in the U.S. show a noticeable decline in growth rate, with the increase dropping by approximately 28–34%, indicating the presence of a “plateau effect.” In contrast, China still exhibits a sustained ozone increase of 18–22% under TDLH, suggesting a higher risk of persistent ozone pollution under extreme heat.
The distribution of ozone exceedance under high-temperature conditions shows significant differences between China and the United States. In China, exceedance areas are concentrated in eastern and central regions with high temperatures and dense pollution emissions, while in the United States, ozone exceedances are primarily focused in California and a few urban areas in the Northeast. The issue of ozone exceedances under high-temperature conditions exhibits different regional distribution characteristics in the two countries; however, the promoting effect of temperature on ozone concentrations is evident in both.
To further distinguish the impact of high temperatures on ozone, high-temperature conditions are classified into four categories: High Temperature (HT, temperature ≥ 30 °C), which includes all heatwave durations; 1-day heatwave (ODH, HT lasting exactly 1 day), 2-day heatwave (TDH, HT lasting 2 consecutive days), and 3-day or longer heatwave (TDLH, HT lasting 3 days or more). Figure 7 presents the changes in ozone concentrations in China and the United States under different high-temperature conditions, evaluated relative to the baseline conditions (Baseline, temperature 0–30 °C). Under high-temperature conditions, the overall ozone concentrations in both countries increase, but the magnitude of the increase shows significant differences. In China, the increase in ozone concentrations under various high-temperature conditions exceeds that of the United States, indicating a more pronounced impact of high temperatures on ozone levels in China. Specifically, the ozone increases in China under HT, ODH, TDH, and TDLH conditions are 21.1%, 20.9%, 19.6%, and 17.2%, respectively, whereas the corresponding increases in the United States are 7.2%, 7.4%, 6.5%, and 7.5%. This trend indicates that ozone pollution in China is relatively more severe under high-temperature conditions.
The impact of high-temperature conditions and their duration on ozone concentrations in China (a) and the United States (b) from April to October 2015–2022. The relative changes in ozone concentrations compared to baseline conditions are highlighted in red, reflecting the increases in ozone concentrations under different high-temperature conditions. HT, defined as any day with a temperature of ≥30 °C, which includes all heatwave durations; ODH, which refers to a HT lasting for exactly 1 day; TDH, representing a HT lasting for two consecutive days; and TDLH, indicating high temperatures persisting for 3 days or more consecutive days. Baseline conditions are defined as temperatures between 20 °C and 30 °C, serving as a reference for evaluation. Each box spans the interquartile range (IQR, 25th to 75th percentiles), the central horizontal line within the box indicates the median value, and the red triangle inside the box marks the mean value. The upper and lower whiskers (horizontal lines extending from the box) cover data within 1.5× IQR of the quartiles, with outliers beyond this range omitted for clarity.
As the duration of high temperatures increases, the increase in ozone concentrations in both countries does not show a continuous upward trend; instead, it tends to slow down under extreme high-temperature conditions (3 days or more). Notably, in China, the ozone increase is relatively large under HT and ODH conditions, but it decreases to 17.2% under TDLH conditions. This phenomenon may be attributed to the combined effects of stagnant atmospheric conditions and precursor consumption. During the initial stage of heatwaves (ODH), stagnant atmospheric conditions coupled with sufficient precursor substances (such as NOx and VOCs) promote ozone formation6,52. However, as heatwaves persist, the rapid depletion of precursors gradually becomes a limiting factor, slowing the increase in ozone concentrations. In the United States, the increase under ODH conditions is slightly higher than that under 2-Day and 3-Day conditions; this relatively stable increase pattern may reflect the effectiveness of emission control and air quality management in the United States. These findings suggest that the “platform effect” observed in ozone response to prolonged heat is a manifestation of atmospheric chemical saturation, especially in regions with high precursor loads. This insight challenges the traditional assumption of linear ozone–temperature relationships and offers new direction for threshold-based early warning and policy design.
Regionally, there are significant differences in sensitivity to the duration of high temperatures. In China, economically developed areas such as Jing–Jin–Ji and the Pearl River Delta show particularly pronounced ozone increases under high-temperature conditions, with exceedances exceeding 30% under ≥30 °C, ODH, and TDH conditions (Fig. S6). These significant increases in these areas may be related to the enhanced reactivity of industrial and traffic emissions under high temperatures. Additionally, these regions also exhibited higher temperature sensitivity in previous analyses correlating temperature and ozone, suggesting a higher risk of ozone pollution during prolonged high temperatures.
In contrast, the ozone variation in different regions of the United States shows considerable regional disparity. For example, the Mountain Division and the Pacific Division exhibited significant increases in ozone concentrations, exceeding 30.0% under various high-temperature conditions. In contrast, other regions demonstrated relatively minor increases under similar conditions (Fig. S4). The East South Central Division and the South Atlantic Division exhibit lower sensitivity to high-temperature conditions. In summary, the overall increase in ozone concentrations in China is significantly higher than that in the United States, with notable regional differences. The economically developed regions, such as Jing–Jin–Ji, the Yangtze River Delta, and the Pearl River Delta, are particularly sensitive to ozone increases due to prolonged high temperatures, while the Pacific Division in the United States shows the most significant ozone increase under extreme high temperatures. This analysis provides a scientific basis for controlling ozone pollution during high-temperature weather, suggesting that targeted pollution reduction measures should be implemented in these temperature-sensitive regions. These results provide a scientific basis for region-specific ozone pollution control during heatwaves and underscore the importance of incorporating heatwave persistence and precursor regime into air quality strategies in a warming climate.
