Abstract
Myogenesis is an important process during both development and muscle repair. Previous studies suggest that mTORC1 plays a role in the formation of mature muscle from immature muscle precursor cells. Here we show that gene expression for several myogenic transcription factors including Myf5, Myog and Mef2c but not MyoD and myosin heavy chain isoforms decrease when C2C12 cells are treated with rapamycin, supporting a role for mTORC1 pathway during muscle development. To investigate the possibility that mTORC1 can regulate muscle in vivo we ablated the essential dTORC1 subunit Raptor in Drosophila melanogaster and found that muscle-specific knockdown of Raptor causes flies to be too weak to emerge from their pupal cases during eclosion. Using a series of GAL4 drivers we also show that muscle-specific Raptor knockdown also causes shortened lifespan, even when eclosure is unaffected. Together these results highlight an important role for TORC1 in muscle development, integrity and function in both Drosophila and mammalian cells.
Similar content being viewed by others
Introduction
The mTOR signaling pathway plays important roles during development in all eukaryotes and mTORC1 is a critical nutrient sensing protein kinase conserved in all eukaryotic organisms1,2. This kinase responds to nutrient and growth hormone signals in the environment and subsequently phosphorylates targets involved in aging, growth, protein lipid and glycogen metabolism3,4,5. In addition to these effects on differentiated cells, there is an emerging role for mTORC1 in the regulation of cellular differentiation during development including neurogenesis6,7, adipogenesis8 and myogenesis9,10,11. Consistent with these findings, either loss of the obligate mTORC1 complex members mTOR and Raptor, or treatment with rapamycin induces developmental lethality in mice12,13,14, worms15 and fruit flies16.
New muscle fiber formation occurs via the differentiation of muscle precursor cells called satellite cells17,18. This process involves a cascade of transcription factors including several basic helix-loop-helix transcription factors such as Myf5, Myog, Myod and Mef2c (reviewed in Refs. 19, 20). The direct target of mTORC1 on myogenesis has not been clearly established, but recent work has implicated mTORC1 in the regulation of MyoD protein stability, leading to a miR-1 dependent effect on myotube fusion21.
To determine the relevance of mTORC1 on muscle differentiation in vivo we have examined the effects of loss of TORC1 by both genetic and pharmacological approaches in the fruit fly, Drosophila melanogaster. In this study we present data supporting an essential developmental role of TORC1 in muscle development and/or integreity.
Methods
Tissue Culture and Myotube Formation
C2C12 cells were grown in High Glucose Dulbecco's Modified Eagle's Medium (DMEM; Sigma-Aldrich) supplemented with penicillin, streptomycin and glutamine (PSG; Life Technologies) and 10% Fetal Bovine Serum (Sigma-Aldrich). Once cells reached >90% confluence, differentiation media (2% Horse Serum from Sigma-Aldrich in DMEM with PSG) was added as previously described22 To determine when specific markers for differentiation were being expressed, cell lysates were prepared at time points between 0 and 15 days of differentiation. To determine the effects of rapamycin on differentiation, cells were treated every other day for 9 days with either vehicle alone (DMSO; Sigma-Aldrich), or 500 nM rapamycin (Cayman chemicals) dissolved in DMSO. Cell lysates were prepared on day 9 of treatment, one day after the latest rapamycin administration. Cell lysates were generated by washing once with ice-cold PBS followed by the addition of 1 ml of QIAzol (Qiagen) and scraping into a 1.5 ml microfuge tube. Lysates were stored at −80°C until RNA was purified.
Quantitative Real Time PCR
RNA was extracted with the PureLink RNA mini kit (Life Technologies). 1 μg of total RNA was used as a template to synthesize cDNA using the High Capacity Reverse Transcription Kit (Life Technologies). cDNA was added to Power SYBR Green PCR Master Mix in accordance with the manufacturer's guidelines (Life Technologies) and qRT-PCR performed on a Roche Lightcycler. A series of control genes including Gapdh, Rplp0, Actb and Rplp13a were examined and Gapdh was chosen as a control as it did not change across rapamycin concentrations or differentiation conditions. For a complete list of primers used, all purchased from IDT DNA, refer to Table 1. Relative expression was determined via the ΔΔCt method as previously described23.
Protein Analysis
Cells were treated as indicated in the figure legend and then were lysed in RIPA buffer (50 mM Tris, pH 7.4, 0.25% sodium deoxycholate, 1% NP40, 150 mM sodium chloride, 1 mM EDTA, 100 uM sodium orthovanadate, 5 mM sodium fluoride and 10 mM sodium pyrophosphate) for 15 minutes on ice, then centrifuged for 15 minutes at 13 000 RPM at 4°C. Clarified lysates were loaded on SDS-PAGE gels, transferred and blotted using antibodies raised against MyoD (Pierce, cat # MA1-41017), pS6 (Serine 235/236, Cell Signaling cat # 2211), S6 (Cell Signaling cat # 2317), pAkt (Serine 473, Cell Signaling cat # 3787), Akt (Cell Signaling cat #2920). Antibody complexes were detected by anti-mouse and anti-rabbit fluorescent conjugated antibodies and visualized using an Odyssey image scanner and blots were quantified using the Odyssey software version 2.1 (LiCOR).
