Abstract
Kibble-Zurek mechanism (KZM) uses critical scaling to predict density of topological defects and other excitations created in second order phase transitions. We point out that simply inserting asymptotic critical exponents deduced from the immediate vicinity of the critical point to obtain predictions can lead to results that are inconsistent with a more careful KZM analysis based on causality – on the comparison of the relaxation time of the order parameter with the “time distance” from the critical point. As a result, scaling of quench-generated excitations with quench rates can exhibit behavior that is locally (i.e., in the neighborhood of any given quench rate) well approximated by the power law, but with exponents that depend on that rate and that are quite different from the naive prediction based on the critical exponents relevant for asymptotically long quench times. Kosterlitz-Thouless scaling (that governs e.g. Mott insulator to superfluid transition in the Bose-Hubbard model in one dimension) is investigated as an example of this phenomenon.
Similar content being viewed by others
Introduction
The study of the dynamics of second-order phase transitions started with the observation by Kibble1,2 that, in the cosmological setting, as a result of relativistic causality, distinct domains of the nascent Universe will choose different broken symmetry vacua. Their incompatibility, characterized by the relevant homotopy group, will typically lead to topological defects that may have observable consequences.
In condensed matter (where the relativistic casual horizon is no longer a useful constraint) one can nevertheless define3,4,5 a sonic horizon that plays a similar role. The usual approach to estimating the size of the sonic horizon relies on the scaling of the relaxation time and of the healing length that are summed up by the critical exponents. Critical exponents define the universality class of the transition and this usually enables prediction of the scaling exponent that governs the number of the generated excitations (e.g., the density of topological defects) as a function of the quench timescale τQ for a wide range of quench rates.
Here we point out that this simple procedure fails in an interesting and unexpected manner for the Kosterlitz-Thouless universality class. That is, one can expect that - in the asymptotic regime where the transition is extremely slow - critical exponents will suffice for such predictions. However, while for the quench rates attainable in the laboratory one may still expect an approximate power law that relates density of excitations to the quench rate, the exponent that characterizes it will begin to approach predictions based on the critical exponents only asymptotically and for unrealistically (one might even say, astronomically) large values of the “sonic horizon”. Nevertheless, we show that the application of KZM can lead to predictions that are valid before the asymptotic regime characterized by the critical exponents becomes relevant.
Timescale
at which the “reflexes” of the order parameter of the system, quantified by the relaxation time τ, are too slow for its state to remain in approximate equilibrium with its momentary Hamiltonian (or free energy) controlled from the outside by the experimenter plays a key role. It is obtained from the equation3,4,5:

that compares relaxation time τ with the rate of change of the dimensionless distance from the critical point, e.g.
where Tc is the critical temperature. When
is taken to vary on a quench timescale τQ as

equation (1) leads to:

In phase transitions where the critical slowing down and critical opalescence can be characterized by power law dependencies of relaxation time and healing length,

equation (1) can be imidiately solved:

Above, ν and z are the spatial and dynamical critical exponents that characterize the universality class of the transition, while τ0 and ξ0 are dimensionful parameters determined by the microphysics. This leads to the characteristic scale

It gives the size of the domains that break symmetry in unison, and, hence, dictates the density of topological defects left behind by the transition.
Basic tenets of the above Kibble-Zurek mechanism have been confirmed by numerical simulations6,7,8,9,10,11,12,13,14,15,16,17,18, and, to a lesser degree (and with more caveats) by experiments19,20,21,22,23,24,25,26,27,28,29,30,31,32,33,34,35,36 in a variety of settings. Refinements include phase transition in inhomogeneous systems (see37 for recent overview) and applications of KZM that go beyond topological defect creation (see e.g.38,39,40,41). Recent reviews related to KZM are also available42,43,44,45,46.
Our aim here is to note that when the critical slowing down is given by a more complicated dependence then the simple power law of Eq. (4), the resulting
and, therefore,
will vary in a way that cannot be fully characterized by the critical exponents that otherwise suffice to predict their scaling with the quench rate. That is, topological defects or other excitations left behind by the quench will approach the scaling predicted by the critical exponents, Eq. (16), only asymptotically and begin to conform with it only in the regime of extremely slow transitions that may be well out of the reach of laboratory experiments. In the regime of faster quenches that may be accessible to experiments a power law may still be locally a reasonable fit, although its exponent will vary slowly, approaching the asymptotic prediction only very gradually.
Results
Kibble-Zurek mechanism in the Kosterlitz-Thouless universality class
This conclusion about the local power law dependence that approaches scaling dictated by the asymptotic vales of critical exponents is exemplified by the Kosterlitz-Thouless (KT) transition47,48,49. There the non-polynomial scaling of the healing length