Ozone enhancement under emission reduction scenarios
To compare temperature-related changes and the impacts of anthropogenic emission reductions between China and the United States, we divided the data into three sub-periods: 2015–2019 (P1), 2020 (P2), and 2021–2022 (P3). P1 (2015–2019) represents pre-pandemic normal emission levels. P2 (2020) corresponds to the peak of global COVID-19 lockdown measures, with significant emission reductions, while P3 (2021–2022) reflects a phase of gradual economic recovery, where emissions had not yet fully returned to pre-pandemic levels. This period segmentation enables a quasi-natural experiment to evaluate the effectiveness of emission control policies under real-world meteorological conditions.
At the start of 2020, strict lockdowns in China significantly reduced traffic and industrial activity in major cities, leading to notable declines in emissions of NOx) and VOCs53,54. Studies show that nationwide NOx emissions dropped by approximately 30%55,56, with even greater reductions in cities like Beijing and Shanghai57,58. In contrast, VOC emissions saw a smaller decline, as some sources, such as the chemical industry, continued operations despite the lockdown55,59,60. Following the easing of lockdown measures, NOx emissions began to recover, but by the end of 2020, emission levels were still lower than in 2019, especially in the transportation sector. This combination of meteorological factors and emission reductions led to ozone pollution increases in parts of China. In regions with low NOx levels, complex chemical reactions contributed to higher ozone concentrations, with factors like increased solar radiation and reduced RH playing a significant role in elevated ground-level ozone in southern China. Overall, meteorological changes played a greater role than emission reductions in exacerbating ground-level ozone pollution during the COVID-19 lockdown in China61.
In contrast, the United States implemented less stringent and inconsistent lockdown measures, resulting in variable emission reductions across states62. Nationwide, NOx emissions decreased by 22–26% on average63, with larger reductions observed in major cities like Los Angeles and New York, where traffic declined sharply55,64. As lockdown measures were lifted, economic activities recovered quickly, leading to a near-return of emission levels to pre-pandemic levels by 2021 and 202265,66.
Figure 8 presents a detailed assessment of ozone enhancement associated with high-temperature (HT, ≥30 °C) conditions during April–June across three emission periods in China and the United States. Ozone enhancement is defined as the concentration difference between HT days and baseline days (Base, 20–30 °C). Combined with satellite-derived formaldehyde (HCHO) and nitrogen dioxide (NO₂) column densities, as well as surface temperature (T) and surface downwelling shortwave radiation (SWGDN), the analysis (Fig. S8) elucidates the interplay between emission changes, meteorological factors, and high-temperature ozone pollution. By isolating meteorological influences from anthropogenic ones, we can better understand the relative contributions of each to ozone pollution under warming conditions.
Comparative analysis of ozone enhancement under high-temperature conditions across emission phases in China and the United States (April–June, 2015–2022).
During P1, ozone concentrations in China under HT conditions averaged 113.7 μg/m³, representing an increase of 2.1 μg/m³ relative to baseline levels, indicating a modest amplifying effect of HT on ozone pollution. In P2, despite similar HT-day average temperatures (30.9 °C vs 31.1 °C in P1), ozone concentrations declined to 109.1 μg/m³, which is 4.6 μg/m³ lower than in P1 under HT conditions. This decline coincided with reductions in NO₂ and HCHO column densities under HT conditions by 0.6 × 10¹⁵ mol/cm² and 0.8 × 10¹⁵ mol/cm², respectively, reflecting the effectiveness of coordinated emission controls in reducing ozone precursors during heat events. In P3, as anthropogenic emissions rebounded, ozone under HT increased to 132.3 μg/m³, which is 23.2 μg/m³ higher than in P2. Concurrently, HCHO concentrations under HT conditions increased by 2.2 × 10¹⁵ mol/cm², further supporting the role of precursor emissions in promoting ozone accumulation during heat events. In contrast, the United States exhibited a different pattern. In P2, although NO₂ and HCHO under HT conditions decreased slightly compared to P1—by 0.1 × 10¹⁵ mol/cm² and 2.0 × 10¹⁵ mol/cm², respectively—HT ozone concentrations increased from 105.3 μg/m³ in P1 to 108.0 μg/m³ in P2. This increase occurred despite emission reductions and corresponded with a rise in shortwave radiation (from 315.3 W/m² to 326.7 W/m²) and a slight temperature increase (from 31.7 °C to 32.0 °C), indicating that meteorological conditions played a dominant role in enhancing ozone formation. In P3, ozone remained elevated at 109.9 μg/m³, and HCHO concentrations under HT conditions rose dramatically to 29.7 × 10¹⁵ mol/cm², an increase of 21.9 × 10¹⁵ mol/cm² compared to P2. This sharp increase may reflect enhanced biogenic emissions or uncertainties in satellite retrievals, warranting further investigation.