Drosophila Stocks and Crosses
The stocks w1118, the three muscle GAL4 drivers (24B-GAL4, Hand-GAL4, c179-GAL4 and Mef2-GAL4), as well as both the Raptor and Tsc1 UAS-shRNA TRiP lines used (See Table 2) were obtained from the Bloomington Stock Center (Bloomington, IN). All flies were raised at 25°C on standard corn meal food with the exception of the 18°C crosses for 24B-GAL4. Rapamycin was added where indicated after fly food was cooled to below ~50°C. To prepare the crosses, virgin females were collected from each of the GAL4 driver strains. Ten virgin females were used per cross. Males with the appropriate genotype were chosen from each of the lines and crossed to male UAS-TRiP-shRNA lines for Raptor (3) or Tsc1 (3) as well as a UAS-TRiP control which contains the genomic insertion site but no shRNA24. Flies were maintained in a humidified (50–60%) incubator at 25°C. A subset of experiments were also performed at 18°C. Ten days after each cross the F1 progeny began to eclose and adults were sorted according to phenotype and gender. During each sorting, the number of flies of each phenotype was recorded. The sorted flies were put into new vials, with males and females separated and with 5–10 flies in each vial. Progeny were stored at 25°C until at least 100 flies of each genotype had been collected. At least three independent replicates of each cross were performed.
Quantification of Dead Pupae
Twenty days after the c179-GAL4 > UAS-shRNA-Raptor and Mef2-GAL4 > UAS-shRNA-Raptor crosses were made any remaining adult or F1 progeny flies were emptied from the vials. The empty pupal cases were counted and the cases containing dead flies were counted. Pupal cases containing a dead fly were markedly darker in color than the empty cases and contained a visibly formed black, shrunken fly.
Manual Assistance of Eclosure
In order to determine if flies were dying because they were too weak to eclose from their pupal cases or dead in their pupal cases for other reasons we manually removed the anterior puparial operculum under a dissecting microscope using fine forceps from stage ~12–13 pupae that were fully formed, but had not yet eclosed. This was accomplished by using a thin sheet of plastic on the inside of the vial on which the 3rd instar larvae could form pupae. The sheet was then removed for imaging at various time points and to manually open the pupal cases then placed back into a fresh vial for incubation at 25°C. Using this method allowed for the rescue of 3 Mef2-GAL4 > UAS-Raptor-shRNA adults that were too weak to begin to eclose, but with assistance of the removal of the operculum could get out of the case, inflate their wings and appeared morphologically normal.
Climbing Assay
To perform the climbing assay flies were tapped to the bottom of a vial and a stopwatch was started simultaneously. The stopwatch was stopped each time a single fly from the group in the vial climbed to a mark at 4 cm on the side of the vial. A separate time was recorded for each fly in the vial. This assay was first performed within 3 days post eclosure and repeated every ~30 days for a total of 3 trials.
Statistics
Statistical analyses were performed using the R statistical package (version 3.1.0)25. Prior to performing ANOVA analyses, normality was assessed by Shapiro-Wilk tests and equal variance was tested using Levene's tests (from the car package (version 2.0–20)26). If both these assumptions were met (p > 0.05) an ANOVA was performed. If either of these assumptions were not met, a Kruskal-Wallis test was performed. If either of those omnibus tests reached significance, then Student's t-tests or Wilcoxon Rank Sum Tests were performed as indicated, followed by an adjustment for multiple comparisons using the method of Benjamini and Hochberg27. Statistical significance for the manuscript was set at a p or q-value of ≤0.05. The investigators were blinded to the genotype of the crosses until analysis. For barplots, data represents the mean +/− the standard error of the mean. All raw data, analyzed data and code used to analyze the data and generate figures is available at http://bridgeslab.github.io/DrosophilaMuscleFunction/28.
Results
Rapamycin Inhibits Differentiation of Muscle Cells in Culture
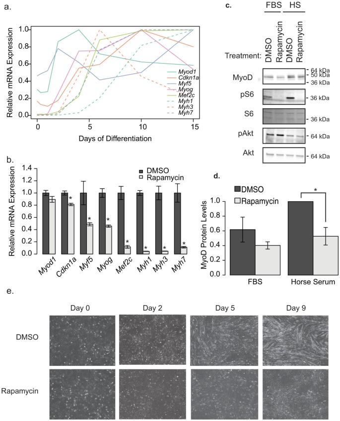
To determine the order in which myogenic markers are induced during myogenesis, we performed a time course experiment in C2C12 cells. We generated cell lysates at various time points between 0 and 15 days of the differentiation process and performed qRT-PCR to measure transcripts of known differentiation markers including Myf5, Myog, Mef2c, Cdkn1a and Myod1 as well as the major myosin heavy chain genes in these cells Myh1, Myh3 and Myh7. We observed that transcripts for Myf5, Myog, Cdkn1a and Myod1 are increased early in the process (∼day 2) and continue to increase throughout development with large increases in Mef2c not occurring until approximately day 5 and Myh1 increasing around day 7 (Figure 1a). This is consistent with previous observations of the transcriptional changes associated with muscle differentiation of cells in culture29,30.
Rapamycin blocks C2C12 differentiation.
