Abstract
Cyanoguanidines as well as azoles are important bioactive groups, which play an important role in the medical application; meanwhile, the high nitrogen content makes them excellent backbones for energetic materials. A Novel and simple method that combined these two fragments into one molecular compound was developed through the transformation of dicyanamide ionic salts. In return, compounds 4–11 were synthesized and fully characterized by IR, MS, NMR and elemental analysis. Meanwhile, the structures of compounds 4, 8 and 11 were confirmed by X-ray crystal diffraction. Detailed reaction mechanisms were studied through accurate calculations on the reaction energy profiles of the azolium cations and DCA anion, which revealed the essence of the transformation proceeding. Meanwhile, compound 8 exhibits excellent hypergolic property, which could be potentially novel molecular hypergolic fuel.
Similar content being viewed by others
Introduction
Cyanoguanidines, as important derivatives of nitriles, are polyfunctional species containing both the cyano and guanidine groups. Derivatives of cyanoguanidine have been found a number of applications in the fields such as high energetic materials1,2,3, medicine4 and environmental protection5.
For example, cyanoguanidine derivatives of pyridazinones have potent antisecretory and/or antiulcer activities6, while derivatives of loratadine have potential antitumor activity7. In addition, cyanoguanidines are important intermediates since the cyano group can be easily converted into a variety of functional groups8,9,10,11, such as it is a precursor for the synthesis of some organonitrogen compounds.
Furthermore, the cyanoguanidine group has strong affinity interaction with mercury and thus prominent adsorption capacity for Hg in aqueous phase with extraordinary selectivity, which has been adopted to remedy for heavy metal pollution. Although methods of cyanation have been extensively studied12,13,14,15, synthetic methodologies for preparation of cyanoguanidine are limited. For example, the cyanoguanidine functional group could be prepared from thiorea and mostly involved the isolation of intermediate of carbodiimide16.
Azoles are also important bioactive groups, which are widely used in the synthesis of medicine. Meanwhile, due to their high nitrogen content, azoles were often used to construct the polynitrogen energetic compounds17,18. Recently, dicyanamide anion-containing ionic liquids (DCA-ILs) received a considerable attention for their hypergolic properties19,20,21,22,23. However, the used cations were limited to the alkyl substituted imidazoles or hyamines. In our attempts to prepare more energetic 1,2,3-triazolium and 1-amino-3-methyl-1,2,3-triazolium dicyanamide salts, the targeted ionic salts were not obtained, but molecular compounds containing both azole and cyanoguanidine groups were obtained instead. The simple combination of azoles and cyanoguanidine into one compound attracted our interests strongly. Though Cu2+-mediated nucleophilic addition of pyrazoles to dicyanamide was reported24,25, to the best of our knowledge, the transformation between the heterocyclic cations and DCA anion in solid state is unprecedented.
To confirm whether this transformation could occur between DCA anion and other heterocyclic cations, we explored a series of azole hydrochlorides as substrates, including imidazolium, pyrazolium, 1,2,4-triazolium and their amino derivatives, 4-amino-1,2,4-triazolium, 1-amino-1,2,3-triazolium and 3,5-diamino-1,2,4-triazolium hydrochlorides (Fig. 1). Proposed mechanism of our new chemical reaction was studied by using DFT calculations.
Reactions of silver dicyanamide with various azolium salts.
Results
The synthesis of cyanoguanidine-azoles involved a simple two-step reaction, initiated by ion-exchange between azolium chloride or iodide with silver dicyanamide (resulted in a precipitation of AgCl or AgI), in aqueous solution. The second step included filtration of the silver salt, evaporation of the resulted solution with subsequent solid-state reaction within the residues, to yield target high-nitrogen content products 4-11 (Fig. 1). Formation of some these products, required a thermal treatment, in order to promote better yields of the desired compounds.
All products were isolated and characterized by IR, 1H NMR, 13C NMR, MS spectrum and elemental analysis. The structures of compounds 4, 8 and 11 were confirmed by X-ray crystallography.