where
, is captured by stating that the spatial critical exponent ν = ∞, see e.g.50. This is a brief and dramatic way to sum up the faster than polynomial divergence of ξ, but it may tempt one to misuse Eqs. (15,16). Thus, formally, one could insert ν = ∞ relevant for the KT universality class into Eq. (16) to obtain:

This equation may be (as we shall see below) asymptotically valid, but is unlikely to have the same range of validity as Eqs. (15,16) regarded as the consequence of Eq. (1). In particular, for large τQ the exponent
approaches 1/z, reflected in Eq. (8), only gradually.
To see why, consider the equation for the relaxation time τ ∝ ξz in the KT universality class:

and assume, as before,
. Equations (1) and (9) yield

Thus,
is now a solution of a transcendental equation. It can be obtained as

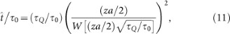
where W is the Lambert function. The above solution is plotted for different values of za/2 in Fig. 1A,B. This relation has been derived before and tested by numerical simulations in a 2D classical model in Ref. 51.
In the textbook version of the Kibble-Zurek mechanism, the time
when the time evolution ceases to be adiabatic satisfies a power law
.
In a log-log plot this power law becomes a linear function
, where τ0 is a characteristic timescale of the system. In (A), we plot
for a Kosterlitz-Thouless transition in function of τQ over many decades of the argument. This function may appear linear locally, i.e., in a range of one or two decades, but it actually becomes linear only for very slow quenches, and, consequently, for “astronomical” values of the frozen-out domain size
, Eq. (16). Indeed, in (B), we focus on the narrow range of τQ = 100…2τ0 that are small enough for a realistic experiment. These plots may be reasonably approximated by linear functions. In (C), a local slope
of the log-log plot in panel A in function of τQ. The slope 1, predicted in the critical limit when formally ν → ∞, is achieved but only for τQ in the “astronomical” regime. When we focus on more realistic τQ, as in panel D, the local slope turns out to be significantly lower than in the critical limit.
Figure 1C shows that the slope of unity for the dependence of
on τQ (and, therefore,
on
) is attained only for τQ many orders of magnitude larger than τ0 – for exceedingly slow quenches that are unlikely to be experimentally accessible. For even reasonably slow quenches the effective power law would be significantly less than 1, typically as small as ~0.5 for τQ ~ 10τ0, gradually increasing to 0.8…0.9 as τQ/τ0 grows to ~1010 or so.
Therefore, in transitions that exhibit KT-like non-polynomial scalings and result in symmetry breaking, the asymptotic behavior one might have inferred from the critical exponents sets in only in the regime that appears to be out of reach of experiments. For instance, the system would have to be large compared to the
, which means (when we take modest ξ0 ~ 10−10 m) that the size of the homogeneous system undergoing the transition should be large compared to
, say
, or, in other words, kilometers!
A similar difference between the critical limit and the critical regime, although with less dramatic consequences, arises near the para-to-ferro transition in the random Ising chain53,54,55:

where Jl and hl are randomly chosen ferromagnetic couplings and transverse magnetic fields respectively. Here in turn ν = 2 is a solid number and it is the dynamical exponent that diverges in the critical regime52:

The limit
, where z → ∞, implies
, i.e., a correlation length that does not depend on the quench time at all. However, a more careful analysis of the equation (1), employing the full formula (13) instead of just its critical limit, leads to a prediction that there is actually a slow logarithmic dependence on τQ, a conclusion that was confirmed by simulations in Refs. 53–55.
A similar care proves beneficial for a non-linear quench

considered e.g. in Ref. 56. Here sign is the sign function and r > 0 is an exponent. Equation (1) yields

and the characteristic scale of length

Again, this simple but careful argument leads to the same conclusion as the calculations in Ref. 56.
Kibble-Zurek mechanism in the Bose-Hubbard model
We emphasize that KT scaling is encountered in systems other than the classic KT transition in two dimensions (in which generation of vortex pairs occurs via thermal activation as the system is heated). Thus, while for the sake of definiteness, the discussion above was in the framework of finite temperature phase transitions, the universal character of the arguments makes the conclusions applicable also to quantum phase transitions in the ground state at zero temperature. The most celebrated example of the quantum KT universality class with z = 1 is the 1D Bose-Hubbard model57:

where bl is a bosonic annihilation operator at site l and
is an occupation number operator. At a commensurate filling of 1 particle per site, the ground state of the model undergoes a K-T quantum phase transition from a localized Mott phase at J < Jc to a superfluid phase at J > Jc. The energy gap on the Mott side of the transition is