(a) The order of appearance of myotube differentiation markers over the course of 15 days in differentiation media only. This is representative of three independent experiments. (b) Differences in differentation marker transcripts when treated with DMSO (vehicle) or 500 nM rapamycin for 9 days, throughout the differentiation protocol. The most recent rapamycin administration was 1 day prior to cell lysis. These data represent the average of three wells, from a representative experiment (n = 3). Transcripts from both (a) and (b) were measured by qRT-PCR and normalized to Gapdh. (c) Representative western blot analysis of C2C12 cells treated for 4 h with Differentiation Media (2% Horse Serum; HS) or left in growth media (10% FBS) in the presence of 500 nM Rapamycin or DMSO. (d) Quantification of the blots in c (n = 4 independent experiments). Protein phosphorylation is presented as the intensity of the phosphospecific antibody band relative to that proteins total protein band. (e) Images of morphological changes in C2C12 myoblasts in response to 10 days of DMSO or rapamycin treatment througout the differentiation protocol (500 nM). Asterisks indicate p < 0.05. Data represents mean +/− standard error of the mean.
Next we wanted to determine if rapamycin, a drug known to inhibit TORC1 signaling, had any effects on gene expression during differentiation (Figure 1b and c). Treatment with rapamycin throughout the differentiation protocol caused significant reductions in mRNA transcript levels detected for all differentiation markers measured (p < 0.05), with the exception of Myod1 (Figure 1b) and prevented the formation of myotubes (Figure 1c). We did not observe any fused myocytes in the rapamycin treated cells, suggesting that the earliest rapamycin-sensitive event is prior to myocyte fusion, which results in impaired myotubule formation. This is consistent with previous studies examining the effects of rapamycin on myoblast differentiation9,11,31,32,33.
Since Myod mRNA levels were unchanged, we next tested whether MyoD protein levels are altered by rapamycin treatment. We added the differentiation media for 4 h in the presence of DMSO or rapamycin and observed that rapamycin reduced MyoD protein levels in by 47% (Figures 1c–d). These data are consistent with the hypothesis that one role of mTORC1 in differentiation is through the stabilization of MyoD as previously suggested21, though whether there are other mTORC1 targets in early differentiation is not clear. Since the primary effect of miRNA-1 is on myotube fusion, it is likely that there are other mTORC1 dependent effects, as the morphological changes prior to myotube fusion are also disrupted by rapamycin11.
We also observed elevations in mTORC1 activity 4 h after the transition to differentiation media, as shown by increased S6 (Figure 1c). These data suggest that activation of mTORC1 signaling occurs during differentiation, consistent with previous reports11. Furthermore, this activation is unlikely to be due to increased of Akt signaling, which was actually decreased during the transition from 10% FBS to 2% horse serum. Morphologically, there was a complete lack of fused myotubes in the rapamycin treated cells at all time points observed (Figure 1e).
Muscle Specific Knockdown of Raptor Leads to Late Pupal Lethality in Drosophila
In order to study the role of TORC1 signaling on muscle development in vivo, we manipulated dTORC1 function in the model organism Drosophila melanogaster (fruit flies). First, we tested whether inhibition of the dTORC1 pathway affected the development of these flies. As previously reported, high doses of rapamycin prevents egg laying in females16. We performed dose curves and found that at much lower doses (EC50 of ~860 nM), although eggs could be seen in the vials, there was a complete absence of pupae and adult flies (Supplementary Figure 1). At these lower doses, there was no obvious distinction between inhibition of pupal lethality and prevention of fly eclosure, ie there was no observable dose in which pupae survived but flies were unable eclose. These data suggest that rapamycin inhibits fly muscle development, similar to what has been observed in mice12. It also supports studies showing that whole animal knockout of Raptor leads to developmental lethality in several model organisms13,14,15,34.
To look specifically at the role of dTORC1 in muscle, we knocked down either Tsc1 or Raptor to generate constitutive gain and loss of function of mTORC1 activity in fly muscles using the GAL4-UAS system35. We used several GAL4 drivers that drove expression of the UAS shRNA cassettes in both skeletal muscle and cardiac muscle. We targeted skeletal muscle using 24B-GAL4, C179-GAL4 and Mef2-GAL4 drivers, while cardiac muscle was targeted using the heart specific Hand-GAL4 driver. To minimize potential off target effects, three different shRNAs were used from the Harvard shRNA TRiP collection for each of the two genes (Raptor and Tsc1).
First, we crossed heterozygous, balanced 24B-GAL4/TM3, Sb flies with heterozygous, balanced UAS-shRNA/TM6B transgenic flies. The flies inheriting both balancer chromosomes had decreased viability and were excluded from the analysis. A control strain, expressing no shRNA had a modest decrease in the number of flies with the TM3, Sb/Control genotype (47% of flies of this genotype, with an expected ratio of 50%, n = 537 flies, p = 1 by Fisher's test). Progeny from crosses using the Hand-GAL4 driver appeared in roughly equal ratios (Figure 2a), indicating there is no obvious effect of manipulating dTORC1 in cardiac cells. Similarly, 24B-GAL4 driven expression of Tsc1 shRNA had no significant effect on viability. However, when the 24B-GAL4 driver was used to express Raptor shRNA, there was a dramatic decrease in the number of eclosed flies (Figure 2b). This indicates that 24B-GAL4 driven expression of Raptor shRNA is lethal at some point prior to eclosure. Similarly, another muscle specific driver, c179-GAL4 crossed to heterozygous UAS-Raptor-shRNA/TM6B resulted in a reduced number muscle-specific Raptor knockdown flies (i.e. c179-GAL4 > UAS-Raptor-shRNA), although in this case some flies expressing UAS-Raptor-shRNA were able to eclose (Figure 2c).
Skeletal muscle specific Raptor knockdown causes lethality.