MS spectrum is a direct confirmation of the transformation. The mass peaks of the transformation molecular products would appear in the spectrum if the transformation reactions happened. Otherwise, only mass peaks of the heterocyclic cations would appear. For example, taking imidazolium cation and DCA anion, the signal at m/z 134 could be assigned to the transformation product 6, which appears in ESI-MS spectrum, stating that the ionic complex was transformed into the compound in the solid. Analogous phenomena could be observed in corresponding ESI-MS for each of compounds of 4-11.
Crystals of compounds 4, 8 and 11, suitable for X-ray crystallography were obtained from methonal. For compound 4, the N2–N3–N4–C4, C2–N3–N4–C4 dihedral angles are 119.11(145)° and −70.58(195)°, respectively, indicating that the 3-cyanoguanidino group exhibits a considerable bending from the plane of a triazole ring, whereas the triazole ring and methyl group are coplanar [torsion angle C2–C1–N1–C3 177.09(147)°]. Also, the triazole rings and 2-cyanoamidino group [torsion angle N2–N3–C3–N5 –174.56(25)°, N2–N3–C3–N4 5.61(409)°] are coplanar in compound 8 (Fig. 2). The two amino groups in 11 lay perfectly within the plane of the 1,2,4-triazole ring. However, the hydrogen atoms of the amino groups in 11 are significantly twisted out of the plane of the triazole ring, with the maximum torsion angle of –29.5°. Moreover, we observed that, the incorporation of 2-cyanoamidino into the triazole ring results in a lengthening of the C1–N1 bond (1.386 Å) and N1–N2 bond (1.409 Å). The 2-cyanoamidino group lays in the plane of the triazole ring, as clearly shown by the N1–C3–N6–H6B torsion angle of –175.3° and N1–C3–N7–C4 torsion angle of –179.5°. Details of crystal data, bond lengths and angles are presented in Tables 1, 2 and 3.
(a) Diamond representation of the molecular structure of 8. Displacement ellipsoids are shown at 50% probability level. (b) Unit cell packing of 8. Blue spheres represent nitrogen atoms, gray spheres represent carbon atoms and smaller gray spheres represent hydrogen atoms.
Discussion
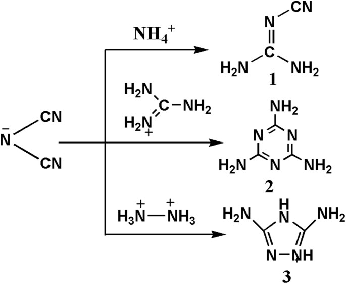
Why treatment of the azolium salts with the DCA could be transformed to the molecular products? Actually, the ionic salts between dicyanamide and ammonium26,27, guanidinium28, hydrazinium29 were successfully converted into cyano-guanidine, melamine and 3,5-diamino-1,2,4-triazole, respectively (Fig. 3). The relevant reaction mechanisms were also proposed, but not further confirmed. To better understand the transformation reaction mechanism, we carried on the theoretical studies in details.
Reported transformations of dicyanamide anion.
All the geometries were optimized by M06-2X/6-31+G(d,p) method30 without any constraint. Frequencies were calculated to ascertain the local minimum or transition structures. Single-point energies were calculated with the same functional together with higher aug-cc-pVTZ basis set. The combination could give the very accurate reaction barrier and energies of polynitrogen molecules, which can well reproduce the benchmark values obtained at the CCSD(T)/aug-cc-pVTZ level31. The implicit C-PCM solvation model32 was used to simulate the aqueous surroundings in the single-point energy calculations. All the calculations were implemented with G09 suits33.