Overall, the comparison highlights that during P2, China effectively mitigated HT-related ozone pollution through coordinated reductions in NO₂ and HCHO emissions. In contrast, in the United States, despite modest emission reductions, elevated solar radiation and temperature substantially enhanced ozone production, weakening the effectiveness of emission controls under warming climate conditions. These cross-national differences highlight the importance of coordinated emission control strategies under warming scenarios. China’s experience shows that aggressive reductions in both NOx and VOCs can mitigate high-temperature ozone pollution, while the U.S. case confirms that in NOx-saturated or meteorologically driven contexts, emission reductions alone may not yield immediate ozone benefits. This section provides a replicable empirical framework for evaluating the effectiveness of emission mitigation policies under climate extremes. The integration of surface measurements, satellite remote sensing, and quasi-natural experiments offers a new paradigm for assessing the co-benefits of climate and air quality strategies.
Discussion
This study offers a comprehensive analysis of observational data from China and the United States to explore the interactive effects of rising temperatures and extreme heat events on surface ozone pollution. The findings reveal significant regional disparities in responses to high-temperature conditions, closely linked to the unique climate characteristics, pollution source compositions, and control strategies employed in each region. Notably, surface ozone (O₃) concentrations generally exhibit a positive correlation with temperature, with China showing a markedly higher sensitivity to temperature increases compared to the United States. Specifically, in areas where a significant correlation exists, the CPFs are found to be 2.9 μg·m−3 °C−1 for China and 2.1 μg·m−3 °C−1 for the United States. Mechanistic insights from SEM and photochemical box modeling indicate that this enhanced temperature sensitivity in China is driven by both direct and indirect pathways, with the direct effect of temperature playing a dominant role. SEM further reveals that temperature indirectly regulates ozone concentrations through a series of mediating variables, including RH, PRCP, WSPD, PBLH, formaldehyde (HCHO), and nitrogen dioxide (NO₂). These indirect pathways exhibit notable regional variability, underscoring the spatial heterogeneity in temperature–ozone coupling mechanisms across both countries. Photochemical box model simulations demonstrate that ozone production rates (P(O₃)) increase significantly with temperature, especially under higher VOC concentrations. This nonlinear response indicates that VOC abundance amplifies the temperature sensitivity of O₃ formation. In China, elevated NO₂ column densities and rapidly increasing VOC emissions significantly enhance the sensitivity of ozone production to temperature changes. In contrast, the relatively lower precursor levels in the United States constrain the extent of temperature-driven nonlinear amplification. Together, the SEM and photochemical box model results provide a consistent mechanistic explanation for the stronger climate penalty observed in China. These findings highlight the critical importance of coordinated NOx and VOC emission reductions for mitigating ozone pollution under warming climate conditions, particularly in regions experiencing frequent high-temperature extremes and elevated precursor concentrations.
Under extreme heat conditions, however, the relationship between ozone concentration and temperature may deviate from linearity. The study identifies distinct characteristics in the distribution of ozone exceedance under high-temperature conditions between the two countries, yet the enhancing effect of heat on ozone concentrations is evident in both. As the duration of high-temperature episodes increases, the incremental rise in ozone concentrations does not significantly amplify and may even diminish during extreme heat events lasting three days or more. In China, particularly, longer durations of high temperatures correlate with more pronounced increases in ozone concentrations, suggesting that extreme heat events have a lasting impact on ozone pollution. The COVID-19 lockdowns provided a unique natural experiment to decouple the roles of anthropogenic emissions and meteorological conditions during extreme heat. In China, coordinated reductions in key precursors such as NO₂ and HCHO led to a measurable decline in ozone concentrations under high-temperature conditions, demonstrating the effectiveness of targeted emission controls. In contrast, the United States experienced continued ozone increases during heat events despite slight reductions in precursor emissions, indicating that meteorological drivers—including elevated solar radiation and ambient temperatures—played a more dominant role. These findings collectively underscore the complex, region-specific interactions between temperature, emissions, and ozone formation. They highlight the urgent need for adaptive, regionally tailored air quality strategies, particularly in the face of increasing heat extremes under climate change.
These findings emphasize the growing challenges posed by ozone pollution under global warming and point to the need for targeted, region-specific air quality management strategies. The study provides actionable insights for policymakers, particularly in temperature-sensitive regions, by highlighting key areas for intervention:
Tailored emission control strategies
The results provide a scientific basis for developing region-specific emission control strategies that account for the unique CPFs of each area. For example, regions with higher CPFs, such as China, should prioritize aggressive reductions in NOx and VOCs emissions, especially during high-temperature seasons, to mitigate the compounding effects of heat on ozone formation.
Integration of climate adaptation into air quality management
With the frequency and intensity of extreme heat events projected to increase under future climate scenarios, it is imperative to incorporate climate adaptation into air quality management frameworks. This includes enhancing monitoring networks, improving forecasting capabilities, and implementing adaptive policies to minimize ozone exceedances during heat events. Proactive measures, such as temporary emission restrictions or public health advisories during extreme heat episodes, can help reduce the risks associated with elevated ozone levels.
Alignment with long-term climate goals
The study underscores the urgency of adopting proactive climate mitigation measures to limit global temperature increases and reduce the long-term climate penalty of ozone pollution. Aligning air quality management strategies with broader climate goals will not only address immediate ozone pollution challenges but also mitigate the underlying drivers exacerbated by global warming.