Here x = J/U is a dimensionless ratio of the hopping rate J to the interaction strength U. Using Ref. 58, it is possible to estimate: xc = 0.26, Δ0 = 0.2 J and a = 0.3.
Any quench from the Mott to the superfluid phase can be linearized near the phase transition

The evolution ceases to be adiabatic at
when the reaction time Δ−1 of the system equals the time remaining to the transition |t|:

Its solution is

where the characteristic timescale is

This inverse gap is proportional to the correlation length set at
:

This correlation length is plotted in Figure 2.
In (A), a log-log plot of the correlation length
in function of the quench time τQ. In the textbook Kibble-Zurek mechanism there is a power law
. In a log-log scale this power law would look like a linear function:
. Our non-linear log-log plot can be reasonably approximated by a linear function locally, i.e., over a range of one or two orders of magnitude, but a local slope of this linearized approximation depends on the order of magnitude of τQ, as shown in panel (B). Fig. B shows the local slope
of the log-log plot in panel A in function of τQ. For τQ → ∞ the slope tends to 1, as predicted in the critical limit, but for any τQ that is reasonable experimentally it is significantly less than 1. For instance, the slope 0.9 is eventually reached at the “astronomical”
, but for a reasonable τQ = 100…2τ0 the slope drops to a mere 0.2…0.5.
To summarize, the equation (7) applies in the critical regime where
and not only in the limit
. When the last limit is taken in, say, the Bose-Hubbard model, then the equation implies a steep power law
, but a careful application of Eq. (7) in the whole critical regime shows that the steep power law is reached only for rather “astronomical” values of τQ and, especially, of
that can hardly be achieved in a realistic experiment. For more realistic quench times there is no power law, although in a narrow range of τQ there may appear to be one but with a much reduced exponent.
Discussion
We have seen that, in some cases, using KZM requires more than just inserting critical exponents (that are valid only asymptotically close to the critical point). Rather, to estimate the scale
one must make sure that the key idea behind KZM - the scaling of the sonic horizon that results from the critical slowing down - is accurately described by the critical exponents in the regime probed by the experiment. This may seem like a straightforward requirement, but, as we have seen, there are situations where it may not be easy to satisfy.
The example with Kosterlitz-Thouless scaling we have just discussed may be extreme in that the scaling represented by the asymptotic values of critical exponents is attained only in the limit that is – FAPP – unreachable in the laboratory. Nevertheless, the KZM-like analysis based on the actual dependence of the gap on
enables prediction of the scaling modified to suit the range of the experimentally implementable quench rates.
Key quantity for such considerations is
, the point where the behavior of the system changes character and the corresponding
that defines the sonic horizon. However, even before one evaluates such subtleties exemplified by the KT transition, it is useful to verify the KZM prerequisite, i.e., whether transition starts and ends sufficiently far from the critical point to justify appeal to KZM. In experiments that involve emulation of condensed matter systems using e.g. trapped ions or BEC's and optical lattices this may be far from straightforward, as experimental constraints may force relatively short quench timescales (i.e., modest values of τQ/τ0) which means that
may be too large – sonic horizon may be defined too far from the critical point – to expect near-critical scalings to be relevant. Similar remark applies to sizes of systems: Unless sonic horizon
is small compared to the size of the system, scalings predicted by homogeneous KZM will not apply (although – given certain additional assumptions – one may be able to deduce their modified versions37).