For unsubstituted azolium cations such as 1,2,3-triazolium DCA in aqueous solution, our calculations show that the protonated 1,2,3-triazolium could form the hydrogen-bonding complex TD-1 when mixed with DCA anion through exothermic heat of only 4.0 kcal·mol−1. During TD-1 structure optimization, one proton could move to DCA anion with no barrier, which results in TD-1 formation. For TD-1 complex, the favoring interaction energy is estimated to be 3.7 kcal mol−1. The calculation indicates that TD-1 could be in aqueous solution although it is quite weak. The subsequent N-C bond is formed upon attack of γ-nitrogen atom to the carbon atom of DCA. Consistently, the other proton attached to the above nitrogen atom could be transferred to the terminal nitrogen atom of DCA anion (Fig. 4). Through the two successive proton transfer reactions with quite high barrier heights, the product TD-P (compound 4) could be available. Starting from the reactive complex TD-1 to the final product, the net reaction is exothermal by ca. 16.4 kcal·mol−1.
Theoretical calculation of reaction pathway for the transformation of 1,2,3-triazolium cation and dicyanamide anion to product 4. Blue spheres represent nitrogen atoms, gray spheres represent carbon atoms and white spheres represent hydrogen atoms.
For 1-amino-3-methyl-1,2,3-triazolium cation, the reaction mechanism should be a little different from that of the unsubstituted azolium cations. The dissociated proton can be provided by only the exocyclic NH2 group, which is clearly distinct from the case in the 1,2,3-triazolium cation.
Thus, the stable reactive complex MD-1 could be formed through exothermic heat of ca. 6.3 kcal·mol−1 (Fig. 5), which is comparable to the corresponding value of TD-1 formation. The trivial difference should be attributed to the fact that the protonated azolium ring has stronger acidity than 1-amino-3-methyl-1,2,3-triazolium. Their acidities can be assessed by the calculations of their deprotonated enthalpies (DPE) at the same theoretical level. Their gaseous DPEs are 261.2 kcal·mol−1 for 1,2,3-triazolium cation and 286.9 kcal·mol−1 for 1-amino-3-methyl-1,2,3-triazolium cation, respectively. The subsequent cross-link product is formed upon attack of the same nitrogen atom in the exocyclic amino group to the carbon of DCA, which is different from that of 1,2,3-triazolium. Consistently, one proton in the NH2 group could be transferred to the terminal nitrogen atom in DCA. The reaction is trivially endothermic and has a moderate barrier (28.2 kcal·mol−1) to be overcome to reach the corresponding intermediate MD-2, from which the other proton transferred to -NH of DCA gives the product MD-P (compound 8).
Theoretical calculation of reaction pathway for the transformation of 3-methyl-1-amino-1,2,3-triazolium cation and dicyanamide anion into compound 8. Blue spheres represent nitrogen atoms, gray spheres represent carbon atoms and white spheres represent hydrogen atoms.
Note that both compounds 4 (that is, TD-P in Fig. 4) and 8 (that is, MD-P in Fig. 5) have the same reaction temperature and the similar yield. The reaction time difference, however, is quite large as seen in Table 4. For the primary cross-linked reactions, the endothermic heat is 48.9 for TD-0 → TD-2 and 21.9 kcal mol−1 for MD-0 → MD-2, which are calculated relative to the two isolated molecules. Thus, formation of TD-2 should have the reaction time more than formation of MD-2 does. For the subsequent reactions towards the final product, formation of TD-P needs to successively override two barriers of 76.7 and 36.4 kcal mol−1. These data are clearly higher than one barrier of 27.3 kcal mol−1 for MD-P formation, seen in Figs 4 and 5. Combined with the present experimental results, the total reaction time should depend on the total reaction paths.
Other cations’ reactions with DCA anion share the similar mechanism. (seen in Supporting Information) The present calculations also discover the reaction essence of the azolium cation with DCA anion. The proton transfer is necessary for the subsequent reactions. Acidity of the proton in azolium rings is normally stronger than that of exocyclic amino group. Seemingly, both the -NH- of the azolium rings and the exocyclic N-NH2 are the potential candidates as the nucleophilic group attacking the carbon atom of the protonated DCA. Furthermore, together with the present experimental results, one of the reasons for the transformation reactions being thermodynamically favorable can be assigned to the covalent adducts formation. In consequence, the reaction could be further extended to other heterocyclic cations containing both dissociated protons and nucleophilic nitrogen atoms.
