Abstract
The advent of multi-user multiple-input multiple-output (MIMO) resulted in space division multiple access (SDMA), enabling concurrent service to multiple users via spatially directed beams. The rise of massive MIMO in fourth generation (4G)/fifth generation (5G) has greatly enhanced SDMA by enabling narrower beams, allowing a larger number of users to be served simultaneously in the same time-frequency slot. As a natural evolution, massive MIMO transitions to extreme MIMO, and larger antenna apertures push typical urban macro cellular areas into the near-field region, invalidating planar wave models and necessitating spherical ones. This shifts multiple access in mobile communications from traditional beamforming to beam focusing. Unlike in the current massive MIMO-based SDMA system, where users are primarily separated by angular bins, in a near-field extreme MIMO system, users can be separated by distance and angular bins. This work advances multiple access strategies by providing the technical foundation for accurate signal focusing within three-dimensional (3D) spatial volumes, called volumetric beam focusing. Specialized near-field beam profiles, notably Bessel beams and the proposed Padé–Bessel beams, facilitate accurate signal focusing within 3D spatial volumes. This work also provides key techniques for implementing volumetric beam focusing with phased antenna arrays and evaluates the performance of Bessel and Padé–Bessel beams across multiple scenarios.
Similar content being viewed by others
Introduction
The relentless growth in wireless data demand has driven continuous innovation in multiple access and beamforming techniques for cellular networks. Early generations of mobile networks focused on network densification, deploying more base stations and access points to increase capacity and reuse spectrum. By shrinking cell sizes and bringing transmitters closer to users, densification improves spectral efficiency at the expense of higher infrastructure density and handover complexity. This approach eventually faces diminishing returns due to large interference among densely packed cells and practical deployment constraints1. As an alternative to boost capacity, operators relied on fixed sectors (e.g., 120∘) for multiple access. Sectorized base stations (e.g., tri-sectored macrocells) reuse frequencies in each sector, multiplying capacity and reducing interference between sectors. However, sectorization alone offers only coarse spatial separation and cannot adapt to dynamic user distributions2.
By the 4G and 5G era, the advent of massive MIMO systems with tens to hundreds of antennas resulted in higher array gains and more directive, narrower beams that improved spectral efficiency by separating users in narrow angular bins in SDMA3. More advanced full-dimension MIMO arrays extend beamforming to the vertical domain as well, enabling 3D beamforming that generates downtilted beams toward users at different elevations or ranges4. For example, by using adaptive downtilt, a base station can create ring-shaped coverage layers in elevation. These enhancements, illustrated in Fig. 1, have played a crucial role in the evolution of wireless communication.
(1) Network densification through multiple access points and forming small cells. (2) Sectorization of cells with directional antennas divides coverage into sectors to reduce interference. (3) Multi-user MIMO-enabled SDMA, forming multiple concurrent beams to serve several users in the same cell. (4) Elevation-focused beams, creating ring-shaped coverage layers. (5) Volumetric beam focusing (this work) uses extremely large antenna arrays to focus energy in a compact 3D region around a user.
Massive MIMO (e.g., 64-element arrays) is now a cornerstone of 5G, and for sixth generation (6G) and beyond, the antenna array size will increase to thousands, especially in the upper mid-band or frequency range 3 (FR3) and frequency range 2 (FR2)5. These systems, which feature extremely large antenna arrays and a large bandwidth, are termed extreme MIMO. In conventional massive MIMO, most users fall in the far-field region, where transmitted wavefronts can be approximated as planar across the array. However, extreme MIMO systems have much larger apertures, which pushes the far-field - near-field boundary (2D2/λ), where D is the antenna aperture, and λ is the wavelength, further. This boundary is also known as the Rayleigh distance6. The development of extreme MIMO, and consequently larger values of the Rayleigh distance, brings a substantial portion of the cell coverage into the near-field zone. For example, for a panel size of 2 × 1 m2 at 15 GHz carrier frequency, the near-field boundary becomes 500 m. However, the majority of legacy models, e.g., the Third Generation Partnership Project (3GPP) TR.38.901 channel model7, were developed under far-field assumptions and thus fail to describe the complex behavior of near-field propagation8. This fundamental change in channel modeling makes the traditional beamforming and SDMA techniques inefficient, which rely solely on angular separation. These findings motivated a shift from conventional beamforming to beam focusing9. In recent years, this has been extensively researched10,11,12. Researchers have revisited channel modeling and propagation characterization for extremely large arrays. There have been empirical measurements in the near-field regime that have measured wireless channels in the near-field at mmWave and sub-THz frequencies8.
The transition from beamforming to beam focusing also gives an extra dimension for multiple access, enabling separation of users that are aligned in angle but at different distances. This concept was formally introduced as location division multiple access (LDMA)13. However, the study was limited to two-dimensional (2D) scenarios, and as we show later, traditional techniques of beam focusing are not suitable for achieving beam focusing in a volume. Another line of work has explored new precoding architectures for near-field channels. In far-field line-of-sight (LoS) channels, only a single spatial mode typically exists (rank-one), whereas an extreme MIMO near-field LoS channel can support multiple spatial modes due to its spherical wavefronts. To capitalize on this, a distance-aware precoding scheme was proposed in ref. 14. The key idea in this work is to adapt the precoding architecture based on user distance: their design introduces a configurable selection network connecting RF chains to subarray elements, allowing each RF chain to be selectively activated for certain antenna groups depending on the user’s range14. By efficiently utilizing the additional spatial modes available in the near-field region, the distance-aware precoding scheme achieved notable gains in both spectral efficiency and energy efficiency compared to conventional hybrid precoders.
In this line of thought, one can understand that the ability to beam focus at a specific volume provides several key benefits for wireless networks. First, it drastically reduces inter-user interference: a user outside the intended focal volume will receive only a negligible fraction of the energy, even if they lie along the same direction. This means that even users who are angularly aligned but can be separated by distance or elevation will experience minimal interference. In a dense urban cell where many users might lie along similar angles (e.g., along a street or on different floors of a high-rise), this can significantly increase user capacity by allowing spatial reuse of frequencies in the distance and elevation domain. We coined the term volumetric beam focusing to define this ability to focus the energy at a 3D point or volume. Second, volumetric beam focusing improves energy efficiency. Since energy spread is minimized, the base station can achieve a target signal-to-interference-plus-noise ratio (SINR) for the desired user with lower transmit power. The focused beams deliver energy precisely where needed, resulting in more power-efficient network operation. Third, volumetric beam focusing inherently provides enhanced localization and sensing capabilities. The sharply focused beams and the sensitivity of near-field channel variations to distance enable centimeter-level user positioning and improved environment sensing. The majority of existing work on near-field beam focusing is limited to focusing in 2D. There are several works focusing on serving users in a 3D space through beamforming15,16, but they do not provide a methodology to contain the energy within a volume near the focal point. Authors in ref. 17 suggest a possible method for beam focusing in a 3D focal region using an extremely large array and MRT precoder, but as shown in later sections, this framework typically achieves a spot beam in 2D but not in 3D, as the depth of focus can extend significantly in this approach. Moreover, this method of beam focusing is prone to high inter-user interference when multiple users are placed at the same angle. We overcome these open issues by providing a complete analytical framework to achieve a truly volumetric beam focusing, where the energy is contained within a small region around the focal point.
One promising approach to realize such volumetric beam focusing in practice is through the use of non-diffracting beams, and Bessel beams are one of them. Non-diffracting Bessel beams were introduced by Durnin as exact, beam-like solutions of the scalar Helmholtz equation whose transverse intensity remains invariant with propagation18. Initial experiments showed that the non-diffracting propagation distance primarily depends on the Bessel beam generation setup, like aperture, ring width, or cone angle19. Later, advanced techniques were developed to synthesize high-quality approximations of Bessel beams with refractive or diffractive axicons20,21; annular slits or ring-lenses placed in the focal plane of a lens22; computer-generated holograms on spatial light modulators23; and, more recently, metasurfaces24 and integrated phased arrays25. A distinct feature of the higher-order Bessel beams is the orbital angular momentum (OAM), and it is used in an RIS-based system to serve multiple users26. A metasurface-based system for focusing at different locations simultaneously is developed in ref. 27. In this article, we provide a phased array and digital precoding-based technique to generate Bessel beams. Additionally, Bessel beams possess a self-healing property. After encountering an obstacle that blocks the central part of the beam, a Bessel beam can reconstruct its core intensity further downstream as the concentric ring components interfere and refill the shadow region28.