In conclusion, this research provides a robust scientific foundation for understanding the interplay between temperature and ozone pollution and highlights the critical importance of addressing both emission reductions and climate adaptation in air quality management. By tailoring strategies to the specific needs of temperature-sensitive regions and preparing for the intensifying impacts of extreme heat, policymakers can better mitigate the growing risks posed by ozone pollution in a warming climate. As extreme heat events become more frequent and severe, this study serves as a timely call to action for integrating air quality management and climate resilience to protect public health and environmental sustainability.
Methods
Data
The hourly O₃ concentration data for this study from 2015 to 2022 come from the China National Environmental Monitoring Center (CNEMC), the U.S. Environmental Protection Agency (EPA, https://www.epa.gov/outdoor-air-quality-data/download-daily-data). Prior to data analysis, quality control was performed to remove records with missing data and O₃ concentrations ≤ 0. Subsequently, the maximum daily 8-h average (MDA8) O₃ concentration was calculated based on hourly averages. The validity of the daily maximum 8-h average ozone concentration (MDA8 O₃) is defined as having at least 14 valid 8-h average concentration values between 8:00 and 24:00 within the same calendar day. If fewer than 14 valid values are available, but the computed MDA8 O₃ concentration exceeds the standard limit (100 μg/m³), the result is still considered valid. After data screening, a total of 327 monitoring stations in China and 776 in the United States were selected for analysis. To ensure data quality, only stations with at least 75% valid MDA8 O₃ records during the study period were included.
Meteorological data, including temperature, RH, PRCP, wind direction, average WSPD, and atmospheric pressure, were obtained using the Meteostat Python package (https://dev.meteostat.net/python/#installation). The Meteostat Python library provides a simple API for accessing open weather and climate data. Meteostat aggregates historical observations and statistical data from various public interfaces, most of which are government meteorological agencies, including weather stations in China. Data sources include national meteorological departments such as the National Oceanic and Atmospheric Administration (NOAA) and the German Weather Service (DWD). The specific data can be accessed through Meteostat’s official documentation and API interface: https://dev.meteostat.net/python/hourly.html.
The formaldehyde (HCHO) data used in this study were obtained from the OMI/Aura Level-3 tropospheric formaldehyde (OMHCHOd) product (Chance, 2019). This dataset provides daily global gridded (0.1° × 0.1°) HCHO column concentrations, filtered for cloud contamination (cloud fraction < 30%). Each daily file, stored in NetCDF format, contains averaged measurements from approximately 15 orbital passes, with variables including column_amount and column_uncertainty. The data files, each approximately 80 MB in size, contain grid cell values derived from cloud-screened averages, making them suitable for studying the relationships between atmospheric pollutants and surface HCHO concentrations. Tropospheric NO₂ data were sourced from the OMI/Aura Level-3 tropospheric NO₂ product (OMNO2d), providing daily global coverage at 0.25° × 0.25° spatial resolution. The dataset includes cloud-screened (cloud fraction < 30%) measurements stored in HDF5 format, with each file containing approximately 15 orbital observations per day. The NO₂ vertical column densities are reported in units of molecules per square centimeter (mol/cm²). SWGDN and PBLH data were obtained from reanalysis datasets. SWGDN data were sourced from the modern-era retrospective analysis for research and applications version 2 (MERRA-2), developed by NASA’s Global Modeling and Assimilation Office (GMAO). MERRA-2 provides hourly data at a spatial resolution of 0.5° × 0.625°, covering the period from 1980 to present. PBLH data were obtained from the ERA5 reanalysis dataset developed by the European Centre for Medium-Range Weather Forecasts (ECMWF), which provides hourly global data at a spatial resolution of 0.25° × 0.25°. Both SWGDN and PBLH hourly values were averaged to daily means to align with the temporal resolution of our observational datasets. To facilitate comparison between satellite retrievals and ground-based observations, we employed a k-d tree nearest neighbor interpolation algorithm to match the gridded satellite data (HCHO and NO₂) and reanalysis data (SWGDN and PBLH) with ground station coordinates. This approach ensures efficient and accurate spatial matching while maintaining data reliability through distance threshold criteria. The geographical coordinates (latitude and longitude) of each grid cell were used as the basis for this matching process.
This study selected data from April to October, a period characterized by frequent ozone pollution events, during which temperature significantly affects O₃ concentration. The trends in surface MDA8 O₃ and temperature variations in China and the United States during the period from April to October 2015–2022 were calculated using linear regression slopes. The significance of the trends was analyzed using the Mann–Kendall test, with a significance threshold set at p < 0.05 as recommended by the American Statistical Association.
In this study, high-temperature ozone pollution conditions are defined as when the temperature T > 30 °C, and O₃ concentration exceeds the threshold (O₃ > 120 μg/m³). The threshold of 120 μg/m³ is based on the EU Ambient Air Quality Directive for the MDA8 O₃, which is established to mitigate adverse health effects on sensitive populations (e.g., children, the elderly, and individuals with respiratory diseases) due to short-term ozone exposure.