(a) Proportion of progeny born from a Hand-GAL4/TM3, Sb × shRNAi/TM6B, Tb, Hu. The progeny that are TM6B/TM3 were excluded due to known reduced viability of flies with balancer chromosomes so the expected ratios (as indicated by the dotted line) are 0.33. Knockdown flies are shown in red throughout. (b) Proportion of progeny born from a 24B-GAL4/TM3, Sb × shRNA/TM6B, Tb, Hu cross. (c) Proportion of progeny born from a c179-GAL4/c179-GAL4 × shRNAi/TM6B, Tb, Hu cross. In this case half the progeny should be knockdown, so the expected ratio is 0.5. Asterisks indicates p < 0.05, testing the hypothesis that the knockout flies eclose at less than the expected proportions. Error bars indicate sampling standard error, with >195 flies examined for each cross.
We next attempted to rescue the lethality in 24B-GAL4 > UAS-Raptor-shRNA flies by lowering the temperature of the cross to 18°C. Colder temperatures decrease GAL4 expression in driver lines35. Decreasing the temperature to 18°C did not rescue the lethality of the 24B-GAL4/UAS-Raptor-shRNA flies and the birth rates of the two control genotypes were congruent with birth rates at 25°C (Supplementary Figure 2).
To test for the stage at which these flies fail to eclose, we next used c179-GAL4 and Mef2-GAL4, which drives expression late in muscle development36 and repeated the studies at 25°C. As a control, we used a fly line that was identical to the TRiP fly lines, but did not have a shRNA inserted (see Table 2). All flies where Raptor-shRNA was driven by Mef2-GAL4 died prior to eclosion (see Figure 3a). There was partial lethality in the three the c179-GAL4 mediated Raptor knockdown flies (q-value < 0.005 for those shRNA strains, with a 73–92% decrease in the number of flies depending on the strain, see Figure 3b). These results indicate that the c179-GAL4 driver is less efficient at mediating Raptor-specific lethality than the Mef2-GAL4 and the 24B-GAL4 drivers.
Muscle-specific Raptor knockdown flies die around pupal stage ~12–13 but pre-eclosure.
The graph depicts the birthrates of the progeny from crosses of homozygous GAL4 driver lines with homozygous Raptor shRNA transgenic flies or a control TRiP line. Panels a, c and f indicate Mef2-GAL4 driven knockdowns while b, d and g indicate c179-GAL4 mediated knockdowns. (a) and (b) show the total number of flies eclosed; (c) and (d) indicate the total number of pupae after 20 days and (f) and (g) show the percentage of dead pupae. Panel (e) shows a representative example of dead flies, still within their pupal cases for Mef2-GAL4 > UAS-Raptor-shRNA #1. Asterisks indicate p < 0.05 by ANOVA followed by Dunnett's test (b, c and d) or Kruskal-Wallis tests then Wilcoxon rank-sum tests followed by an adjustment for multiple comparisons (a, f and g). Each of these analyses describe the average 5–9 independent crosses, with error bars indicating standard error of the mean between replicate crosses.
Muscle Raptor Knockdown Flies Fail to Eclose from Pupae
To determine at which point prior to eclosure the Raptor knockdown flies die, we examined the pupal cases on the sides of the vials from the cl79-GAL4 > UAS-Raptor-shRNA crosses and the Mef2-GAL4 > UAS-Raptor-shRNA crosses. Twenty days after the crosses were prepared both the empty pupal cases and the cases containing dead flies were counted. We observed no significant differences in the total number of pupal cases from either of these crosses (Figure 3c–d, p = 0.416 and p = 0.066 from ANOVA respectively). In fact, we observed a slightly increased number of pupae from the Mef2-GAL4 > UAS-Raptor-shRNA crosses. These data support the hypothesis that lethality occurs after pupal development.
We next visually examined the pupal cases for the presence dead flies (Figure 3e). After blind scoring, we noted that for the Mef2-GAL4 driven Raptor knockdown nearly 100% of the pupal cases contained dead flies using two different anti-Raptor shRNA lines (15 fold more dead pupae than controls; Figure 3f). There was also a significant number of dead flies in pupal cases from the c179-GAL4 > UAS-Raptor-shRNA crosses (Figure 3g). Although the absolute number of dead pupae was variable among the shRNA-Raptor lines using c179-GAL4, in all cases the percentage of dead flies in pupal cases was significantly greater than controls (Figure 3g). These results demonstrate that Raptor knockdown in skeletal muscle produces lethality after pupal development, but prior to eclosure.
Lethality of Raptor Knockdown in Skeletal Muscle is due to an Inability to Eclose from the Pupal Case
To test whether the muscle Raptor knockdown-mediated lethality is due to a muscle weakness that prevents eclosure, we first carefully examined fly morphology within pupal cases. As shown in Figure 4a ten days after the cross a fully formed fly is visible within the pupal case and looks morphologically similar to control flies. By day 14 the control flies have completely eclosed leaving only empty pupal cases while the Mef2-GAL4 > Raptor flies are still in the pupal case. By day 20 the flies have started to decompose and appear dark as in Figure 3e.
Mef2-GAL4 Driven Raptor Flies Cannot Eclose from Pupal Cases.