Since DCA-ILs were shown to behave as hypergolic fuels19,20,23, droplet-ignition test is a common methodology to evaluate whether our cyanoguanidine-azoles possess hypergolic properties. Due to relatively-high melting points of most of the prepared cyanoguanidine-azoles (Table 5), only liquid compound 8 was selected for droplet test to assess its hypergolic property, where high-speed camera was used to record its hypergolic performance (Fig. 6). It was found that 8 spontaneously ignited upon its mixing with white fuming nitric acid (WFNA) or with red fuming nitric acid (RFNA), showing ignition delay (ID) time of 8 ms and 10 ms, with WFNA and RFNA, respectively. Thus, here we presented a novel type of hypergolic fuels. In future, on a platform of compound 8, new cyanoguanidine-azole-based hypergolic liquids could be rationally designed and synthesized, by using azolium salts with relatively-low melting temperatures.
Hypergolic record of compound 8 by high-speed camera (a droplet of 8 into white fuming nitric acid).
The present studies show that these cyanoguanidine-containing compounds all have high nitrogen content and high enthalpy of formation.
The cyanoguanidine group as the energetic functional moieties, could be further modified into even more energetic groups, such as azoles and therefore are of high importance for future studies.
Conclusion
A new family of compounds, containing both cyanoguanidine and azole moieties, was synthesized for the first time, by reacting azolium salts with silver dicyanamide. The resulted products were comprehensively characterized by multinuclear NMR, mass spectrometry, FTIR and X-ray crystallography. Also, DFT calculations were carried out to study the mechanism of this new transformation, showing essential factors influencing this reaction. The discovered new solid-state reaction could be extended to other heterocyclic ring systems possessing the reaction essentials. Additionally, liquid compound 8 was exhibited good hypergolic performance through droplet test, which stands for a novel type of hypergolic compound.
Methods
General methods
All materials were commercially available and used as received. IR spectra were recorded by using KBr pellets for solids on a Bruker tensor 27, spectrometer. 1H NMR and 13C NMR s spectroscopy were recorded on ARX-400 instrument with TMS as an internal standard. Elemental analyses were performed on an Elementar Vario EL(Germany). The crystal structure was determined by Rigaku RAXIS IP diffractometer and SHELXTL crystallographic software package of molecular structure. To determine the thermal stability of the described compound, a TA-DSC Q2000 differential scanning calorimeter was used.
Silver dicyanamide
A solution of AgNO3 (3.40 g, 20 mmol) in distilled water (20 mL) was added dropwise to the solution of sodium dicyanamide (1.78 g, 20 mmol) in distilled water (40 mL) under stirring. After half an hour, the precipitate was filtered and rinsed with 10 mL distilled water. The precipitate was dried naturally to obtain a white solid (silver dicyanamide). Yield: 3.2g, 92%;
1-(2-Cyanoamidino)-1,2,3-triazole (4)
A mixture of 1-H-1,2,3-triazolium hydrochloride (0.53 g, 5 mmol) and silver dicyanamide (1.04 g, 6 mmol) in water (50 mL) was stirred for 3 h at room temperature. After that time, formed AgCl precipitate was filtered out and washed with water (3 × 15 mL). Combined aqueous fractions were evaporated under vacuum, producing white solid residue. The resulted solid was kept at room temperature for additional 2 h and then purified by recrystallization from methanol, to yield pure 4 (0.55 g, 81%), as a white solid. MS m/z (ESI+): 136.9 [C4H4N6]+. Elemental analysis (%) calcd for C4H4N6: C, 35.29; H, 2.97; N, 61.76%; found C 34.92, H 3.21, N 61.36%. IR (KBr): 3470, 3309, 3207, 2202, 2159, 1653, 1601, 1485, 1396, 1259, 1231, 1167, 1135, 1062, 1013, 961, 844, 803, 745, 694, 636, 551, 462 cm−1. 1H NMR(acetone-d6) δ: 9.86, 9.69, 8.70, 7.99 ppm. 13C NMR (D2O): δ: 155.60, 130.96, 122.34, 63.44 ppm.