However, even an ideal Bessel beam is not without drawbacks for use cases in mobile communications. The very structure that gives it self-healing capability—a series of concentric rings around the main lobe also means that the beam pattern contains deep nulls or zeros and interfering concentric rings. If a user is slightly off the target axis of the beam, it might fall into one of these null regions and experience a severe drop in signal power. Likewise, if the beam is steered or aligned imperfectly, it could lead to intermittent coverage as the main lobe and nulls sweep over the user. In this work, we propose the design of Padé–Bessel beams, which use Padé approximation of the Bessel function to subtly alter the envelope of the beam. The idea is to gradually fill the deep nulls of the ideal Bessel pattern such that the resulting beam has a slightly broader but more uniform main lobe. The Padé–Bessel beam maintains the advantageous focusing behavior of a Bessel beam, localized focus with extended depth, but significantly reduces the intensity oscillations and nulls in the transverse plane. The outcome is a cleaner main lobe that is more robust to user movement. Our analyses indicate that Padé–Bessel beams can achieve tighter energy confinement than both classical far-field beams and pure Bessel beams, and achieve significant gain in spectral efficiency in a multi-user environment.
There are several other classes of non-diffractive beams and variants of Bessel beams. Theoretical Bessel beams require infinite energy, so their practical implementations are diffraction-free over a finite distance. However, they can still exceed the Rayleigh distance achieved using a Gaussian beam29. Additionally, the Bessel beam’s core persists even if obstacles partially block the propagation path, giving Bessel beams the unique features of self-healing and non-diffractive propagation30. Airy beams are another prominent class of non-diffractive beams, distinguished by their curved propagation trajectory. First demonstrated in optics, the Airy beam is the first known self-accelerating optical beam, meaning it follows a bending path without any external force or waveguide to guide it31. An ideal Airy beam has a transverse Airy function profile, featuring a main lobe and decaying oscillatory side lobes. As it propagates, the Airy beam’s intensity peak continuously accelerates, typically along a parabolic trajectory, yet the beam does not spread out appreciably or change its shape over a finite distance32. Several non-diffractive beams with self-accelerating features have been studied, such as Mathieu beams33 and Weber beams34. Also, there is a growing interest in hardware implementation of dedicated beams for near-field35,36 in recent times. Similar studies for the volumetric beam focusing can provide insights into the impact of hardware impairments.
Additionally, extreme MIMO systems introduce major challenges in beam training and codebook design. The current massive MIMO systems perform beam search and beam training only in the angular domain37. In contrast, for extreme MIMO near-field scenarios, the beam search must be performed over both spatial and angular domains38. However, exhaustively searching for the best beam in the 2D spatial-angular domain can create a large overhead39. A hierarchical beam training scheme, from coarse to fine sectors for finding out the best beam, is proposed in ref. 39. Several other promising techniques for hierarchical beam search are proposed in refs. 40,41. In summary, the recent literature has established a foundation for near-field extreme MIMO communications. Key advances include spherical-wave channel models and metrics, new spatial multiplexing and multiple access schemes exploiting the distance domain, precoding architectures tailored to near-field propagation, and efficient beam training techniques for both narrowband and wideband scenarios. These works collectively pave the way for volumetric beamforming, where base stations can dynamically focus energy into compact 3D regions to serve users. Importantly, while prior studies have demonstrated 2D beam focusing (i.e., distance-aware beams within a given plane), the approach we develop extends this concept to 3D volumetric focusing, achieving fine energy confinement in all spatial dimensions.
Despite recent advances in near-field analysis, achieving beam focusing to volumes is yet to be studied. Additionally, the possibility of using advanced beams, which are more suitable for focusing, has yet to be rigorously explored. This article aims to cover this gap by analyzing beam focusing using Bessel and Padé–Bessel beams, demonstrating how it can be realized using digital precoding, and how it can provide volumetric beam focusing. The main contributions of this paper are summarized as follows:
-
By leveraging the features of non-diffracting beams by solving the Helmholtz equation, we show how Bessel beams are perfectly suited for beam focusing. We also provide the mathematical foundation of Padé–Bessel beams, which gives a more uniform amplitude profile around the target location.
-
We extend the discussion by showing how it can be used for achieving areal and volumetric beam focusing. We visualize the normalized electric field intensity to observe the superior focusing using Bessel and Padé–Bessel beams. The performance of these beams and traditional discrete Fourier transform (DFT) beams is evaluated in a multi-user environment.
-
As ideal Bessel beams are challenging to realize in practice, we provide the process of implementing Bessel and Padé–Bessel beams using digital precoding techniques and study their performance in a multi-user scenario. We evaluate the performance for different user placements and evaluate the results using the spectral efficiency metric.
Notation: The set of complex numbers is denoted by \({\mathbb{C}}\). Superscripts (⋅)*, (⋅)T, (⋅)H, and (⋅)† denote the complex conjugate, transpose, conjugate transpose, and Moore–Penrose pseudoinverse, respectively. Vectors and matrices are denoted by bold lowercase, x, and bold uppercase letters, X, and ∣∣X∣∣ denotes the norm of X. The Hadamard product is denoted by ⊙ .
Results
In this section, we first review the fundamentals of Bessel beams, emphasizing their propagation-invariant structure and how they can be steered to concentrate energy at a point (areal, 2D focusing) or within a compact region (volumetric, 3D focusing). We then describe how these beams, and modified versions of them, can be applied for improved focusing performance in wireless communication scenarios.
Bessel beams
A Bessel beam is a known class of wave solution whose transverse amplitude profile remains unchanged as it propagates. In other words, an ideal Bessel beam is non-diffractive, i.e., its intensity does not spread out with distance, unlike a conventional focused beam that diverges beyond its focal spot. This property means that a Bessel beam can maintain a tight focus over an extended distance. The electric field of a Bessel beam is described by a Bessel function, which gives the beam its characteristic concentric ring structure.
To derive the electric field profile of a Bessel beam, let us consider a time-harmonic scalar field E(r), representing single polarization of the electric field in a homogeneous, isotropic medium with wavenumber k = 2π/λ. The field satisfies the Helmholtz equation
where ∇2 is the Laplacian. We use cylindrical coordinates r = (ρ, ϕ, z) aligned with the z-axis. In these coordinates, the Laplacian operator expands to
which reflects the radial, azimuthal, and axial components of the divergence of the field. To find propagation-invariant solutions, we separate variables in cylindrical coordinates. We look for solutions of the form E(ρ, ϕ, z) = R(ρ)Φ(ϕ)Z(z). By replacing E(ρ, ϕ, z) in the (1) and dividing by R, Φ, Z yields three independent ordinary differential equations:
and the radial equation
Combining (3)–(5) gives the νth-order Bessel beam
This represents a nondiffracting beam whose transverse profile is given by Jν(kρρ) and is independent of z, except for the phase factor \({e}^{j{k}_{z}z}\)). Thus, the magnitude of this field is propagation-invariant: ∣Eν(ρ, ϕ, z)∣ = ∣Jν(kρρ)∣, not a function of z. The concentric rings of the Bessel function remain at the same radii as z changes, maintaining the same intensity pattern along the propagation axis18,20.
In (6), the Bessel beam is oriented along the z-axis and centered at the origin. However, we want to steer or focus a beam toward an arbitrary focus point in space, not necessarily on the z-axis. We can generalize the Bessel beam solution to an arbitrary orientation. Suppose we want a beam propagating along some axis ζ ∈ x, y, z (for example, along the x-axis or y-axis instead of z) and focusing around a point r0 = (x0, y0, z0). We define a local radial coordinate ρζ(r) as the transverse distance from the point r0 in the plane perpendicular to the chosen axis ζ. Likewise, we define ϕζ(r) as the corresponding angular coordinate around axis ζ:
The longitudinal wavenumber along the chosen axis is denoted kζ, satisfying \({k}_{\rho }^{2}+{k}_{\zeta }^{2}={k}^{2}\). Using these definitions, we can write an oriented νth-order Bessel beam centered on r0, propagating along axis ζ, and the focal point along axis ζ is ζ0 as:
where ζ − ζ0 represents the displacement along the chosen axis from the focal center (for example, if ζ = z, then ζ − ζ0 = z − z0). The beam in (9) is essentially the ideal Bessel beam (6) translated and rotated to concentrate around the point r0.
Padé–Bessel beams
One challenge with using ideal Bessel beams for focusing is the existence of concentric rings of zeros in the Bessel function. Near the focus, these rings mean that the energy is not uniformly distributed. There are nulls where Jν(x) goes to zero, which means a user would receive no power due to the null if they move a small distance from the intended location. To alleviate this, we introduce a modified beam profile by replacing the Bessel function Jν(x) with a Padé approximant Pm,q(x) that closely matches Jν(x) near x = 0 (the focal region), but does not have the zeros near the focal region.
Next, we derive a low-order Padé approximation for the Bessel function of the first kind of integer order ν. The goal is to obtain a simple rational envelope that reproduces the local behavior of Jν(x) near the origin while regularizing the deep radial nulls of the ideal Bessel profile in the vicinity of the focal region, which is desirable for robust volumetric beam focusing.