(a) Flies with Mef2-GAL4 driven knockdown of the control shRNA or Raptor shRNA #1 were examined from pupal stage 10 till after expected eclosure. By day 14 after the cross, control flies had completely eclosed but Raptor knockdown flies remained inside the pupal cases. (b) On day 10, (approximately pupal stage 12) pupal cases were cut open at the operculum to assist eclosure, then after 4 days, climbing assays were performed on escaping flies. The Mef2-GAL4 > Raptor shRNA flies that eclosed with assistance had significantly impaired climbing. Asterisk indicates p < 0.005 by Wilcoxon Rank Sum test. Data represents mean +/− standard error of the mean.
To determine if this is due to an inability of the fly to exit the pupal case, we gently opened 5 pupal cases by removal of the operculum at day 10 (approximately stage 12–13 pupae) from Mef2-GAL4 > Raptor knockdown flies to assist in eclosure. In 4 out of 5 cases the flies eclosed successfully with 3 of these animals surviving >3 weeks. To validate that these eclosure-assisted flies had muscle weaknesses we performed climbing assays as shown in Figure 4b. The Mef2-GAL4 > Raptor flies exhibited dramatically reduced climbing ability as compared to controls indicating muscle weakness (p = 0.0025 by Wilcoxon Rank Sum Test).
Effects of Muscle-Specific Raptor Knockdown on Longevity
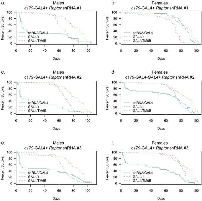
We next turned our attention to the few flies that survived from the c179-GAL4 cross. The lifespan of these Raptor knockdown flies was measured to determine the effects of dTORC1 suppression on longevity. When Raptor was knocked down in skeletal muscle using the c179-GAL4 driver, a large proportion of the flies that successfully eclosed died shortly afterwards. Interestingly, among the flies that survived, they generally had a normal lifespan (see Figure 5).
Lifespan of C179-GAL4 Driven Raptor Knockdown Flies.
Dashed lines indicate two control strains. Each panel shows a control of C179-GAL4 crossed to the control shRNA strain, as well as the balancer containing progeny of the C179-GAL4 homozygotes crossed to the heterozygous UAS-Raptor shRNA/TM6b flies. C179-GAL4 > Raptor shRNA #3 had the strongest effect on lifespan for both males and females, but all three Raptor shRNA constructs significantly decreased survival.
Effects of Muscle Specific Raptor Knockdown on Muscle Function
To study the effects of dTORC1 suppression on muscle function, a climbing assay was performed on the Raptor knockdown flies driven by the c179-GAL4 driver at several ages. Progeny from each cross were individually timed for how long it took them to climb 4 cm up the side of the vial. The average times for each cross are shown in Figure 6. The results indicate that dTORC1 suppression leads to reduced muscle function in the flies that eclose even very early, consistent a developmental problem in myogenesis. Notably, these problems persist throughout the lifespan of the fly, even in those animals that reach adulthood and have an average lifespan. Also interesting, is that there was a correspondence between the efficiency of the shRNA strain to cause lethality and its effects on climbing ability, indicating a potential gene-dosage effect on both of these phenotypes. This is consistent with other work in flies showing a correlation between climbing and lifespan37,38,39,40, indicating that muscle strength and aging are often linked, as is observed in humans41,42,43.
c179-GAL4 Driven Raptor knockdown flies have reduced climbing rate.
Average climbing rate as measured during three age range intervals (in days) for c179-GAL4 driven Raptor knockdown flies. Asterisk indicates p < 0.05 based on a Wilcoxon Rank-Sum test relative to the control flies and adjusted for multiple observations. Note that the different abscissa indicates age-related slowing of climbing speed. Data represents mean +/− standard error of the mean.
Mhc-GAL4 Driven Raptor Knockdown Does Not Result in Early Muscle Defects
In order to evaluate the effects of Raptor knockdown later during differentiation, we next utilized an Mhc-GAL4 driver. Mhc expression occurs quite late in the differentiation process relative to Mef2 in differentiating C2C12 cells (Figure 1a). In contrast to the other earlier GAL4 lines, we did not observe any defects in eclosure with Raptor knockdown using the Mhc-GAL4 driver (Figure 7a). We then evaluated the eclosed flies for climbing activity and did not observe any significant differences between these flies and control flies, although there was a slight trend towards decreased climbing activity (Figure 7b). We then evaluated the lifespan of these flies and found that in spite of no significant changes in observed birth rates, or climbing ability, both male and female flies tended to die earlier than control flies (Figure 7c). These results indicate that raptor continues to play a role in muscle function after development and eclosure.
Mhc-GAL4 Raptor knockdown flies have no detectable decreases in viability or climbing ability.
(a) Birth rates for crosses of Mhc-GAL4/TM6c vs homozygous shRNA strains. The expected birth ratio of this cross is equal numbers of progeny and is indicated by the dashed line. (b) Climbing activity for flies described in a, measured between 2 and 19 days of age. (c) Longevity analysis for Mhc-GAL4 > Raptor knockdown flies. Four shRNA strains are shown compared to the control shRNA strain crossed to Mhc-GAL4 (n > 98 for each gender/cross). HR indicates the hazard ratio, asterisk indicates q < 0.05. Data represents mean +/− standard error of the mean.
Discussion
Several previous reports have implicated mTORC1 activity or activation as a necessary step in myogenesis in vitro9,10,11,21,33. Our data is consistent with these findings. We provide data in support of the hypothesis that destabilization of MyoD with rapamycin treatment is an early inciting event in the inhibition of myogenesis, occurring within hours of treatment, consistent with previous observations21. Although mTORC1 is the primary target of rapamycin, studies using rapamycin-insensitive analogs of mTOR have suggested there may be alternative rapamycin-sensitive targets of rapamycin at other stages of myogenesis11,20,33.