1-(2-Cyanoamidino)-1,2,4-triazole (5)
A mixture of 4-H-1,2,4-triazolium hydrochloride (0.844 g, 8 mmol) and silver dicyanamide (1.39 g, 8 mmol) in water (100 mL) was stirred for 4 h at room temperature. After filtration of formed AgCl precipitate, it was washed with water and combined aqueous fractions were evaporated under vacuum, producing white solid residue. The resulted solid was heated to 50 °C for 1 h and then purified by recrystallization from methanol to yield pure 5 (0.82 g, 75%), as a white solid. MS m/z (ESI−): 135.0 [C4H4N6]−. Elemental analysis (%) calcd. for C4H4N6: C, 35.30; H, 2.96; N, 61.74%; found C 35.16, H 2.85, N 61.70%. M.p. 57.4 °C. IR (KBr): 3335, 3221, 3130, 2198, 1674, 1607, 1509, 1484, 1431, 1387, 1332, 1279, 1189, 1121, 1097, 1003, 984, 961, 889, 802, 787, 693, 673, 634, 566 cm−1. 1H NMR(DMSO-d6) δ: 8.24, 6.55, 5.99 ppm. 13C NMR (DMSO-d6): δ: 167.8, 153.9, 144.9, 114.2 ppm.
1-(2-Cyanoamidino)-imidazole (6)
A mixture of imidazolium hydrochloride (0.732 g, 7 mmol) and silver dicyanamide (1.22 g, 7 mmol) in water (100 mL) was stirred for 4 h at room temperature. After filtration of formed AgCl precipitate, it was washed with water and combined aqueous fractions were evaporated under vacuum, producing brown solid residue. The resulted solid was heated to 50 °C for 2 h and then purified by recrystallization from methanol to yield pure 6 (0.71 g, 75%). MS m/z (ESI−): 133.9 [C5H5N5]−. Elemental analysis (%) calcd. for C5H5N5: C, 44.44; H, 3.73; N, 51.83%; found C 44.35, H 3.64, N 51.78%. M.p. 180.3 °C (decomp.). IR (KBr): 3219, 3152, 3129, 2202, 2182, 1607, 1479, 1444, 1349, 1306, 1221, 1137, 1087, 1010, 974, 911, 849, 809, 749, 720, 641, 566, 543, 502 cm−1. 1H NMR(DMSO-d6) δ: 8.43, 8.35, 7.75, 7.38, 7.09 ppm. 13C NMR (DMSO-d6): δ: 167.2, 154.9, 136.1, 130.4, 116.9 ppm.
1-(2-Cyanoamidino)-pyrazole (7)
A mixture of pyrazolium hydrochloride (0.837 g, 8 mmol) and silver dicyanamide (1.39 g, 8 mmol) in water (100 mL) was stirred for 4 h at room temperature. After filtration of formed AgCl precipitate, it was washed with water and combined aqueous fractions were evaporated under vacuum, producing white solid residue. The resulted solid was heated to 50 °C for 1.5 h and then purified by recrystallization from methanol to yield pure 7 (0.86 g, 80%). MS m/z (ESI−): 134.0 [C5H5N5]−. Elemental analysis (%) calcd. for C5H5N5: C, 44.44; H, 3.73; N, 51.83%; found C 44.38, H 3.68, N 51.72%. M.p. 259.2 °C (decomp.). IR (KBr): 3311, 3140, 3099, 2260, 2200, 1683, 1600, 1535, 1497, 1410, 1383, 1213, 1158, 1078, 987, 941, 914, 766, 715, 643, 568, 538, 509 cm−1. 1H NMR (DMSO-d6) δ: 6.65, 5.87, 5.42, 4.09 ppm. 13C NMR (DMSO-d6): δ: 155.4, 144.4, 129.5, 114.6, 110.1 ppm.