The Padé approximant of order (m, q) for a scalar function f(x) is defined as the rational function
where the numerator and denominator coefficients are chosen such that the Maclaurin series of Pm,q(x) matches that of f(x) up to a prescribed order. This matching condition can be written in the compact form
which guarantees that the first m + q + 1 Taylor coefficients of f(x) and Pm,q(x) coincide.
For the Bessel function of the first kind of integer order ν≥0, the Taylor series expansion about the origin is
The first few terms of (12) can be written explicitly as
Only powers of the form xν+2k appear in (12), and in particular, there are no terms of degree less than ν.
For beamforming applications, it is advantageous to employ a Padé approximant that is as simple as possible while still capturing the dominant local behavior of Jν(x). A convenient choice is to retain only the leading-order term in the numerator and adopt a quadratic denominator. This leads to the low-order Padé approximation
This may be viewed as a Padé approximant with numerator degree m = ν and denominator degree q = 2, in which all numerator coefficients of degree lower than ν are set to zero. This choice is consistent with the exact Taylor expansion (12), which contains no terms of degree less than ν.
To determine the coefficients αν, β1, and β2, the series of Pν,2(x) in (14) is required to match the series of Jν(x) in (13) up to order xν+2. Expanding the rational function in (14) for small x yields
Using the series expansion of the inverse,
and substituting (16) into (15), we obtain
On the other hand, truncating (13) to the same order gives
where, from (12),
Matching the coefficients of equal powers of x in (17) and (18) yields a simple system of equations. Equating the coefficient of xν leads to
Similarly, the expression for other coefficients can be found to be
Using the explicit expressions in (19), the ratio c1/c0 simplifies to
Using the gamma-function recurrence relation Γ(ν + 2) = (ν + 1)Γ(ν + 1), we obtain
Combining all these, the resulting Padé approximation of the Bessel function of order ν is
The rational envelope in (25) reproduces the leading term of the Maclaurin series of Jν(x) and approximates the next-order term, while modifying the higher-order behavior to suppress the deep radial nulls of the exact Bessel function in a neighborhood of the focal region. When applied in the oriented Bessel beam expression, the replacement
produces a Padé–Bessel beam whose transverse profile remains approximately Bessel-like but exhibits a smoother and more uniform central lobe.
For the first-order case ν = 1, which is considered in this paper for performance evaluation, the general expression (25) simplifies to
Equation (27) provides a compact analytic form that is straightforward to implement in digital precoding architectures while retaining the desired near-field focusing characteristics and mitigating the sensitivity associated with the concentric nulls of the ideal Bessel profile.
Overall, the generalized Padé–Bessel beam can be expressed as
This has the same phase structure as the oriented Bessel beam (9) but with a modified radial envelope Pm,q instead of Jν. The Padé–Bessel beam still concentrates energy around r0, but with the concentric ring sidelobes suppressed to mitigate the effect of zeros near the focal region.
Areal beam focusing
We next consider focusing energy within a plane (here, the x–z plane) using a linear antenna array and Bessel and Padé–Bessel beams. This scenario, which we call areal focusing, is essentially the conventional near-field beam focusing scenario.
First, we consider the conventional beam focusing with a uniform linear array (ULA) of Nt isotropic antenna elements arranged along the x-axis (horizontally) at z = 0, and then we observe the areal beam focusing from array-independent Bessel and Padé–Bessel beams. Assuming the antenna elements in ULA are spaced by half a wavelength d = λ/2, and the nth element’s coordinates are (xn, yn, zn) = (xn, 0, 0) with
For an observation point r = (x, 0, z) in the x–z plane, the distance from the nth antenna element to this point is
Under free-space propagation, just focusing on the LoS path, each antenna element n contributes a spherical-wave component to the field at r of the form \(\frac{1}{{d}_{n}}{e}^{jk{d}_{n}}\) (with appropriate phase delay and 1/dn amplitude decay). If we apply a complex weight wn to element n, then by the principle of superposition, the total field is given by
It is important to note that in near-field scenarios, LoS paths are typically available. For instance, for a ULA of 1 m length operating at 9 GHz, the near-field is up to 60 m, and at 50 m distance, the probability of a LoS path is approximately 80% in the urban microcell street canyon scenario7. Therefore, in this article, we will be focusing on the LoS path scenarios. For conventional near-field beam focusing, the goal is to choose the weights wn such that E(r) is constructively interfered at a chosen user location ru = (xu, 0, zu). The widely chosen strategy for beam focusing is to choose phase-only weights that align the signals from all antenna elements at the target point ru. As this beam focusing weights resemble DFT coefficients, we call them DFT beams,
where dc(ru) denotes the distance of the user from the array center.
We next visualize the difference between the conventional focusing and Bessel and Padé–Bessel beams. The idea is to use the oriented Bessel beam Bz(r; ru) in (9) with ζ = z, and similarly \({B}_{z}^{(PB)}({\bf{r}};{{\bf{r}}}_{u})\) in (28) for Padé–Bessel beam. We consider the following scenario: a linear array with Nt = 600 elements, operating at a frequency fc = 15 GHz (wavelength λ ≈ 0.02 m), is used to focus at a user located at (xu, zu) = (0 m, 40 m). We illustrate the normalized electric field intensity ∣E(x, 0, z)∣2 across a region of 20 m × 150 m in the x–z plane for three cases: (a) standard distance-dependent DFT focusing, (b) an ideal Bessel beam of order ν = 1, and (c) a Padé–Bessel beam.
The results, illustrated in Fig. 2, show clear differences in the electric field intensity. The conventional DFT-focused beam does produce a peak at the user location, but it also exhibits substantial energy spread both laterally (along x) and in depth along z. This means that a significant amount of radiated energy is not tightly confined to the user, potentially causing interference to others in a multi-user scenario. The ideal Bessel beam significantly reduces the spread of energy, but there is still energy spread all over the region. Moreover, the ideal Bessel beam shows concentric rings of non-negligible intensity around the focal line. Finally, the Padé–Bessel beam achieves the tightest focus; the main lobe is about as narrow as the ideal Bessel case, but importantly, the surrounding rings are greatly suppressed. Thus, by using the Padé–Bessel radial profile, we effectively concentrate more of the beam’s energy on the intended spot and reduce the energy spread to neighboring locations.
Comparison of a distance-dependent DFT, b ideal Bessel (ν = 1) beam, and c Padé–Bessel beam.
Volumetric beam focusing
We now extend the concept to volumetric focusing, i.e., concentrating energy within a three-dimensional region around a point in space. This is relevant, for example, in a cellular network when a base station with a two-dimensional antenna array wants to focus a beam to a user at some elevation and azimuth, forming a tight beam in both horizontal and vertical planes.
Similar to areal beam focusing, here we visualize the electric field intensity of Bessel, Padé–Bessel beam, and conventional beam focusing using a uniform planar array (UPA). We consider a UPA in the x–y plane (at z = 0) with Nt,x × Nt,y elements, and element (m, n) located at coordinates rm,n = (xm, yn, 0) (where m = 1, …, Nt,x indexes the element along x and n = 1, …, Nt,y along y). We assume half-wavelength spacing in both x and y directions. The response from the (m, n)th element to an arbitrary point r = (x, y, z) is similar to section Areal Beam Focusing, proportional to \(\frac{{e}^{jk| {\bf{r}}-{{\bf{r}}}_{m,n}| }}{| {\bf{r}}-{{\bf{r}}}_{m,n}| }\). If we assign a weight wm,n to each element, the total field from the UPA at point r is given by
with complex weights wm,n. For aperture-independent comparisons, we combine two beams intersecting at r0 = (x0, y0, z0) using (9) and their Padé counterparts (28). Superposing a small set \({\mathcal{A}}\subseteq \{x,y,z\}\),
with coefficients Λζ chosen for constructive interference at r0, the subscript and superscript PB denote the Padé–Bessel. We visualize the normalized intensity \(I({\bf{r}})=| E({\bf{r}}){| }^{2}/{I}_{\max }\) via planar slices and the −3 dB/−10 dB isosurfaces. Note that for generating intersecting Bessel and Padé–Bessel beams, a dual-polarized transmitter structure can be considered.
In Fig. 3a, for the XY slice at z = z0, the conventional UPA focus produces a broad, quasi-elliptical main lobe covering a large area and creating a significant electric field surrounding the expected focal point. By contrast, the superposed Bessel beams (in this case, two Bessel beams with propagation axes of Y and Z are considered) concentrate energy more tightly around the focal point. Applying the Padé–Bessel envelope further suppresses the surrounding sidelobes and provides even better focus. Moreover, as observed in the figure, focusing on a 3D point with UPA is not contained within a volume; rather, it produces a large, elongated beam along the propagation axis.