At the end of the differentiation process, we did not observe any changes in Myod mRNA levels, but we did observe decreases in several other early differentiation targets, including Myog, Myf5 and Cdkn1a, which are all blocked by rapamycin. Since Mef2c is downstream of Myog, reductions in Mef2c levels are likely due to defects upstream of Myog44. The decreases in the mRNA levels at the end of the study for Myog, Myf5, Mef2c and Cdkn1a are likely reflective of undifferentiated cells and may not be direct mTORC1 targets. Although these data do not preclude the possibility of other unknown factors, our observations support the hypothesis that mTORC1 is required for MyoD stability, which is then required for activation of the remainder of the myogenic program.
To extend these in vitro findings into an in vivo system we have examined a panel of muscle-specific GAL4 drivers to knock down the Raptor gene in flies. We observed a complete or near-complete inability of flies to eclose with Mef2 and 24B drivers along with partial lethality using the c179 driver, but importantly, no lethality with the Mhc driver. All three of 24B-GAL445, Mef2-GAL446 and c179-GAL447,48 are reported to be expressed in wing disks as well as muscle and Mhc has been shown to be expressed in the developing embryo in addition to differentiated muscle49. A complete evaluation of the precise timing of activation of these drivers was not performed in this study, but one possibility is that Raptor is required for efficient muscle development at a stage corresponding to the Mef2/24B promoter activation, but is no longer required by the time Mhc is expressed. This hypothesis is supported by the finding that in C2C12 cells, Mhc genes are elevated after Mef2c and the other myogenic transcription factors (Figure 1a). Furthermore, mRNA profiling studies of wing disc derived cells lines show expression of Mef2 but not Mhc in these developing organs50. Alternately, it is possible that the differences observed between muscle drivers are due to differences in knockdown efficiency or different anatomical locations in which these drivers are active. A previous way to reduce dTORC1 signaling is to overexpress Tsc2 a negative regulator of dTORC1 signaling. Using the 24b-GAL4 transgene to drive UAS-Tsc2 expression, Kapahi and colleagues showed that these flies had reduced lifespan, consistent with our findings, although they did not report any eclosure defects51.
As shown in Figure 4, we are able to rescue the pupal lethality of these flies by assisting with their eclosure from pupal cases, but even when the flies emerge, they are noticeably weaker. This suggests that there may be a developmental defect or muscle maintenance defect Mef2-GAL4 > Raptor knockdown flies and the observed lethality is most likely due to an inability to emerge from pupal cases due to weakened muscle strength. This study did not address biochemical or morphological differences between wild-type and Raptor knockdown muscles, though the exact molecular nature of these changes in muscle strength warrants further study.
These findings are somewhat consistent with mouse studies in which human skeletal actin-driven (ACTA1) Cre expression drove the knockout of muscle Rptor. These mice were observed to be weaker than littermate controls and prone to early death52, similar to our observations of the c179-GAL4 and Mhc-GAL4 driven Raptor knockout flies. In the mouse model Rptor is not expected to be knocked down until post-differentiation, as Acta1 is expressed late in myogenesis and not at all in satellite cells53, so it is probable that these mice die of an alternative muscle-specific defect later in life and not a developmental myogenic defect. In c179-GAL4 driven Raptor knockdown flies we observed a critical period of about 20 days after eclosure during which the Raptor knockdown flies are still prone to early death. Furthermore, even outside of the context of reduced viability/climbing ability Mhc-GAL4 driven Raptor knockdown flies still died earlier than control flies (Figure 7c). The ACTA1-Cre driven Rptor knockout studies did not evaluate mTORC1-dependent myogenesis in mice. Another study implicated mTORC1 in the differentiation of ES cells into satellite cells, a process which is likely upstream of our model system54. Together these results implicate mTORC1 as essential at multiple steps of myogenesis and maintenance of muscle function in both flies and mice.
References
Loewith, R. & Hall, M. N. Target of rapamycin (TOR) in nutrient signaling and growth control. Genetics 189, 1177–201 (2011).
Zoncu, R., Efeyan, A. & Sabatini, D. M. mTOR: from growth signal integration to cancer, diabetes and ageing. Nat. Rev. Mol. Cell Biol. 12, 21–35 (2010).
Howell, J. J., Ricoult, S. J. H., Ben-Sahra, I. & Manning, B. D. A growing role for mTOR in promoting anabolic metabolism. Biochem. Soc. Trans. 41, 906–12 (2013).
Cornu, M., Albert, V. & Hall, M. N. mTOR in aging, metabolism and cancer. Curr. Opin. Genet. Dev. 23, 53–62 (2013).
Lamming, D. W., Ye, L., Sabatini, D. M. & Baur, J. A. Rapalogs and mTOR inhibitors as anti-aging therapeutics. J. Clin. Invest. 123, 980–9 (2013).
Zeng, M. & Zhou, J.-N. Roles of autophagy and mTOR signaling in neuronal differentiation of mouse neuroblastoma cells. Cell. Signal. 20, 659–65 (2008).
Tyler, W. A. et al. Activation of the mammalian target of rapamycin (mTOR) is essential for oligodendrocyte differentiation. J. Neurosci. 29, 6367–78 (2009).