3-Methyl-1-(3-cyanoguanidino)-1,2,3-triazole (8)
A mixture of 3-methyl-1-amino-1,2,3-triazolium iodide (1.13 g, 5 mmol) and silver dicyandiamide (1.04 g, 6 mmol) in water (60 mL) was stirred for 5 h at room temperature. After filtration of fomed AgI precipitate, it was washed with water (20 mL) and combined aqueous fractions were evaporated under vacuum, producing light yellow liquid. The resulted liquid could be solidified upon cooling and purified was conducted by crystallization from methanol at 4 oC to yield pure 8 (0.69 g, 84%). MS m/z (ESI+): 166.1 [C5H7N7]+. Elemental analysis (%) calcd. for C5H7N7: C 36.36, H 4.28, N 59.38%; found C 35.98, H 4.42, N 58.91%. M.p. 8.6 °C. IR (KBr): 3346, 3192, 3141, 3110, 2168, 1647, 1525, 1462, 1401, 1384, 1326, 1273, 1221, 1101, 1066, 930, 817, 720, 656, 610, 530, 489, 429 cm−1; 1H NMR (MeOD) δ: 8.57, 8.44, 4.29 ppm. 13C NMR (MeOD): δ: 131.0, 127.5, 39.2 ppm.
4-(3-cyanoguanidino)-1,2,4-triazole (9)
A mixture of 4-NH2-1,2,4-triazolium hydrochloride (1.085 g, 9 mmol) and silver dicyanamide (1.565 g, 9 mmol) in water (100 mL) was stirred for 4 h at room temperature. After filtration of formed AgCl, it was washed with water and combined aqueous fractions were evaporated under vacuum, producing pink viscous liquid. The resulted liquid was heated to 102 °C for 2 h and purified by recrystallization from methanol to yield pure 9 (0.83 g, 61%), as a light yellow solid. MS m/z (ESI−): 150.5 [C4H5N7]−. Elemental analysis (%) calcd. for C4H5N7: C, 31.79; H, 3.33; N, 64.88%; found C 31.70, H 3.25, N 64.79%. M.p. 72.1 °C, decomp. 287.6 °C. IR (KBr): 3337, 3171, 2963, 2185, 1638, 1560, 1459, 1421, 1375, 1262, 1096, 1025, 865, 803, 744, 625 cm−1. 1H NMR(DMSO-d6) δ: 8.35, 6.99, 6.18 ppm. 13C NMR(DMSO-d6) δ:165.1, 161.9, 143.8, 139.9 ppm.
1-(3-cyanoguanidino)-1,2,3-triazole (10)
A mixture of 1-NH2-1,2,3-triazolium hydrochloride (0.965 g, 8 mmol) and silver dicyanamide (1.39 g, 8 mmol) in water (100 mL) was stirred for 4 h at room temperature. After filtration of formed AgCl, it was washed with water and combined aqueous fractions were evaporated under vacuum, producing yellow viscous liquid. The resuled liquid was heated to 102 °C for 1 h and purified by recrystallization from methanol to yield pure 10 (0.75 g, 62%), as a yellow solid. MS m/z (ESI−): 149.9 [C4H5N7]−. Elemental analysis (%) calcd. for C4H5N7: C, 31.79; H, 3.33; N, 64.88%; found C 31.68, H 3.22, N 64.80%. M.p. 214.3 °C (decomp.). IR (KBr): 3305, 3196, 2199, 2159, 1701, 1664, 1595, 1499, 1384, 1130, 1079, 972, 762, 744, 688, 636, 545 cm−1. 1H NMR (DMSO-d6) δ: 9.43, 7.10 ppm.