Focusing is done at (0, 10, 20). a Normalized electric field intensity slices with colorbar are in dB. b −3 dB and −10 dB isosurfaces of normalized electric field intensity. The targeted beam focusing location is shown by the yellow star.
The quantitative comparison is given by the 3D isosurfaces in Fig. 3 and the measured focal volume. The red surfaces denote where intensity drops to half (3 dB down from peak), and the blue surfaces where it drops to one-tenth (10 dB down). For the UPA-focused beam, the −3 dB surface is a large, stretched ellipsoid centered around the target; we find its volume, V−3 dB ≈ 11.06 m3, in this case. In contrast, the superposed Bessel beams yield a much more compact focus: the −3 dB volume is V−3 dB ≈ 0.0371 m3, a tiny fraction of the UPA’s focal volume. Using Padé–Bessel beams shrinks this even further to V−3 dB ≈ 0.0059 m3. This is roughly a 6.3 times reduction in volume compared to the ideal Bessel case and about a 1.9 × 103 times reduction compared to the original UPA focus volume. The −10 dB surfaces show a similar trend: the Padé–Bessel case confines even the low-level energy much closer to the target. These results demonstrate that by using propagation-invariant beam principles and constructive interference from multiple directions, one can achieve an extremely tight volumetric focus—far beyond what a conventional single planar array would produce with standard beam focusing. Moreover, this can be extended to any volume by superposing more Bessel or Padé–Bessel beams focusing at different points of the target volume.
Performance in cellular networks
Having established that Padé–Bessel beams can significantly tighten the focus of energy in both 2D and 3D scenarios, we now evaluate how this translates to performance in a multi-user cellular network setting. In a cellular network, considering a multi-user environment, the base station (BS) serves multiple users simultaneously using different beams. Ideally, each beam should deliver high gain to its intended user and as little interference as possible to other users. We compare three beamforming strategies: (i) conventional distance-dependent DFT beams, (ii) ideal Bessel beams of order ν = 1, and (iii) Padé–Bessel beams (using the ν = 1 Padé envelope), to see which yields the best spectral efficiency (SE) for users.
We consider a scenario with a ULA of Nt = 601 antenna elements at fc = 8 GHz with half-wavelength spacing between antenna elements. We randomly place M users in a coverage region of size 70 × 70 m2, with x ∈ [ − 35, 35] m and z ∈ [10, 80] m. We vary M from 200 to 440 in steps of 20, and assume each user is served by one beam. All beams are transmitted simultaneously, so inter-user interference takes place. The performance is averaged over 100 Monte Carlo runs, and the transmit power is divided equally among the M beams. Noise power is kept fixed at σ2 = 10−12 W.
For each beam and each user j, we generate the electric field E(j)(r). Therefore, user i receives a field E(j)(ri) from beam j, where all the E(j)(ri) for j ≠ i creates interference. We define the effective channel gain from beam j to user i as hij = E(j)(ri), and the corresponding power gain Gij = ∣hij∣2. Although ideal Bessel beams are assumed to be non-diffracting, any practical realization radiated from a finite array necessarily experiences spherical-wave propagation loss. Therefore, we include a 1/r term in the electric field of the Bessel and Padé–Bessel beam. With equal power per stream, the received SINR and SE per user are given by
Figure 4 shows that Padé–Bessel and Bessel beams provide significantly better performance than conventional distance-dependent DFT across the entire load range and fixed total transmit power of 1 W, which is equally distributed among the users. The average per-user SE of Padé–Bessel is the highest, with a consistent margin over the ideal Bessel beam (typically ≈0.3–1 bit/s/Hz), while DFT lags by an order of magnitude. This mirrors the observations in the sections on the areal beam focusing and the volumetric beam focusing. It is important to understand that within the range of M from 200 to 400, the performance of Bessel and Padé–Bessel is noise-limited as the superior focusing results in minimal inter-user-interference. Whereas for DFT beams, it is already interference-limited and therefore remains almost fixed over the complete range of M. Once the M is greater than 400, the inter-user interference becomes significant for Bessel and Padé–Bessel beams, and the per-user SE drops. However, as the results show, Bessel and Padé–Bessel beams can serve a significantly greater number of users simultaneously with much higher spectral efficiency than the conventional DFT beams, and the interference-limited region for Bessel and Padé–Bessel beams comes for a much greater value of users.
Curves compare distance-dependent DFT beams (solid), ideal Bessel with ν = 1 (dashed), and Padé–Bessel beam (dash-dot).
Performance of digital precoding-based volumetric beam focusing
In practice, the Bessel and Padé–Bessel phase and amplitude profile needs to be created by discrete antenna arrays. The performance of the digital precoding-based realization of Bessel and Padé–Bessel beams is evaluated for different multi-user environments, in both 2D and 3D scenarios. We evaluate the performance for three scenarios, (a) fixed Nt, varying number of users, and varying total transmit power, (b) fixed number of users, varying Nt, and varying total transmit power, and (c) varying Nt with fixed number of users distributed in seven discrete angles {−π/3, −π/4, −π/6, 0, π/6, π/4, π/3} at 3 m spacing. The third scenario is considered to evaluate the performance in a high inter-user interference scenario. Results are generated for fc = 8 GHz, equal power allocation to all users, and averaged over 100 Monte-Carlo runs. The performance is benchmarked against maximum ratio transmission (MRT), regularized zero-forcing (RZF), and signal-to-leakage-and-noise ratio (SLNR)42 precoding. The RZF precoding is used as the upper bound; however, it requires perfect channel state information (CSI) and a large matrix inversion operation. The RZF curve corresponds to an oracle selection of the regularization factor (sweeping α and reporting the best SE), and therefore serves as an upper bound for practical linear precoding with the same channel knowledge. As expected, RZF achieves the highest SE because it explicitly trades off interference suppression and noise amplification. In contrast, SLNR uses a fixed regularization (equivalently, a fixed-α RZF after per-stream normalization), making it a practical but non-oracle baseline.
In Fig. 5, we evaluate the performance of digital precoding-based Padé–Bessel and Bessel against the MRT in a multi-user scenario where all the users are served simultaneously. We observe that the performance of digital precoding-based Padé–Bessel and Bessel closely matches the performance observed from electrical field-based analysis in the section “Performance in cellular networks”. We observe that the performance from Bessel and Padé–Bessel changes with transmit power, while it remains the same for MRT because, due to superior focusing, Bessel and Padé–Bessel are in a noise-limited region, whereas MRT is in an interference-limited region. The results also show that for higher total transmit power, which also increases the interference from other users, Padé–Bessel performs slightly better than Bessel due to its better focusing and less inter-user interference. The results also show that the fixed-α choice in SLNR is not robust to changing interference conditions as M grows (and as the interference environment changes with Ptx), leading to a clear gap relative to RZF. Notably, Padé–Bessel and Bessel remain competitive with, and in most scenarios surpass the practical SLNR baseline, indicating that superior focusing from Padé–Bessel beams can reduce inter-user interference without relying on aggressive global channel inversion/regularization.
Performance is compared between MRT (solid), RZF (dotted with X markers), SLNR (dotted with diamond markers), Bessel (ν = 1) (dashed), and Padé–Bessel (dash-dot) for two transmit powers, Ptx = 1 W and 1 mW. All precoders are column-normalized and use equal total transmit power.
In Fig. 6, we fix the number of users to 200 and vary the antenna array size for two different total transmit powers, 1 W and 1 mW. Overall, the trends are similar to Fig. 5. We observe that when the number of users is almost the same as the number of transmit antennas, the scenario is largely interference-limited, and in that case, all three beam focusing techniques perform similarly. However, as the number of antennas increases, the performance gain of the Bessel and Padé–Bessel beams becomes pronounced, and they outperform MRT by a large margin. As expected, with an increase in the number of transmit antennas, the average SE becomes saturated. However, note that in this case, with Bessel and Padé–Bessel, the system moves to a noise-limited region once the number of transmit antennas is approximately 355; with MRT, even when the number of transmit antennas is 400, it remains in an interference-limited region. Also note that SLNR employs a fixed regularization and therefore does not adapt as the system transitions between interference-limited and noise-limited regimes when the number of transmit antennas changes. As a result, SLNR can be noticeably suboptimal at high SNR, where the optimal strategy is to more aggressively suppress residual inter-user interference, but the fixed regularization may be too conservative. Likewise, in the low-SNR regime, an inappropriate regularization choice may over-penalize the desired signal or amplify noise, leading to a similar loss. This sensitivity illustrates oracle-tuned RZF as an upper bound and highlights the robustness of the proposed Bessel and Padé–Bessel solutions.