Zhang, H. H. et al. Insulin stimulates adipogenesis through the Akt-TSC2-mTORC1 pathway. PLoS One 4, e6189 (2009).
Cuenda, A. & Cohen, P. Stress-activated protein kinase-2/p38 and a rapamycin-sensitive pathway are required for C2C12 myogenesis. J. Biol. Chem. 274, 4341–6 (1999).
Shu, L., Zhang, X. & Houghton, P. J. Myogenic differentiation is dependent on both the kinase function and the N-terminal sequence of mammalian target of rapamycin. J. Biol. Chem. 277, 16726–32 (2002).
Erbay, E. & Chen, J. The mammalian target of rapamycin regulates C2C12 myogenesis via a kinase-independent mechanism. J. Biol. Chem. 276, 36079–82 (2001).
Hentges, K. E. et al. FRAP/mTOR is required for proliferation and patterning during embryonic development in the mouse. Proc. Natl. Acad. Sci. U. S. A. 98, 13796–801 (2001).
Guertin, D. A. et al. Ablation in mice of the mTORC components raptor, rictor, or mLST8 reveals that mTORC2 is required for signaling to Akt-FOXO and PKCalpha, but not S6K1. Dev. Cell 11, 859–871 (2006).
Gangloff, Y. et al. Disruption of the mouse mTOR gene leads to early postimplantation lethality and prohibits embryonic stem cell development. Mol. Cell. Biol. 24, 9508–16 (2004).
Jia, K., Chen, D. & Riddle, D. L. The TOR pathway interacts with the insulin signaling pathway to regulate C. elegans larval development, metabolism and life span. Development 131, 3897–906 (2004).
Bjedov, I. et al. Mechanisms of life span extension by rapamycin in the fruit fly Drosophila melanogaster. Cell Metab. 11, 35–46 (2010).
Mauro, A. Satellite cell of skeletal muscle fibers. J. Biophys. Biochem. Cytol. 9, 493–5 (1961).
Collins, C. A. et al. Stem cell function, self-renewal and behavioral heterogeneity of cells from the adult muscle satellite cell niche. Cell 122, 289–301 (2005).
Eng, D., Ma, H.-Y., Gross, M. K. & Kioussi, C. Gene Networks during Skeletal Myogenesis. ISRN Dev. Biol. 2013, 1–8 (2013).
Ge, Y. & Chen, J. Mammalian target of rapamycin (mTOR) signaling network in skeletal myogenesis. J. Biol. Chem. 287, 43928–35 (2012).
Sun, Y. et al. Mammalian target of rapamycin regulates miRNA-1 and follistatin in skeletal myogenesis. J. Cell Biol. 189, 1157–69 (2010).
Yaffe, D. & Saxel, O. Serial passaging and differentiation of myogenic cells isolated from dystrophic mouse muscle. Nature 270, 725–727 (1977).
Schmittgen, T. D. & Livak, K. J. Analyzing real-time PCR data by the comparative CT method. Nat. Protoc. 3, 1101–1108 (2008).
Ni, J. et al. A genome-scale shRNA resource for transgenic RNAi in Drosophila. Nat. Methods 8, 405–7 (2011).
R Core Team. . R: A Language and Environment for Statistical Computing. (2013) http://www.R-project.org/ Date of access: 08/01/2015.
Fox, J. & Weisberg, S. An {R} Companion to Applied Regression. (Sage, 2011).
Benjamini, Y. & Hochberg, Y. Controlling the False Discovery Rate: A Practical and Powerful Approach to Multiple Testing. J. R. Stat. Soc. Ser. B 57, 289–300 (1995).
Hatfield, I. et al. Dataset for Drosophila Muscle Function Studies. ZENODO (2014). 10.5281/zenodo.16241.
Berkes, C. A. & Tapscott, S. J. MyoD and the transcriptional control of myogenesis. Semin. Cell Dev. Biol. 16, 585–95 (2005).
Brown, D. M., Parr, T. & Brameld, J. M. Myosin heavy chain mRNA isoforms are expressed in two distinct cohorts during C2C12 myogenesis. J. Muscle Res. Cell Motil. 32, 383–90 (2012).
Conejo, R., Valverde, A. M., Benito, M. & Lorenzo, M. Insulin produces myogenesis in C2C12 myoblasts by induction of NF-kappaB and downregulation of AP-1 activities. J. Cell. Physiol. 186, 82–94 (2001).
Coolican, S. A., Samuel, D. S., Ewton, D. Z., McWade, F. J. & Florini, J. R. The Mitogenic and Myogenic Actions of Insulin-like Growth Factors Utilize Distinct Signaling Pathways. J. Biol. Chem. 272, 6653–6662 (1997).
Park, I.-H. & Chen, J. Mammalian target of rapamycin (mTOR) signaling is required for a late-stage fusion process during skeletal myotube maturation. J. Biol. Chem. 280, 32009–17 (2005).
Murakami, M. et al. mTOR is essential for growth and proliferation in early mouse embryos and embryonic stem cells. Mol. Cell. Biol. 24, 6710–8 (2004).
Duffy, J. B. GAL4 system in Drosophila: a fly geneticist's Swiss army knife. Genesis 34, 1–15 (2002).
Mantrova, E. Y., Schulz, R. A. & Hsu, T. Oogenic function of the myogenic factor D-MEF2: Negative regulation of the Decapentaplegic receptor gene thick veins. Proc. Natl. Acad. Sci. U. S. A. 96, 11889–11894 (1999).
