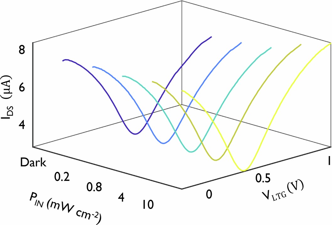
Extended Data Fig. 5: Chemical response of graphene ISFET under ambient illumination.
From: Self-powered chemical sensing via graphene, MoS2 and silicon integration

Transfer curves of graphene ISFETs for honey measured in dark and under various indoor illuminations with no measurable change in chemical response.