Performance is compared between MRT (solid), RZF (dotted with X markers), SLNR (dotted with diamond markers), Bessel (ν = 1) (dashed), and Padé–Bessel (dash-dot) for two transmit powers, Ptx = 1 W and 1 mW.
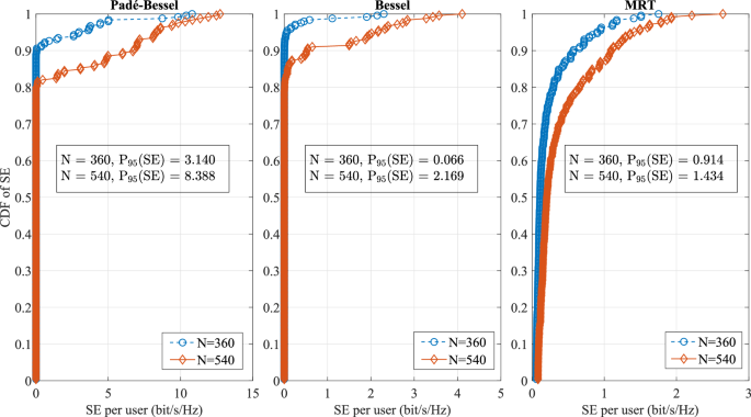
To observe the performance specifically in an interference-limited region, we consider a scenario in which all the users are distributed at discrete angles. In each angle, 35 users are placed with a 3 m spacing between them. The performances are evaluated for a fixed total transmit power of 1 W, and understandably, this scenario creates significant inter-user interference. From Fig. 7, we observe a significant drop in the performance of Bessel and Padé–Bessel. However, due to better beam focusing and the ability to suppress inter-user interference, Padé–Bessel beams outperform both MRT and Bessel beams. Also, in Fig. 7, Bessel performs the worst in this scenario. This further highlights the importance of Padé–Bessel beams. To gain further insight into performance, we plot the CDF of SE in Fig. 8. The CDF result is provided for Nt = 360 and 540. We also observe a significantly higher 95th percentile SE with Padé–Bessel, almost 3 times greater than MRT for Nt = 360 and almost 6 times greater for Nt = 540. These results confirm that, under severe angular clustering, Padé–Bessel offers the most robust performance, while MRT and especially Bessel are constrained by inter-user interference.
Performance is compared between MRT (solid), Bessel (ν = 1) (dashed), Padé–Bessel (dash-dot).
SE CDF for the angular clustering scenario in Fig. 7 at Nt = 360 and Nt = 540.
All these trends are observed in 3D scenarios as well; therefore, without repeating all these experiments, we just illustrate the performance difference between MRT, Bessel, and Padé–Bessel with UPA, for the angular clustering scenario. Similar to the 2D scenario, volumetric beam focusing with Padé–Bessel provides a significant performance gain. We assume the UPA to lie in the YZ-plane at height z = 30 m. Users are placed on seven azimuthal angles {−π/3, −π/4, −π/6, 0,π/6, π/4, π/3} at a fixed elevation of 30° and five users at every azimuthal angle with a spacing of 4 m between them. The UPA dimension is varied between 20 × 20–50 × 50. The observation in Fig. 9 is similar to the 2D case; this scenario in 3D is also interference-limited, and for Nt = 20 × 20 MRT performs best. However, once the antenna array dimension starts increasing, the SE per user increases significantly for Bessel and Padé–Bessel, with Padé–Bessel outperforming Bessel in all the cases. This is also connected to the electric field observation, Section “Volumetric beam focusing”, where we have seen elongated beams in 3D for DFT beams. Which in this scenario creates a large inter-user interference between users at the same azimuthal angle. The placement of users, transmit antenna, and SE per user is shown in Fig. 10 for two UPA configurations. As expected, the nearest users have the highest SE, and as the interference increases, the users at the bottom have smaller SE, but it is still much higher than the SE achieved with MRT. It is also important to observe that the beam focusing performance is poorer in UPA than ULA because the antenna aperture of UPA is much smaller than that of ULA, and that impacts the focusing performance as well.
Performance is compared between MRT (solid), Bessel (ν = 1) (dashed), Padé–Bessel (dash-dot).
3D layout for user placement and SE per user for UPA sizes 30 × 30 and 50 × 50.
Performance of volumetric beam focusing in realistic scenarios
We also explore the performance of volumetric beam focusing under three practical constraints: (a) with finite resolution hardware for precoding, (b) with non-line-of-sight (NLoS) paths, and (c) imperfect user location information.
Performance with finite resolution hardware
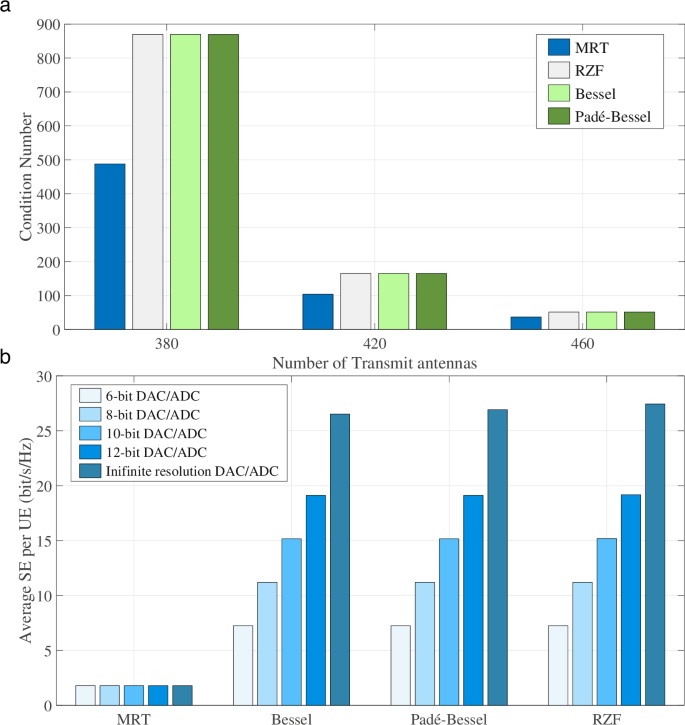
To assess the robustness of the proposed volumetric beam focusing schemes under practical hardware constraints, we first examine the numerical conditioning of the underlying precoders. For each scheme s ∈ {MRT, Bessel, Padè–Bessel, RZF}, we compute the condition number of the corresponding precoding matrix W(s), defined as \(\kappa ({{\bf{W}}}^{(s)})={\sigma }_{\max }({{\bf{W}}}^{(s)})/{\sigma }_{\min }({{\bf{W}}}^{(s)})\), where \({\sigma }_{\max }(\cdot )\) and \({\sigma }_{\min }(\cdot )\) denote the largest and smallest non-zero singular values. A large condition number indicates that the precoder amplifies perturbations and is therefore more sensitive to implementation impairments such as quantization and rounding errors. Figure 11a plots κ(W(s)) as a function of the number of transmit antennas Nt ∈ {380, 420, 460} for M = 200 users. When Nt is 1.9 times of M (e.g., Nt = 380), the RZF, Bessel, and Padé–Bessel precoders exhibit relatively high condition numbers, reflecting the ill-conditioned nature of the underlying multiuser inversion problem in this regime. As Nt increases, the additional spatial degrees of freedom improve the numerical conditioning, and all schemes become significantly better conditioned, with κ(W(s)) dropping by almost an order of magnitude at Nt = 460. Across all Nt, MRT remains the best conditioned, but it also provides the lowest spectral efficiency. It is important to note that when Nt ≃ M, the condition number increases significantly and the performance of Bessel and Padé–Bessel can drop below MRT’s performance, especially with limited hardware resolution.
a Conditioning number of precoding matrix for Nt = {380, 420, 460} and M = 200. b SE performance for varying DAC/ADC resolution with Nt = 380 and M = 200.
These conditioning trends are directly reflected in the sensitivity of each scheme to finite-precision DAC/ADC hardware. Figure 11b shows the average SE per user for Nt = 380 and M = 200 when the complex precoder coefficients are quantized using 6, 8, 10, and 12-bit converters, along with an ideal infinite-resolution reference. For MRT, the SE is mainly limited by inter-user interference and therefore improves only marginally with increasing resolution. In contrast, the Bessel and Padé–Bessel precoders achieve a substantial SE gain over MRT even at 6 bits; the additional improvement from 10 to 12 bits is relatively small. It is important to note that for smaller Nt values, the condition number increases exponentially, and the performance degrades significantly for low-resolution hardware. However, even when Nt is approximately double that of M, even with a 6-bit DAC/ADC, we can achieve a significant performance gain over MRT.