Definition of HT
High temperatures (T > 30 °C) are often accompanied by intensified ozone pollution, and selecting O₃ > 120 μg/m³ as the exceedance standard effectively captures the impact of ozone pollution on air quality and human health under extreme high-temperature conditions. To further investigate the impact of varying durations of high temperatures on ozone concentration, high-temperature conditions are categorized into four distinct types: HT, defined as any day with a temperature of ≥30 °C, which includes all heatwave durations; ODH, which referring to a HT lasting for exactly 1 day; TDH, representing a HT lasting for 2 consecutive days; and TTDLH, indicating high temperatures persisting for 3 days or more consecutive days. Baseline conditions are defined as temperatures between 20 °C and 30 °C, serving as a reference for evaluation. The HT category encompasses all heatwave durations (ODH, TDH, and TDLH) to study the overall effect of high temperatures, while the specific heatwave categories (ODH, TDH, and TDLH) are used to examine the influence of prolonged high-temperature events on ozone concentration.
SEM
To quantify the direct and indirect effects of temperature on ozone (O₃) concentrations, this study employed SEM. SEM is a multivariate statistical analysis method capable of simultaneously estimating multiple causal pathways and distinguishing between direct and indirect effects44,45,67,68,69,70. The model was constructed based on theoretical assumptions and existing research, considering the direct effect of temperature on ozone and the indirect effects mediated by variables such as RH, PRCP, WSPD, PBLH, and precursor concentrations (HCHO and NO2). The core equation of the model is expressed as:
where: O3 is the modeled O₃ concentration, X1, X2, …, Xn are predictor variables (e.g., temperature, RH, NO2,), β1, β2, …, βn, α1, …, αn are estimated path coefficients, ε is the model error.
In SEM, the calculation of direct and indirect effects is based on the path coefficients and the relationships between variables in the model. The direct effect refers to the immediate impact of an independent variable on a dependent variable without the involvement of any mediating variables. For example, the direct effect of temperature on ozone concentration is represented by the path coefficient (β1), indicating the change in ozone concentration per 1 °C increase in temperature, controlling for other variables. The indirect effect refers to the influence of an independent variable on a dependent variable through one or more mediating variables. For instance, the indirect effect of temperature on ozone concentration may be mediated by variables such as RH, PRCP, or precursor concentrations, and is calculated as the product of the relevant path coefficients. It is calculated as the product of path coefficients. For example, the indirect effect of temperature through RH is calculated as (α1 × β2), where (α1) is the path coefficient for the effect of temperature on RH, and (β2) is the path coefficient for the effect of RH on ozone. If the indirect effect is positive, it indicates a positive influence of the independent variable on the dependent variable through the mediator. If multiple mediators are involved, the total indirect effect is the sum of the products of all relevant path coefficients. If the indirect effect is negative, it indicates a negative influence. The total effect of temperature on ozone is the sum of the direct effect and all indirect effects.
The model construction and analysis were implemented using the ‘semopy’ package in Python. The specific steps included data preprocessing, model construction, model fitting, and model fit evaluation. Data preprocessing involved missing value imputation, variable standardization, and outlier handling to ensure the robustness of the model. Model construction was based on theoretical assumptions and existing research, with explicit specification of direct and indirect pathways (see Supplementary Materials for detailed pathways). Model fitting was performed using maximum likelihood estimation (MLE) to estimate the model parameters.
To evaluate the accuracy of the model simulation, the CFI and the RMSEA were employed. CFI is a relative fit index that compares the hypothesized model to a baseline model (typically an independence model, where variables are assumed to be unrelated). CFI ranges from 0 to 1, with values closer to 1 indicating a better model fit. Generally, CFI ≥ 0.90 is considered acceptable, while CFI ≥ 0.95 indicates a good model fit. RMSEA is an absolute fit index that measures the approximate error of fit between the model and the data, reflecting the degree of discrepancy. RMSEA also ranges from 0 to 1, with smaller values indicating a better model fit. Typically, RMSEA ≤ 0.08 is considered acceptable, while RMSEA ≤ 0.05 indicates a good model fit.
Photochemical box model simulation
To investigate the influence of temperature on ozone production rates under varying VOC concentrations, we employed a photochemical box model constrained by observational data. The model is based on the Regional Atmospheric Chemistry Mechanism, version 2 (RACM2), with updated isoprene oxidation chemistry following previous studies71. Model input parameters were derived from typical urban air quality conditions observed at the Peking University site during 10:00–15:00 local time during the summer of 2020, a period characterized by active photochemistry. Initial conditions included O₃, NO₂, NO, CO, SO₂, VOC, photolysis frequencies, temperature, RH, and pressure, as summarized in Table S1. The model was driven by these constrained parameters to simulate the ozone production rate (P(O₃)). In this study, VOC input was constrained to the 56 target species defined by the U.S. EPA Photochemical Assessment Monitoring Stations (PAMS) program72. These species represent a subset of atmospheric VOCs and include key compounds from major categories such as alkanes, alkenes, aromatics, and isoprene (https://www.epa.gov/sites/default/files/2019-11/documents/targetlist_0.pdf). The relative proportions of the 56 PAMS target species were normalized according to typical urban observations to form a composite mixture with a total VOC concentration of 1 ppb. This chemical composition was held constant across all simulations. The model was run in a time-dependent mode over a 3-day period with a 1-h time resolution to allow the chemical system to reach a steady state. On this basis, the total VOC concentration was incrementally increased from 1 ppb to 30 ppb in 1 ppb steps, simulating varying VOC loadings. Three temperature scenarios were set: 20 °C, 30 °C, and 40 °C. At each temperature, VOC concentrations were perturbed in the same manner to systematically assess the sensitivity of P(O₃) to both temperature and VOC abundance. During the simulation, all gaseous species were assumed to be subject to a generalized first-order loss process with a 24-h lifetime (τD), corresponding to a dry deposition velocity of approximately 1.2 cm/s and a mixing layer height of ~1 km. This modeling framework, which excludes emissions, deposition, and atmospheric transport, allows us to isolate and quantify the chemical response of ozone production to temperature under varying VOC conditions. The findings provide theoretical insight into ozone pollution mechanisms under high-temperature backgrounds.