A related and interesting issue is how does KZM fail when the assumptions are only approximately satisfied or even violated. Experiments such as59 suggest that this might be a “soft failure”, i.e., some features of KZM (e.g., power law dependences) may still apply even while detailed predictions (exponents of these power laws) are unlikely to hold.
There are also indications that even when the requirement of starting and ending the quench on the outside of the
interval is satisfied only on one side, KZM like scaling may still emerge. While this is beyond the scope of the original KZM assumptions, it is clearly worthy of a more detailed investigation.
Indeed, the Bose-Hubbard model is “gapless” on the superfluid side, so in this sense only the
on the Mott insulator side is well defined. Yet, recent experiment suggests that59 that power laws may approximate the post-quench state of the system, although (at variance with KZM) their slopes appear to depend on where the system starts and ends the quench. Given that the investigated quench times were short
, so that quenches likely started and/or ended inside the
interval, this is no surprise.
One further complication that is worth noting is that the “original” KZM was focused on predicting densities of topologically protected objects. More recent extensions use it to predict other properties of the system following continuous phase transitions. Thus, the size of the sonic horizon has been used to estimate coherence length in the post-transition Bose-Hubbard superfluid. This is, again, an interesting extension and there are settings (e.g., quantum Ising) where the numerical results (e.g., behavior of entanglement entropy38) has been observed. However, as one moves away from the stable and well defined topological defects in integrable systems to less well defined and less stable characteristics (like coherence length in Bose-Hubbard systems that exhibit more complicated behavior), KZM may still yield useful “guidelines”, but regarding it as prediction without further justification requires courage.
References
Kibble, T. W. B. Topology of cosmic domains and strings. J. Phys. A: Math. Gen. 9, 1387 (1976).
Kibble, T. W. B. Some implications of a cosmological phase transition. Phys. Rep. 67, 183 (1980).
Zurek, W. H. Cosmological experiments in superfluid helium? Nature (London) 317, 505 (1985).
Zurek, W. H. Cosmic strings in laboratory superfluids and the topological remnants of other phase transitions. Acta Phys. Pol. B 24, 1301 (1993).
Zurek, W. H. Cosmological experiments in condensed matter systems. Phys. Rep. 276, 177 (1996).
Laguna, P. & Zurek, W. H. Density of kinks after a quench: When symmetry breaks, how big are the pieces? Phys. Rev. Lett. 78, 2519 (1997).
Yates, A. & Zurek, W. H. Vortex formation in two dimensions: When symmetry breaks, how big are the pieces? Phys. Rev. Lett. 80, 5477–5480 (1998).
Dziarmaga, J., Laguna, P. & Zurek, W. H. Symmetry breaking with a slant: Topological defects after an inhomogeneous quench. Phys. Rev. Lett. 82, 4749 (1999).
Antunes, N. D., Bettencourt, L. M. A. & Zurek, W. H. Vortex string formation in a 3D U(1) temperature quench. Phys. Rev. Lett. 82, 2824 (1999).
Antunes, N. D., Bettencourt, L. M. A. & Zurek, W. H. Ginzburg regime and its effects on topological defect formation. Phys. Rev. D 62, 065005 (2000).
Zurek, W. H., Bettencourt, L. M. A., Dziarmaga, J. & Antunes, N. D. Shards of broken symmetry: Topological defects as traces of the phase transition dynamics. Acta Phys. Pol. B 31, 2937 (2000).
Saito, H., Kawaguchi, Y. & Ueda, M. Kibble-Zurek mechanism in a quenched ferromagnetic Bose-Einstein condensate. Phys. Rev. A 76, 043613 (2007).
Dziarmaga, J., Meisner, J. & Zurek, W. H. Winding up of the wave-function phase by an insulator-to-superfluid transition in a ring of coupled bose-einstein condensates. Phys. Rev. Lett. 101, 115701 (2008).
Nigmatullin, R. et al. Formation of helical ion chains. arXiv:1112.1305.