Leffelaar, D. & Grigliatti, T. A. A Mutation in Drosophila That Appears to Accelerate Aging. 210, 199–210 (1984).
Demontis, F., Patel, V. K., Swindell, W. R. & Perrimon, N. Intertissue Control of the Nucleolus via a Myokine-Dependent Longevity Pathway. Cell Rep. 1–14 (2014). 10.1016/j.celrep.2014.05.001.
Demontis, F. & Perrimon, N. FOXO/4E-BP signaling in Drosophila muscles regulates organism-wide proteostasis during aging. Cell 143, 813–25 (2010).
Walker, D. W. et al. Hypersensitivity to oxygen and shortened lifespan in a Drosophila mitochondrial complex II mutant. Proc. Natl. Acad. Sci. U. S. A. 103, 16382–7 (2006).
Pia, L., Heikkinen, E. & Kauppinen, M. Muscle Strength and Mobility as Predictors of Survival in 75–84 - Year - old People. Age Ageing 24, 468–473 (1995).
Ruiz, J. R. et al. Association between muscular strength and mortality in men: prospective cohort study. BMJ 337, a439 (2008).
Cooper, R., Kuh, D. & Hardy, R. Objectively measured physical capability levels and mortality: systematic review and meta-analysis. BMJ 341, c4467 (2010).
Rogerson, P. J., Jamali, M. & Skerjanc, I. S. The C-terminus of myogenin, but not MyoD, targets upregulation of MEF2C expression. FEBS Lett. 524, 134–8 (2002).
Luo, L., Joyce Liao, Y., Jan, L. Y. & Jan, Y. N. Distinct morphogenetic functions of similar small GTPases: Drosophila Drac1 is involved in axonal outgrowth and myoblast fusion. Genes Dev. 8, 1787–1802 (1994).
Ranganayakulu, G., Schulz, R. A. & Olson, E. N. Wingless Signaling Induces nautilus Expression in the Ventral Mesoderm of the Drosophila Embryo. 148, 143–148 (1996).
Anh, N. T. T., Nishitani, M., Harada, S., Yamaguchi, M. & Kamei, K. Essential role of Duox in stabilization of Drosophila wing. J. Biol. Chem. 286, 33244–51 (2011).
Celis, J. F. De. et al. Functional relationships between Notch, Su (H) and the bHLH genes of the during imaginal development. 2728, 2719–2728 (1996).
Corbin, V. et al. A role for the Drosophila neurogenic genes in mesoderm differentiation. Cell 67, 311–323 (1991).
Graveley, B. R. et al. The developmental transcriptome of Drosophila melanogaster. Nature 471, 473–479 (2011).
Kapahi, P. et al. Regulation of lifespan in Drosophila by modulation of genes in the TOR signaling pathway. Curr. Biol. 14, 885–90 (2004).
Bentzinger, C. F. et al. Skeletal muscle-specific ablation of raptor, but not of rictor, causes metabolic changes and results in muscle dystrophy. Cell Metab. 8, 411–24 (2008).
Schwander, M. et al. Beta1 integrins regulate myoblast fusion and sarcomere assembly. Dev. Cell 4, 673–85 (2003).
Rodgers, J. T. et al. mTORC1 controls the adaptive transition of quiescent stem cells from G0 to G(Alert). Nature 509, 393–6 (2014).
Acknowledgements
The authors would like to thank the members of the Bridges, Bissler and Reiter labs for insightful discussions and C. Valdez for assistance with animal husbandry. We would like to thank Markus Ruegg (University of Basel) for helpful discussions regarding this work. The qPCR instrumentation used in this study was provided by the Molecular Resource Center at UTHSC and we would like to thank William Taylor and Felicia Waller for their assistance. This study used stocks obtained from the Bloomington Stock Center (funded by NIH Grant P40OD018537). This work was supported in part by a Dean's Neurology Support Fund to LTR and the UTHSC Drosophila Transgenic Core.
Author information
Authors and Affiliations
Contributions
D.B., L.T.R., Is.H. and In.H. wrote the manuscript text. In.H. performed the experiments in Figure 1a, b and 3. D.B. performed the experiments in Figure 1c–d and 4b. Is.H. performed the experiments in Figures 2, 3, 5 and 6 as well as Supplementary Figures 1 and 2. L.T.R. performed the experiments in Figure 4a. E.R.Y. and J.R.R. performed the experiments in Figure 7. All authors reviewed the manuscript.
Ethics declarations
Competing interests
The authors declare no competing financial interests.
Electronic supplementary material
Supplementary Information
Supplementary Information
Rights and permissions
This work is licensed under a Creative Commons Attribution 4.0 International License. The images or other third party material in this article are included in the article's Creative Commons license, unless indicated otherwise in the credit line; if the material is not included under the Creative Commons license, users will need to obtain permission from the license holder in order to reproduce the material. To view a copy of this license, visit http://creativecommons.org/licenses/by/4.0/
About this article
Cite this article
Hatfield, I., Harvey, I., Yates, E. et al. The role of TORC1 in muscle development in Drosophila. Sci Rep 5, 9676 (2015). https://doi.org/10.1038/srep09676
Received:
Accepted:
Published:
DOI: https://doi.org/10.1038/srep09676
This article is cited by
-
Murine myoblast migration: influence of replicative ageing and nutrition
Biogerontology (2017)