Data availability
The datasets generated and analyzed during the current study are not publicly available due to institutional restrictions, but are available from the corresponding author on reasonable request.
References
Hou, P. & Wu, S. Long-term changes in extreme air pollution meteorology and the implications for air quality. Sci. Rep. 6, 23792 (2016).
Lu, C. et al. An unusual high ozone event over the North and Northeast China during the record-breaking summer in 2018. J. Environ. Sci. 104, 264–276 (2021).
Porter, W. C. & Heald, C. L. The mechanisms and meteorological drivers of the summertime ozone–temperature relationship. Atmos. Chem. Phys. 19, 13367–13381 (2019).
Bloomer, B. J., Stehr, J. W., Piety, C. A., Salawitch, R. J. & Dickerson, R. R. Observed relationships of ozone air pollution with temperature and emissions. Geophys. Res. Lett. 36, L09803 (2009).
Steiner, A. L. et al. Observed suppression of ozone formation at extremely high temperatures due to chemical and biophysical feedbacks. Proc. Natl. Acad. Sci. USA 107, 19685–19690 (2010).
Pu, X. et al. Enhanced surface ozone during the heat wave of 2013 in Yangtze river delta region, China. Sci. Total Environ. 603–604, 807–816 (2017).
Dai, A. Increasing drought under global warming in observations and models. Nat. Clim. Change 3, 52–58 (2013).
Cook, B. I., Smerdon, J. E., Seager, R. & Coats, S. Global warming and 21st century drying. Clim. Dyn. 43, 2607–2627 (2014).
Wang, X. et al. The differential impact of 2015–2020 El Niño and El Niño Modoki on warm- and cold-season PM2.5 concentration and distribution across China. Atmos. Environ. 305, 119816 (2023).
Churkina, G. et al. Effect of VOC emissions from vegetation on air quality in Berlin during a heatwave. Environ. Sci. Technol. 51, 6120–6130 (2017).
Song, C., Liu, B., Dai, Q., Li, H. & Mao, H. Temperature dependence and source apportionment of volatile organic compounds (VOCs) at an urban site on the North China plain. Atmos. Environ. 207, 167–181 (2019).
Zhu, L. et al. Long-term (2005–2014) trends in formaldehyde (HCHO) columns across North America as seen by the OMI satellite instrument: evidence of changing emissions of volatile organic compounds. Geophys. Res. Lett. 44, 7079–7086 (2017).
Lipson, M. J., Thatcher, M., Hart, M. A. & Pitman, A. Climate change impact on energy demand in building-urban-atmosphere simulations through the 21st century. Environ. Res. Lett. 14, 125014 (2019).
Wang, J. et al. Investigating the driving forces of NOx generation from energy consumption in China. J. Clean. Prod. 184, 836–846 (2018).
Liu, S. et al. Underappreciated emission spikes from power plants during heatwaves observed from space: case studies in India and China. Earth’s. Future 12, e2023EF003937 (2024).
He, H., Hosley, K. M., Hembeck, L. & Canty, T. High ozone concentrations on hot days: the role of electric power demand and NOx emissions. Geophys. Res. Lett. 40, 5291–5294 (2013).
Camalier, L., Cox, W. & Dolwick, P. The effects of meteorology on ozone in urban areas and their use in assessing ozone trends. Atmos. Environ. 41, 7127–7137 (2007).
Lu, X. et al. Exploring 2016–2017 surface ozone pollution over China: source contributions and meteorological influences. Atmos. Chem. Phys. 19, 8339–8361 (2019).
Coates, J., Mar, K. A., Ojha, N. & Butler, T. M. The influence of temperature on ozone production under varying NOx conditions—a modelling study. Atmos. Chem. Phys. 16, 11601–11615 (2016).
Pusede, S. E. et al. On the temperature dependence of organic reactivity, nitrogen oxides, ozone production, and the impact of emission controls in San Joaquin Valley, California. Atmos. Chem. Phys. 14, 3373–3395 (2014).
Li, M. et al. Coping with the concurrent heatwaves and ozone extremes in China under a warming climate. Sci. Bull. 69, 2938–2947 (2024).
Jiang, Z. et al. Decadal variabilities in tropospheric nitrogen oxides over United States, Europe, and China. J. Geophys. Res. Atmos. 127, e2021JD035872 (2022).
Beniston, M. The 2003 heat wave in Europe: A shape of things to come? An analysis based on Swiss climatological data and model simulations. Geophys. Resea. Lett. 31, L02202 (2004).
Meehl, G. A. & Tebaldi, C. More intense, more frequent, and longer lasting heat waves in the 21st century. Science 305, 994–997 (2004).
Perkins, S. E. A review on the scientific understanding of heatwaves—their measurement, driving mechanisms, and changes at the global scale. Atmos. Res. 164–165, 242–267 (2015).