del Campo, A. et al. Structural defects in ion crystals by quenching the external potential: the inhomogeneous Kibble-Zurek mechanism. Phys. Rev. Lett. 105, 075701 (2010).
De Chiara, G. et al. Spontaneous nucleation of structural defects in inhomogeneous ion chains. New J. Phys. 12, 115003 (2010).
Witkowska, E., Deuar, P., Gajda, M. & Rzaz·ewski, K. Solitons as the early stage of quasicondensate formation during evaporative cooling. Phys. Rev. Lett. 106, 135301 (2011).
Das, A., Sabbatini, J. & Zurek, W. H. Winding up superfluid in a torus via Bose Einstein condensation. Scientifc Reports 2, 352 (2012).
Chuang, I., Durrer, R., Turok, N. & Yurke, B. Cosmology in the laboratory: Defect dynamics in liquid crystals. Science 251, 1336 (1991).
Bowick, M. J., Chandar, L., Schiff, E. A. & Srivastava, A. M. The cosmological Kibble mechanism in the laboratory: String formation in liquid crystals. Science 263, 943 (1994).
Ruutu, V. M. H. et al. Vortex formation in neutron-irradiated superfluid 3He-B as an analogue of cosmological defect formation. Nature 382, 334 (1996).
Bäuerle, C., Bunkov, M., Fisher, S. N., Godfrin, H. & Pickett, G. R. Laboratory simulation of cosmic string formation in the early Universe using superfluid He–3. Nature 382, 332 (1996).
Carmi, R., Polturak, E. & Koren, G. Observation of spontaneous flux generation in a multi-Josephson-junction loop. Phys. Rev. Lett. 84, 4966 (2000).
Monaco, R., Mygind, J. & Rivers, R. J. Zurek-Kibble domain structures: The dynamics of spontaneous vortex formation in annular Josephson tunnel junctions. Phys. Rev. Lett. 89, 080603 (2002).
Maniv, A., Polturak, E. & Koren, G. Observation of magnetic flux generated spontaneously during a rapid quench of superconducting films. Phys. Rev. Lett. 91, 197001 (2003).
Sadler, L. E., Higbie, J. M., Leslie, S. R., Vengalattore, M. & Stamper-Kurn, D. M. Spontaneous symmetry breaking in a quenched ferromagnetic spinor Bose-Einstein condensate. Nature 443, 312 (2006).
Weiler, C. N. et al. Spontaneous vortices in the formation of Bose-Einstein condensates. Nature 455, 948 (2008).
Monaco, R., Mygind, J., Rivers, R. J. & Koshelets, V. P. Spontaneous fluxoid formation in superconducting loops. Phys. Rev. B 80, 180501(R) (2009).
Golubchik, D., Polturak, E. & Koren, G. Evidence for long-range correlations within arrays of spontaneously created magnetic vortices in a Nb thin-film superconductor. Phys. Rev. Lett. 104, 247002 (2010).
Chae, S. C. et al. Direct observation of the proliferation of ferroelectric loop domains and vortex-antivortex pairs. Phys. Rev. Lett. 108, 167603 (2012).
Griffin, S. M. et al. From multiferroics to cosmology: Scaling behaviour and beyond in the hexagonal manganites. Phys. Rev. X 2, 041022 (2012).
Mielenz, M. et al. Trapping of topological-structural defects in coulomb crystals. Phys. Rev. Lett. 110, 133004 (2013).
Ejtemaee, S. & Haljan, P. C. Spontaneous nucleation and dynamics of kink defects in zigzag arrays of trapped ions. Phys. Rev. A 87, 051401(R) (2013).
Ulm, S. et al. Observation of the Kibble-Zurek scaling law for defect formation in ion crystals. Nat. Commun. 4, 2290 (2013).
Pyka, K. et al. Topological defect formation and spontaneous symmetry breaking in ion Coulomb crystals. Nat. Commun. 4, 2291 (2013).
Lamporesi, G. et al. Spontaneous creation of Kibble-Zurek solitons in a Bose-Einstein condensate. Nature Phys. 9, 656 (2013).
del Campo, A., Kibble, T. W. B. & Zurek, W. H. Causality and non-equilibrium second-order phase transitions in inhomogeneous systems. J. Phys. C 25, 404210 (2013).
Cincio, L., Dziarmaga, J., Rams, M. M. & Zurek, W. H. Entropy of entanglement and correlations induced by a quench: Dynamics of a quantum phase transition in the quantum Ising model. Phys. Rev. A 75, 052321 (2007).
Zurek, W. H. Causality in condensates: Gray solitons as relics of BEC formation. Phys. Rev. Lett. 102, 105702 (2009).
Damski, B. & Zurek, W. H. Soliton creation during a Bose-Einstein condensation. Phys. Rev. Lett. 104, 160404 (2010).
Damski, B., Quan, H. T. & Zurek, W. H. Critical dynamics of decoherence. Phys. Rev. A 83, 062104 (2011).