Performance with NLoS Paths
To check if the proposed volumetric beam focusing schemes remain robust and benefit from additional multipath richness, we study the performance for varying LoS strength and number of scatterers. Figure 12a depicts the average SE per user as a function of the number of single-bounce scatterers for two representative LoS strengths, η = 0.8 and η = 0.4. We assume that each scatterer reflects, on average, 10% of the LoS power, i.e., its complex scattering coefficient has −10 dB average power relative to the LoS path while contributing an additional single-bounce component with an independent random phase. For a fixed η, increasing the number of scatterers slightly improves the SE for both Bessel and Padé–Bessel precoders, as the extra propagation paths effectively increase the spatial rank of the composite near-field channel and provide additional degrees of freedom for interference mitigation. As expected, a stronger LoS component (η = 0.8) yields uniformly higher SE than a weaker LoS component (η = 0.4). Across all configurations, the Padé–Bessel scheme consistently outperforms the Bessel design, indicating that the rational approximation not only preserves the intended volumetric focusing but also better exploits the scattered energy to enhance useful signal power while controlling inter-user interference.
a SE vs number of scatterers for two LoS strengths (M = 100, Nt = 256). b SE vs LoS strength for two scatterer counts (M = 100, Nt = 256).
We also include RZF and SLNR as multi-user baselines. As expected, RZF achieves the highest SE across the sweep since its regularized inversion explicitly balances interference suppression against noise amplification in the composite channel with both LoS and NLoS paths. SLNR, implemented with a fixed regularization, exhibits a noticeable gap to RZF, especially when η is small, and the effective interference conditions change with the multipath composition. Nevertheless, both RZF and SLNR benefit from additional scatterers, consistent with the fact that richer multipath increases the usable spatial degrees of freedom and improves user separability.
Figure 12b examines the complementary behavior by sweeping the LoS strength η from 0.4 to 1 for two fixed scatterer counts, 4 and 12. In all cases, the SE increases monotonically with η, since attenuating the LoS component primarily reduces the coherent gain at the focus while leaving the scattered contributions unchanged. At the same time, for any given η, the scenario with more scatterers achieves a higher SE, again reflecting the benefit of a richer multipath environment when combined with volumetric beam focusing. We also observe that due to better beam focusing capability, Padé–Bessel outperforms Bessel even with less number of scatterers. It is important to realize that in scenarios where the number of scatterers varies significantly over time, a volumetric codebook might need to be updated from time to time, whereas in the presence of strong LoS, it may not be necessary.
Performance for imperfect user location information
In near-field volumetric beam focusing, the precoder design relies critically on accurate knowledge of the user positions. In practice, this information is obtained from localization, and it is subject to estimation errors and latency. Therefore, the calculated precoding weights might not be accurate during the actual transmission. To assess the robustness of the beam focusing algorithms under such imperfections, we consider a setting in which the precoding matrix is calculated based on imperfect user locations and then applied to the actual channels corresponding to the true user positions.
Let \({{\bf{r}}}_{m}^{est}=({x}_{m}^{est},{y}_{m}^{est})\) denote the estimated position of user m used for beam focusing weights, and \({{\bf{r}}}_{m}^{true}=({x}_{m}^{true},{y}_{m}^{true})\) its actual position when transmission occurs. The position error is modeled as a two-dimensional random displacement \(\Delta {{\bf{r}}}_{m}={{\bf{r}}}_{m}^{true}-{{\bf{r}}}_{m}^{est}\), whose Cartesian components are drawn from a zero-mean Gaussian distribution with standard deviation 0.5 m and then radially clipped to a maximum magnitude of 1 m. For each Monte-Carlo realization, M user positions are drawn in the user region of interest, and the MRT, Bessel, and Padé–Bessel precoders are computed from these estimated positions. The resulting precoding matrices are then evaluated on the true channels without updating the precoding matrix.
Figure 13a reports the average SE per user as a function of the number of transmit antennas Nt ∈ [250, 400] for two representative user densities, M = 30 and M = 100, under this imperfect location information model. In both cases, the Padé–Bessel and Bessel designs retain a clear performance advantage over MRT, demonstrating that volumetric focusing still provides substantial array gain and inter-user interference suppression even when the user locations are not perfectly known. However, an interesting trend emerges: for a fixed level of position error, the SE of all schemes decreases slightly as Nt increases. This behavior is consistent across MRT, Bessel, and Padé–Bessel and therefore reflects a fundamental sensitivity of highly focused near-field beams to localization errors.
a SE vs Nt for M = {30, 100} with standard deviation of 0.5 m and 1 m maximum error. b SE vs Nt for M = {120, 180} with standard deviation of 0.1 m and 0.2 m maximum error.
To visualize the advantage of the Padé–Bessel design, which provides a flatter central core and less inter-user interference, we also consider a scenario with more accurate location information and a higher number of users. Figure 13b shows the average SE per user for M = 120 and M = 180 when the location error standard deviation is reduced to 0.1 m, and the maximum magnitude is limited to 0.2 m. The gain is particularly pronounced for larger M and moderate Nt, where the additional control offered by the Padé–Bessel amplitude profile and inter-user interference suppression.
The underlying reason is that larger arrays generate narrower and more spatially selective volumetric beams. While perfect location information would translate this selectivity into higher coherent gain, any fixed absolute position error effectively moves the user farther away from the intended focal region relative to the beamwidth. As Nt grows, the correlation between the intended and actual channel responses decreases, so the loss in effective useful signal power can dominate the array gain, leading to a mild SE degradation with increasing Nt. This effect is more pronounced for higher user density (M = 100), where the inter-user interference margin is already tighter. These observations highlight an important design trade-off for near-field volumetric beam focusing: increasing the array aperture is beneficial only when the quality of user location information is extremely accurate. In practical systems, this suggests that large-aperture Bessel and Padé–Bessel precoders should either be coupled with high-precision, low-latency localization techniques or made robust to position uncertainty, for example, by broadening the focal region, optimizing beams for worst-case displacement, or selectively reducing the effective aperture when localization accuracy is limited.
Discussion
In this work, we have introduced volumetric beam focusing as a transformative paradigm in extreme MIMO systems, which are considered to be cornerstones of the next generation of wireless networks, such as 6G and beyond. By leveraging the superior focusing of Bessel beams and enhancing them through Padé approximations, we have demonstrated a paradigm shift from traditional angular beamforming to precise 3D energy concentration around individual users. Our findings reveal how these advanced beams enable areal and volumetric focusing, significantly outperforming conventional distance-dependent DFT or MRT techniques in terms of energy confinement and inter-user interference mitigation.
Through detailed simulations, we visualized the superior focusing capabilities of 2D areal scenarios. Padé–Bessel beams achieved tighter main lobes with suppressed sidelobes compared to ideal Bessel or standard beams, while in 3D volumetric contexts, superpositions of these beams reduced up to 1900 times smaller −3 dB volume than traditional methods. These enhancements translate to substantial gains in multi-user cellular environments, where Padé–Bessel beams consistently delivered higher spectral efficiencies. By realizing these beams via digital precoding with spatial masking, we bridged the gap between idealized wave solutions and practical antenna arrays, showing robust performance across varying numbers of users, array sizes, and interference scenarios, including angularly clustered users in both 2D and 3D setups. By minimizing the inter-user interference and enabling precise localization, volumetric beam focusing could facilitate denser networks, support emerging applications like holographic communication and integrated sensing, and contribute to sustainable spectrum utilization in an era of escalating data demands.
Several avenues for future research emerge to further refine and expand this paradigm. First, empirical validations through hardware prototypes and field trials are essential to assess the performance, especially under hardware impairments. Exploring hybrid beamforming techniques where the number of radio frequency (RF) chains is limited, and evaluating how closely they approximate the Bessel and Padé–Bessel fields. Moreover, the performance of Bessel beams in multipath and their self-healing property in a partial blockage scenario needs to be evaluated. Also, codebook design techniques for Bessel and Padé–Bessel beams, as well as performance across different antenna architectures, are some of the promising challenges that need to be explored.
Methods
In this section, we describe how the ideal Bessel and Padé–Bessel beams can be realized on a discrete antenna array using digital precoding. The objective is to synthesize transmit weights for a finite ULA such that the radiated near-field pattern in the x–y plane approximates the desired continuous Bessel or Padé–Bessel electric field in the vicinity of a target user.