Schnell, J. L. & Prather, M. J. Co-occurrence of extremes in surface ozone, particulate matter, and temperature over eastern North America. Proc. Natl. Acad. Sci. USA 114, 2854–2859 (2017).
Gerosa, G. et al. Comparison of seasonal variations of ozone exposure and fluxes in a Mediterranean Holm oak forest between the exceptionally dry 2003 and the following year. Environ. Pollut. 157, 1737–1744 (2009).
Lin, M. et al. Vegetation feedbacks during drought exacerbate ozone air pollution extremes in Europe. Nat. Clim. Chang. 10, 444–451 (2020).
Ji, X. et al. Meteorological impacts on the unexpected ozone pollution in coastal cities of China during the unprecedented hot summer of 2022. Sci. Total Environ. 914, 170035 (2024).
Ma, M. et al. Substantial ozone enhancement over the North China plain from increased biogenic emissions due to heat waves and land cover in summer 2017. Atmos. Chem. Phys. 19, 12195–12207 (2019).
Pfannerstill, E. Y. et al. Temperature-dependent emissions dominate aerosol and ozone formation in Los Angeles. Science 384, 1324–1329 (2024).
Wang, P. et al. North China Plain as a hot spot of ozone pollution exacerbated by extreme high temperatures. Atmos. Chem. Phys. 22, 4705–4719 (2022).
Shenglan, Z., Haoyuan, S., Xingtao, S. & Langchang, J. Impact of urban heat island effect on ozone pollution in different Chinese regions. Urban Clim. 56, 102037 (2024).
Chen, B. et al. Revisiting the impact of temperature on ground-level ozone: a causal inference approach. Sci. Total Environ. 953, 176062 (2024).
Li, M. et al. Large scale control of surface ozone by relative humidity observed during warm seasons in China. Environ. Chem. Lett. 19, 3981–3989 (2021).
Shen, L., Mickley, L. J. & Gilleland, E. Impact of increasing heat waves on U.S. ozone episodes in the 2050s: results from a multimodel analysis using extreme value theory. Geophys. Res. Lett. 43, 4017–4025 (2016).
Sillman, S. The relation between ozone, NOx and hydrocarbons in urban and polluted rural environments. Atmos. Environ. 33, 1821–1845 (1999).
Wang, T. et al. Ozone pollution in China: a review of concentrations, meteorological influences, chemical precursors, and effects. Sci. Total Environ. 575, 1582–1596 (2017).
Meehl, G. A. et al. Future heat waves and surface ozone. Environ. Res. Lett. 13, 064004 (2018).
Im, U. et al. The impact of temperature changes on summer time ozone and its precursors in the Eastern Mediterranean. Atmos. Chem. Phys. 11, 3847–3864 (2011).
Reddy, P. J. & Pfister, G. G. Meteorological factors contributing to the interannual variability of midsummer surface ozone in Colorado, Utah, and other western U.S. states. J. Geophys. Res. Atmos.121, 2434–2456 (2016).
Zhang, Y. & Wang, Y. Climate-driven ground-level ozone extreme in the fall over the Southeast United States. Proc. Natl. Acad. Sci. USA 113, 10025–10030 (2016).
Cheng, L. et al. Regionalization based on spatial and seasonal variation in ground-level ozone concentrations across China. J. Environ. Sci. 67, 179–190 (2018).
Shi, G. et al. Distribution characteristics of volatile organic compounds and its multidimensional impact on ozone formation in arid regions based on machine learning algorithms. Environ. Pollut. 373, 126159 (2025).
Wang, C. et al. The source of volatile organic compounds pollution and its effect on ozone in high-altitude areas. Ecotoxicol. Environ. Saf. 286, 117221 (2024).
Arshinova, V. G. et al. Changes in surface ozone concentration during precipitation. Atmos. Ocean Opt. 32, 671–679 (2019).
Dong, Y. et al. The impact of synoptic patterns on summertime ozone pollution in the North China Plain. Sci. Total Environ. 735, 139559 (2020).
Wang, T. et al. Ground-level ozone pollution in China: a synthesis of recent findings on influencing factors and impacts. Environ. Res. Lett. 17, 063003 (2022).
US EPA. Air Pollutant Emissions Trends Data. https://www.epa.gov/air-emissions-inventories/air-pollutant-emissions-trends-data (2015).
Li, K. et al. Anthropogenic drivers of 2013–2017 trends in summer surface ozone in China. Proc. Natl. Acad. Sci. USA 116, 422–427 (2019).
Rieder, H. E., Fiore, A. M., Polvani, L. M., Lamarque, J.-F. & Fang, Y. Changes in the frequency and return level of high ozone pollution events over the eastern United States following emission controls. Environ. Res. Lett. 8, 014012 (2013).
Qin, M. et al. Increased urban ozone in heatwaves due to temperature-induced emissions of anthropogenic volatile organic compounds. Nat. Geosci. https://doi.org/10.1038/s41561-024-01608-w (2025).
Liu, F. et al. Abrupt decline in tropospheric nitrogen dioxide over China after the outbreak of COVID-19. Sci. Adv. 6, eabc2992 (2020).
Venter, Z. S., Aunan, K., Chowdhury, S. & Lelieveld, J. COVID-19 lockdowns cause global air pollution declines. Proc. Natl. Acad. Sci. USA 117, 18984–18990 (2020).