Kibble, T. W. B. Symmetry breaking and defects in Patterns of Symmetry Breaking [Arodz, H., Dziarmaga, J. and Zurek, W. H. (eds.)]. [1–20]. (Kluwer Academic Publishers, London, 2003).
Kibble, T. W. B. Phase transition dynamics in the lab and the Universe. Phys. Today 60, 47 (2007).
Dziarmaga, J. Dynamics of a quantum phase transition and relaxation to a steady state. Adv. Phys. 59, 1063 (2010).
Polkovnikov, A., Sengupta, K., Silva, A. & Vengalattore, M. Colloquium: Nonequilibrium dynamics of closed interacting quantum systems. Rev. Mod. Phys. 83, 863 (2011).
del Campo, A. & Zurek, W. H. Universality of phase transition dynamics: Topological defects from symmetry breaking. Int. J. Mod. Phys. A 29, 1430018 (2014).
Kosterlitz, J. M. & Thouless, D. J. Ordering, metastability and phase transitions in two-dimensional systems. J. Phys. C 6, 1181 (1973).
Resnick, D. J. et al. Kosterlitz-Thouless transition in proximity-coupled superconducting arrays. Phys. Rev. Lett. 47, 1542 (1981).
Hadzibabic, Z. et al. Berezinskii-Kosterlitz-Thouless crossover in a trapped atomic gas. Nature 41, 1118 (2006).
Girvin, S. M. The Kosterlitz-Thouless phase transition. Unpublished lecture notes, Boulder. (2000).
Jelic, A. & Cugliandolo, L. F. Quench dynamics of the 2d XY model. J. Stat. Mech. (2011) P02032.
Fisher, D. S. Critical behavior of random transverse-field Ising spin chains. Phys. Rev. B 51, 6411 (1995).
Dziarmaga, J. Dynamics of a quantum phase transition in the random Ising model. Phys. Rev. B 74, 064416 (2006).
Caneva, T., Fazio, R. & Santoro, G. E. Adiabatic quantum dynamics of a random Ising chain across its quantum critical point. Phys. Rev. B 76, 144427 (2007).
Cincio, L., Dziarmaga, J., Meisner, J. & Rams, M. M. Dynamics of a quantum phase transition with decoherence: Quantum Ising chain in a static spin environment. Phys. Rev. B 79, 094421 (2009).
Barankov, R. & Polkovnikov, A. Optimal non-linear passage through a quantum critical point. Phys. Rev. Lett. 101, 076801 (2008).
Fisher, M. P. A., Grinstein, G. & Fisher, D. S. Boson localization and the superfluid-insulator transition. Phys. Rev. B 40, 546 (1989).
Elstner, N. & Monien, H. Dynamics and thermodynamics of the Bose-Hubbard model. Phys. Rev. B 59, 12184 (1999).
Braun, S. et al. Emergence of coherence and the dynamics of quantum phase transitions. arXiv:1403.7199.
Acknowledgements
This work was supported by the Polish National Science Center (NCN) under Project DEC-2013/09/B/ST3/01603 and by Department of Energy under the Los Alamos National Laboratory LDRD Program.
Author information
Authors and Affiliations
Contributions
J.D. and W.H.Z. jointly defined the project. J.D. and W.H.Z. contributed to the analysis, the interpretation and the preparation of the manuscript.
Ethics declarations
Competing interests
The authors declare no competing financial interests.
Rights and permissions
This work is licensed under a Creative Commons Attribution 4.0 International License. The images or other third party material in this article are included in the article's Creative Commons license, unless indicated otherwise in the credit line; if the material is not included under the Creative Commons license, users will need to obtain permission from the license holder in order to reproduce the material. To view a copy of this license, visit http://creativecommons.org/licenses/by/4.0/
About this article
Cite this article
Dziarmaga, J., Zurek, W. Quench in the 1D Bose-Hubbard model: Topological defects and excitations from the Kosterlitz-Thouless phase transition dynamics. Sci Rep 4, 5950 (2014). https://doi.org/10.1038/srep05950
Received:
Accepted:
Published:
DOI: https://doi.org/10.1038/srep05950
This article is cited by
-
Kibble-Zurek mechanism for nonequilibrium phase transitions in driven systems with quenched disorder
Communications Physics (2022)
-
Emergence of coherence via transverse condensation in a uniform quasi-two-dimensional Bose gas
Nature Communications (2015)