Digital precoding-based volumetric beam focusing for single-user
Consider a ULA of Nt isotropic elements positioned on the x-axis at y = 0 with half-wavelength spacing d = λ/2. The nth element is located at rn = (xn, 0), where
Let r = (x, y) denote a generic observation point in the x–y plane, and let ru = (xu, yu) be the location of the user. Under line-of-sight propagation, the complex baseband channel from element n to the user is
and the physical channel is represented as the row vector
For the analysis of the radiated field, the superposition of per-element spherical waves is
and for phase-based pattern matching we also consider the approximation
The ideal Bessel reference field in the x–y plane is
where \({r}_{\perp }({\bf{r}})=\sqrt{{(x-{x}_{u})}^{2}+{(y-{y}_{u})}^{2}}\) is the radial distance from the user and \(\theta ({\bf{r}})={\tan }^{-1}((y-{y}_{u})/(x-{x}_{u}))\) is the local polar angle. The Padé–Bessel reference field is similarly defined as
where Pm,q( ⋅ ) is a low-order Padé approximant matching the local Taylor expansion of Jν( ⋅ ). As a baseline, we consider MRT, where each antenna is phase-aligned toward the user. Neglecting amplitude variations, the phase-only channel from element n to the user is \(\exp (jk{d}_{n}({{\bf{r}}}_{u}))\), and the MRT weights are
The resulting effective channel is the scalar
which characterizes the received gain at ru. While MRT maximizes this gain, its radiated field remains similar to conventional distance-dependent focusing and does not reflect the ring-shaped structure of a Bessel beam. To synthesize a field resembling an ideal Bessel or Padé–Bessel pattern, we impose a spatial mask directly in the array domain, which is given by
The corresponding precoding weights are obtained by modulating the MRT weights elementwise and normalizing to preserve transmit power,
where ⊙ denotes the Hadamard product. The resulting effective channels are
Using these weights, the synthesized fields
are evaluated across a rectangular region in the x–y plane.
In Fig. 14, we compare the normalized electric field intensity of ideal and digitally precoded Bessel and Padé–Bessel beams to observe how closely the proposed digitally precoded version resembles the ideal Bessel and Padé–Bessel beams. As we see in Fig. 14, the Bessel or Padé–Bessel-like beam focusing is achieved by multiplying the MRT precoded beam with phase and gain weights that spread the energy to other locations at significantly lower power. It is important to understand that better precoding results in higher intensity at the focal point and lower intensity spreading to other locations. We observe that digitally precoded Padé–Bessel achieves better beam focusing compared to its Bessel counterpart, as the energy spread at other locations is almost 10–15 dB smaller than the energy at the focal point. The digital Bessel precoding still retains some of the features of MRT precoding with traits of angular-separated beams, as digitally precoded Bessel uses the MRT precoding weights and spatial mask dedicated for Bessel beams; however, it achieves significantly better focusing compared to the MRT precoding.
Comparison of ideal and digitally precoded Bessel and Padé–Bessel beams.
Digital precoding-based volumetric beam focusing for multi-user
With the foundation of digital precoding-based Bessel and Padé–Bessel beams for a single user, we now consider a multi-user extension. Let a ULA of Nt antenna elements, located at positions rn, serve M single-antenna users in the near-field of the array. The narrowband line-of-sight channel from array element n to user i at location ri is
and we collect these coefficients into the physical downlink channel matrix
The jth user is served by a precoding vector \({{\bf{w}}}_{j}\in {{\mathbb{C}}}^{{N}_{t}}\), and the full precoder is
The corresponding effective multi-user downlink channel in the user domain is
where the diagonal entries represent the self-gain of each user, and the off-diagonal entries capture inter-user interference.
A conventional near-field maximal-ratio transmit (MRT) design for user i is based on its steering vector
with MRT precoder
Stacking these columns yields \({{\bf{W}}}^{(MRT)}=[{{\bf{w}}}_{1}^{(MRT)},\ldots ,{{\bf{w}}}_{M}^{(MRT)}]\) and the associated effective channel
While MRT maximizes the desired signal power on each diagonal entry of G(MRT), it does not explicitly control the off-diagonal terms and hence does not manage inter-user interference.
To introduce a Bessel-type focusing structure and shape the interference pattern, we incorporate a spatial mask into the precoder design. For each target user j, we first define geometric quantities that describe the relative position of antenna n with respect to a chosen propagation axis a associated with that user. Specifically, we decompose the displacement vector rn − rj into a radial component orthogonal to the axis and an axial component along the axis,
where ρnj is the perpendicular distance from antenna n to the axis through rj and Δanj is the axial displacement of antenna n relative to user j. We also let ϕnj denote the azimuthal angle of rn − rj around the axis. For a chosen transverse spatial frequency kρ ∈ (0, k) and the corresponding axial wavenumber \({k}_{a}=\sqrt{{k}^{2}-{k}_{\rho }^{2}}\), the per-antenna Bessel and Padé–Bessel mask coefficients are defined as
where Jν( ⋅ ) is the Bessel function of order ν and Pm,q( ⋅ ) is a low-order Padé approximant of Jν( ⋅ ) matching its Taylor series near the intended focus.
These element-level coefficients shape the per-user beams in the array domain. To describe the desired behavior in the user domain, we define two mask matrices \({{\bf{F}}}^{(B)},{{\bf{F}}}^{(PB)}\in {{\mathbb{C}}}^{M\times M}\) whose diagonal entries are on the order of unity and whose off-diagonals are attenuated or shaped according to the Bessel or Padé–Bessel pattern. Intuitively, F(B) and F(PB) encode the desired coupling structure among users after precoding. Based on the MRT effective channel, we then form target effective channels
where ⊙ denotes the Hadamard (elementwise) product. The design goal is to choose multi-user precoders such that the actual effective channels approximate \({{\bf{G}}}_{tgt}^{(B)}\) and \({{\bf{G}}}_{tgt}^{(PB)}\). A convenient closed-form solution is obtained via
with solutions
where \({{\bf{H}}}^{\dagger }\in {{\mathbb{C}}}^{{N}_{t}\times M}\) is the pseudoinverse of H. Thus, both \({\widehat{{\bf{W}}}}^{(B)}\) and \({\widehat{{\bf{W}}}}^{(PB)}\) are Nt × M matrices, consistent with the multi-user precoding structure.
Finally, we normalize each beam to have a unit norm (or to obey a prescribed power allocation). Let \({\widehat{{\bf{W}}}}^{(B)}(:,j)\) denote the jth column of \({\widehat{{\bf{W}}}}^{(B)}\). The normalized Bessel precoder is
and an analogous expression defines W(PB) for the Padé–Bessel case. The resulting effective channels
fully characterize the multi-user behavior, with diagonals representing near-field Bessel or Padé–Bessel focusing at each user and off-diagonals capturing the residual, mask-shaped inter-user interference.
This digital precoding framework realizes near-field Bessel and Padé–Bessel focusing on a discrete antenna array for multiple users, while keeping the notation consistent: H always denotes an M × Nt physical channel, and all user-domain coupling effects induced by a given precoder are described through the effective channels G = HW. Classical zero-forcing (ZF) or RZF designs can offer stronger interference suppression but require real-time matrix inversions based on instantaneous channel realizations. In contrast, the proposed Bessel and Padé–Bessel-based precoders can be embedded into pre-computed codebooks, enabling low-complexity near-field focusing with structured interference control.
Data availability
No datasets were generated or analyzed during the current study.
Code availability
Codes are available from the corresponding author on reasonable request in the form of MATLAB files.
References
Andrews, J. G., Zhang, X., Durgin, G. D. & Gupta, A. K. Are we approaching the fundamental limits of wireless network densification? IEEE Commun. Mag. 54, 184–190 (2016).
He, J., Cheng, W., Tang, Z., López-Pérez, D. & Claussen, H. Analytical evaluation of higher order sectorization, frequency reuse, and user classification methods in OFDMA networks. IEEE Trans. Wireless Commun. 15, 8209–8222 (2016).
Larsson, E. G., Edfors, O., Tufvesson, F. & Marzetta, T. L. Massive MIMO for next generation wireless systems. IEEE Commun. Mag. 52, 186–195 (2014).
Li, X., Jin, S., Gao, X. & Heath, R. W. Three-dimensional beamforming for large-scale FD-MIMO systems exploiting statistical channel state information. IEEE Trans. Veh. Technol. 65, 8992–9005 (2016).
Tian, J., Han, Y., Li, X., Jin, S. & Wen, C.-K. Mid-band extra large-scale MIMO system: Channel modeling and performance analysis. IEEE Trans. Commun. 73, 1025–1041 (2025).
Lu, H. et al. A tutorial on near-field XL-MIMO communications towards 6G. IEEE Commun. Surveys Tuts. 26, 2213–2257 (2024).
3GPP. Study on channel model for frequencies from 0.5 to 100 GHz. Tech. Rep. 3GPP TR 38.901 V18.0.0, 3rd Generation Partnership Project (2024).
Bodet, D., Petrov, V., Petrushkevich, S. & Jornet, J. M. Sub-terahertz near field channel measurements and analysis with beamforming and Bessel beams. Nat. Sci. Rep. 14, 1–13 (2024).
Lu, H. & Zeng, Y. Communicating with extremely large-scale array/surface: Unified modeling and performance analysis. IEEE Trans. Wireless Commun. 21, 4039–4053 (2022).