Bauwens, M. et al. Impact of Coronavirus outbreak on NO2 pollution assessed using TROPOMI and OMI observations. Geophys. Res. Lett. 47, e2020GL087978 (2020).
Shi, X. & Brasseur, G. P. The response in air quality to the reduction of Chinese economic activities during the COVID-19 outbreak. Geophys. Res. Lett. 47, e2020GL088070 (2020).
Feng, S. et al. NO emission changes over china during the COVID-19 epidemic inferred from surface NO2 observations. Geophys. Res. Lett. 47, e2020GL090080 (2020).
He, C. et al. Impacts of the COVID-19 event on the NOx emissions of key polluting enterprises in China. Appl. Energy 281, 116042 (2021).
Jia, H. et al. Insights into chemical composition, abatement mechanisms and regional transport of atmospheric pollutants in the Yangtze River Delta region, China during the COVID-19 outbreak control period. Environ. Pollut. 267, 115612 (2020).
Zhang, R. et al. NOx emission reduction and recovery during COVID-19 in East China. Atmosphere 11, 433 (2020).
Lu, Z. et al. Aggravated surface O3 pollution primarily driven by meteorological variations in China during the 2020 COVID-19 pandemic lockdown period. Atmos. Chem. Phys. 24, 7793–7813 (2024).
Hoang, A. T., Huynh, T. T., Nguyen, X. P., Nguyen, T. K. T. & Le, T. H. An analysis and review on the global NO2 emission during lockdowns in COVID-19 period. Energy Sources Recover. Util. Environ. Eff. 0, 1–21 (2021).
Qu, Z. et al. US COVID-19 shutdown demonstrates importance of background NO2 in inferring NOx emissions from satellite NO2 observations. Geophys. Res. Lett. 48, e2021GL092783 (2021).
Berman, J. D. & Ebisu, K. Changes in U.S. air pollution during the COVID-19 pandemic. Sci. Total Environ. 739, 139864 (2020).
Barnes, M., Bauer, L. & Edelberg, W. 11 Facts on the Economic Recovery from the COVID-19 Pandemic (Brookings, 2021).
Zheng, B. et al. Changes in China’s anthropogenic emissions and air quality during the COVID-19 pandemic in 2020. Earth Syst. Sci. Data 13, 2895–2907 (2021).
Bottazzi Schenone, M., Grimaccia, E. & Vichi, M. Structural equation models for simultaneous modeling of air pollutants. Environmetrics 35, e2837 (2024).
Du, C., Pei, J. & Feng, Z. Unraveling the complex interactions between ozone pollution and agricultural productivity in China’s main winter wheat region using an interpretable machine learning framework. Sci. Total Environ. 954, 176293 (2024).
Grace, J. B. et al. Integrative modelling reveals mechanisms linking productivity and plant species richness. Nature 529, 390–393 (2016).
Wang, C.-H. et al. Effect of meteorological elements and air pollutants on ozone in Yinchuan city park. Huan Jing Ke Xue 45, 5149–5156 (2024).
Tan, Z. et al. Radical chemistry at a rural site (Wangdu) in the North China Plain: observation and model calculations of OH, HO2 and RO2 radicals. Atmos. Chem. Phys. 17, 663–690 (2017).
Yang, Y. et al. How the OH reactivity affects the ozone production efficiency: case studies in Beijing and Heshan, China. Atmos. Chem. Phys. 17, 7127–7142 (2017).
Acknowledgements
This work was supported by the Beijing Municipal Natural Science Fund (JQ21030). The funder provided financial support but had no involvement in study design, data collection/analysis, interpretation of results, or manuscript preparation.
Author information
Authors and Affiliations
Contributions
X.L. and Y.Z. conceived and designed the study, and revised the manuscript critically for important intellectual content. J.B. acquired, analyzed, and interpreted the data, drafted the manuscript, and revised it critically. L.K., J.L., and Q.C. contributed to data collection.
Corresponding author
Ethics declarations
Competing interests
The authors declare no competing interests.
Additional information
Publisher’s note Springer Nature remains neutral with regard to jurisdictional claims in published maps and institutional affiliations.
Supplementary information
Rights and permissions
Open Access This article is licensed under a Creative Commons Attribution 4.0 International License, which permits use, sharing, adaptation, distribution and reproduction in any medium or format, as long as you give appropriate credit to the original author(s) and the source, provide a link to the Creative Commons licence, and indicate if changes were made. The images or other third party material in this article are included in the article’s Creative Commons licence, unless indicated otherwise in a credit line to the material. If material is not included in the article’s Creative Commons licence and your intended use is not permitted by statutory regulation or exceeds the permitted use, you will need to obtain permission directly from the copyright holder. To view a copy of this licence, visit http://creativecommons.org/licenses/by/4.0/.
About this article
Cite this article
Bao, J., Li, X., Kong, L. et al. Comparative analysis of the impact of rising temperatures on ozone levels in China and the United States. npj Clean Air 1, 23 (2025). https://doi.org/10.1038/s44407-025-00023-8
Received:
Accepted:
Published:
Version of record:
DOI: https://doi.org/10.1038/s44407-025-00023-8
This article is cited by
-
Changes and drivers of ozone suppression in warm seasons in China’s six major urban agglomerations over the past decade
Air Quality, Atmosphere & Health (2026)