3,5-diamino-1-(2-cyanoamidino)-1,2,4-triazole (11)
A mixture of hydrazine dihydrochloride (0.525 g, 5 mmol) and silver dicyanamide (2.08 g, 12 mmol) in water (100 mL) was stirred for 4 h at room temperature. After filtration of formed AgCl, it was washed with water and combined aqueous fractions were evaporated under vacuum, producing orange solid residue. The resulted solid was kept at room temperature for additional 2 h and then purified by recrystallization from methanol to yield pure 8 (0.61 g, 73%), as an orange solid. MS m/z (ESI+): 166.9 [C4H6N8]+. Elemental analysis (%) calcd. for C4H6N8: C, 28.92; H, 3.65; N, 67.46%; found C 28.89, H 4.02, N 67.16%. M.p. 85.5 °C. IR (KBr): 3400, 3309, 3237, 3122, 2360, 2330, 2026, 1626, 1586, 1563, 1488, 1418, 1348, 1127, 1090, 967, 928, 808, 725, 670, 665, 651, 619, 527, 507 cm−1. 1H NMR (Acetone-d6) δ: 8.46, 7.63, 5.42 ppm; 13C NMR (D2O): δ: 157.3, 155.3, 130.9, 124.8, 122.3 ppm.
Additional Information
How to cite this article: Liu, W. et al. Solid-state Reaction of Azolium Hydrohalogen Salts with Silver Dicyanamide–Unexpected Formation of Cyanoguanidine-azoles, Reaction Mechanism and Their Hypergolic Properties. Sci. Rep. 5, 10915; doi: 10.1038/srep10915 (2015).
References
R. R. Naredla & D. A. Klumpp . Benzamide synthesis by direct electrophilic aromatic substitution with cyanoguanidine, Tetrahedron Lett., 53, 4779–4781 (2012).
T. M. Klapotke & C. M. Sabte . Low energy monopropellants based on the guanylurea cation, Z. Anorg. Allg. Chem., 636, 163–175 (2010).
K. M. Yang, D. L. Cao, Y. X. Li, J. L. Wang & D. Wang . Synthesis and characterization of 1-methyl-3,5-dinitro-1,2,4-triazole, Chin. J. Energ. Mater., 19, 501–504 (2011).
B. Sadek, R. Alisch, A. Buschauer & S. Elz . Synthesis and dual histamine H1 and H2 receptor antagonist activity of cyanoguanidine derivatives, Molecules, 18, 14186–14202 (2013).
Y. Wang, et al. Preparation and characterization of a novel nano-absorbent based on multi-cyanoguanidine modified magnetic chitosan and its highly effective recovery for Hg(II) in aqueous phase, J. Hazard. Mater., 260, 9–15 (2013).
R. Bansal & S. Thota . Pyridazin-3(2H)-ones: the versatile pharmacophore of medicinal significance, Med. Chem. Res., 22, 2539–2552 (2013).
W. K. Liu, et al. Synthesis and biological evaluation of cyanoguanidine derivatives of loratadine, Bioorg. Med. Chem. Lett., 22, 6076–6080 (2012).
K. Starcevic, et al. Synthesis, photochemical synthesis, DNA binding and antitumor evaluation of novel cyano- and amidino-substituted derivatives of naphtha-furans, naphtha-thiophenes, thieno-benzofurans, benzo-dithiophenes and their acyclic precursors, Eur. J. Med. Chem., 41, 925–939 (2006).
F. F. Fleming, L. H. Yao, P. C. Ravikumar, L. Funk & B. C. Shook . Nitrile-containing pharmaceuticals: efficacious roles of the nitrile pharmacophore, J. Med. Chem., 53, 7902–7917 (2010).
J. Wang & H. Liu . Application of nitrile in drug design, Chin. J. Org. Chem., 32, 1643–1652 (2012).
H. Wang, et al. Cyano-substituted oligo(p-phenylene vinylene) single crystal: a promising laser material, Adv. Funct. Mater., 21, 3770–3777 (2011).
S. T. Ding & N. J iao. Direct transformation of N,N-dimethylformamide to –CN: Pd-catalyzed cyanation of heteroarenes via C-H functionalization, J. Am. Chem. Soc., 133, 12374–12377 (2011).
J. Kim, H. J. Kim & S. Chang . Synthesis of aromatic nitriles using nonmetallic cyano-group sources, Angew. Chem. Int. Ed., 51, 11948–11959 (2012).