Cui, M., Wu, Z., Lu, Y., Wei, X. & Dai, L. Near-field MIMO communications for 6G: fundamentals, challenges, potentials, and future directions. IEEE Commun. Mag. 61, 40–46 (2023).
Wang, C.-X. et al. On the road to 6G: visions, requirements, key technologies, and testbeds. IEEE Commun. Surveys Tuts. 25, 905–974 (2023).
Wang, Z. et al. A tutorial on extremely large-scale MIMO for 6G: fundamentals, signal processing, and applications. IEEE Commun. Surveys Tuts. 26, 1560–1605 (2024).
Wu, Z. & Dai, L. Multiple access for near-field communications: SDMA or LDMA? IEEE J. Sel. Areas Commun. 41, 1918–1935 (2023).
Wu, Z., Cui, M., Zhang, Z. & Dai, L. Distance-aware precoding for near-field capacity improvement in XL-MIMO. In 2022 IEEE 95th Vehicular Technology Conference: (VTC2022-Spring) 1–5 (2022).
Hu, S., Wang, H. & Ilter, M. C. Design of near-field beamforming for large intelligent surfaces. IEEE Trans. Wireless Commun. 23, 762–774 (2024).
Monemi, M., Fallah, M. A., Rasti, M. & Latva-Aho, M. 6G Fresnel spot beamfocusing using large-scale metasurfaces: a distributed DRL-based approach. IEEE Trans. Mobile Comput. 23, 11670–11684 (2024).
Monemi, M., Fallah, M. A., Rasti, M., Latva-aho, M. & Debbah, M. Toward near-field 3D spot beam focusing: possibilities, challenges, and use cases. IEEE Veh. Technol. Mag. 20, 95–103 (2025).
Durnin, J. Exact solutions for nondiffracting beams. I. The scalar theory. J. Opt. Soc. Am. A 4, 651–654 (1987).
Lapointe, M. Review of non-diffracting Bessel beam experiments. Optics Laser Technol. 24, 315–321 (1992).
McGloin, D. & Dholakia, K. Bessel beams: diffraction in a new light. Contemp. Phys. 46, 15–28 (2005).
Yu, X., Todi, A. & Tang, H. Bessel beam generation using a segmented deformable mirror. Appl. Opt. 57, 4677–4682 (2018).
Indebetouw, G. Nondiffracting optical fields: some remarks on their analysis and synthesis. J. Opt. Soc. Am. A 6, 150–152 (1989).
Turunen, J., Vasara, A. & Friberg, A. T. Holographic generation of diffraction-free beams. Appl. Opt. 27, 3959–3962 (1988).
Akram, M. R. et al. Highly efficient generation of Bessel beams with polarization insensitive metasurfaces. Opt. Express 27, 9467–9480 (2019).
Notaros, J., Poulton, C. V., Byrd, M. J., Raval, M. & Watts, M. R. Integrated optical phased arrays for quasi-Bessel-beam generation. Opt. Lett. 42, 3510–3513 (2017).
Zhao, Y. et al. Free space spot-beamforming for IoT multi-user near-orthogonal overlay communications enhanced by OAM waves and reconfigurable meta-surface. Electromag. Sci. 3, 762–774 (2025).
Ding, A. et al. Focusing metasurfaces of (un)equal power allocations for wireless power transfer. IEEE Antennas Wireless Propag. Lett. 24, 4462–4466 (2025).
Lian, Y. et al. OAM beam generation in space and its applications: a review. Opt. Lasers Eng. https://www.sciencedirect.com/science/article/pii/S0143816621003924 1−17 (2022).
Chen, R., Zhang, Y., Xu, Q., Han, Y. & Wu, Z. Multiple scattering of Bessel beams propagating in advection fog and radiation fog. Front. Phys. 12, 1–14 (2024).
Reddy, I. V. et al. Ultrabroadband terahertz-band communications with self-healing bessel beams. Commun. Eng. 2, 1–9 (2023).
Efremidis, N. K., Chen, Z., Segev, M. & Christodoulides, D. N. Airy beams and accelerating waves: an overview of recent advances. Optica. 6, 686–701 (2019).
Lin, Z. et al. Acoustic non-diffracting Airy beam. J. Appl. Phys. 117, 104503 (2015).
Alpmann, C., Bowman, R., Woerdemann, M., Padgett, M. & Denz, C. Mathieu beams as versatile light moulds for 3D micro particle assemblies. Opt. Express 18, 26084–26091 (2010).
Tang, B., Ren, X., Shi, Y., Shi, J. & Xu, Z. The phase-only generation of self-accelerating Weber beams. Ultrasonics https://www.sciencedirect.com/science/article/pii/S0041624X25002574 (2025).
Zhao, Y., Wang, Z., Lu, Y. & Guan, Y. L. Multimode OAM convergent transmission with co-divergent angle tailored by airy wavefront. IEEE Trans. Antennas Propag. 71, 5256–5265 (2023).
Zhao, Y. et al. 2-bit RIS prototyping enhancing rapid-response space-time wavefront manipulation for wireless communication: experimental studies. IEEE Open J. Commun. Soc. 5, 4885–4901 (2024).
Ning, B. et al. Beamforming technologies for ultra-massive MIMO in terahertz communications. IEEE Open J. Commun. Soc. 4, 614–658 (2023).
Liu, Y. et al. Near-field communications: a comprehensive survey. IEEE Commun. Surveys Tuts. 27, 1687–1728 (2025).
Lu, Y., Zhang, Z. & Dai, L. Hierarchical beam training for extremely large-scale MIMO: From far-field to near-field. IEEE Trans. Commun. 72, 2247–2259 (2024).
Zhang, Q. et al. Multi-resolution codebook design and multiuser interference management for discrete XL-RIS-aided near-field MIMO systems. IEEE Trans. Wireless Commun. Early Access, 1–1 (2025).
Ma, X., Zhao, Y., Zhang, H., Guan, Y. L. & Yuen, C. Joint precoder and reflector design for RIS-assisted multi-user OAM communication systems. IEEE Trans. Wireless Commun. Early Access, 1–1 (2025).
Cheng, Z., Wei, Z., Li, H. & Yang, H. SLNR-based beamspace precoding and beam selection for wideband mmwave massive MIMO. IEEE Commun. Lett. 26, 478–482 (2022).
Acknowledgments
This work was supported in part by the Federal Ministry of Research, Technology and Space (BMFTR) as part of the project 6G-life (16KISK001K). The authors alone are responsible for the content of the paper.
Author information
Authors and Affiliations
Contributions
Authors B.B., M.P., A.N., and G.F. contributed to the theoretical analysis. B.B., M.P., and A.N. contributed to the simulations. Everyone (B.B., M.P., A.N., and G.F.) contributed to the writing of this paper. Finally, all authors (B.B., M.P., A.N., and G.F.) read and checked the final paper.
Corresponding author
Ethics declarations
Competing interests
The authors declare no competing interests.
Additional information
Publisher’s note Springer Nature remains neutral with regard to jurisdictional claims in published maps and institutional affiliations.
Rights and permissions
Open Access This article is licensed under a Creative Commons Attribution-NonCommercial-NoDerivatives 4.0 International License, which permits any non-commercial use, sharing, distribution and reproduction in any medium or format, as long as you give appropriate credit to the original author(s) and the source, provide a link to the Creative Commons licence, and indicate if you modified the licensed material. You do not have permission under this licence to share adapted material derived from this article or parts of it. The images or other third party material in this article are included in the article’s Creative Commons licence, unless indicated otherwise in a credit line to the material. If material is not included in the article’s Creative Commons licence and your intended use is not permitted by statutory regulation or exceeds the permitted use, you will need to obtain permission directly from the copyright holder. To view a copy of this licence, visit http://creativecommons.org/licenses/by-nc-nd/4.0/.
About this article
Cite this article
Banerjee, B., Parvini, M., Nimr, A. et al. Volumetric beam focusing: a new paradigm in extreme MIMO. npj Wirel. Technol. 2, 12 (2026). https://doi.org/10.1038/s44459-026-00026-1
Received:
Accepted:
Published:
Version of record:
DOI: https://doi.org/10.1038/s44459-026-00026-1









![Fig. 7: Average SE per user under angular clustering: 7 azimuths {−π/3, −π/4, −π/6, 0, π/6, π/4, π/3} with 35 users/azimuth at 3 m spacing (total 245 users), ULA with Nt ∈ [300, 600], fc = 8 GHz, Ptx = 1 W.](http://media.springernature.com/lw685/springer-static/image/art%3A10.1038%2Fs44459-026-00026-1/MediaObjects/44459_2026_26_Fig7_HTML.png)