Z. B. Shu, Y. X. Ye, Y. F. Deng, Y. Zhang & J. B. Wang . Palladium(II)-catalyzed direct conversion of methylarenes into aromatic nitriles, Angew. Chem. Int. Ed., 52, 10573–10576 (2013).
Y. Yang & S. L. Buchwald . Copper-catalyzed regioselective ortho C-H cyanation of vinylarenes, Angew. Chem., 126, 8821–8825 (2014).
K. S. Atwal, S. Z. Ahmed & B. C. O’Reilly . A facile synthesis of cyanoguanidines from thioureas, Tetra. Lett., 30, 7313–7316 (1989).
A. A. Dippold & T. M. Klapotke . Astudy ofdinitro-bis-1,2,4-triazole-1,1’-diol and derivatives: design of high-performance insensitive energetic materials by the introduction of N-oxides, J. Am. Chem. Soc., 135, 9931–9938 (2013).
P. Yin, D. A. Parrish & J. M. Shreeve . Bis(nitroamino-1,2,4-triazoles): N-bridging strategy toward insensitive energetic materials, Angew. Chem. Int. Ed., 53, 12889–12892 (2014).
S. Schneider, et al. Ionic liquids as hypergolic fuels, Energy & Fuels, 22, 2871–2872 (2008).
H. Gao, Y.-H. Joo, B. Twamley, Z. Zhou & J. M. Shreeve . Hypergolic ionic liquids with the 2,2-dialkyltriazanium cation, Angew. Chem., 121, 2830–2833 (2009); Angew. Chem. Int. Ed., 48, 2792–2795 (2009).
S. D. Chambreau, et al. Fourier transform infrared studies in hypergolic ignition of ionic liquids, J. Phys. Chem. A, 112, 7816–7824 (2008).
L. He, G. H. Tao, D. A. Parrish & J. M. Shreeve . Nitrocyanamide-based ionic liquids and their potential applications as hypergolic fuels, Chem. Eur. J., 16, 5736–5743 (2010).
K. Chingin, R. H. Perry, S. D. Chambreau, G. L. Vaghjiani & R. N. Zare . Generation of melamine polymer condensates upon hypergolic ignition of dicyanamide ionic liquids, Angew. Chem. Int. Ed., 50, 8634–8637 (2011).
G. A. Albada, et al. New Cu compounds with ligands synthesized through nucleophilic addition of pyrazoles to dicyanamide, synthesis, crystal structures and spectroscopy, Polyhedron, 29, 2473–2480 (2010).
L. L. Zheng, et al. Cu2+ mediated nucleophilic addition of different nucleophiles to dicyandmide-synthesis, structures and magnetic properties of a family of mononuclear, trinuclear, hexanuclear and polymeric copper(II) complexes, Eur. J. Inorg. Chem., 2008, 4616–4624 (2008).
B. V. Lotsch, J. Senker & W. Schnick . Characterization of the thermally induced topochemical solid-state transformation of NH4[N(CN)2] into NCN=C(NH2)2 by means of X-ray and neutron diffraction as well as Raman and solid-state NMR spectroscopy, Inorg. Chem., 43, 895–904 (2004).
B. V. Lotsch, W. Schnick, E. Naumann & J. Senker . Reorientational dynamics and solid-phase transformation of ammonium dicyanamide into dicyandiamide: a 2H solid-state NMR study, J. Phy. Chem. B, 111, 11680–11691 (2007).
B. V. Lotsch & W. Schnick . Towards novel C-N materials: crystal structures of two polymorphs of guanidinium dicyanamide and their thermal conversion into melamine, New J. Chem., 28, 1129–1136 (2004).
M. B. Frankel, E. A. Burns, J. C. Butler & E. R. Wilson . Derivatives of dicyanamide, J. Org. Chem., 28, 2428–2431 (1963).
Y. Zhao & D. G. Truhlar . The M06 suite of density functionals for main group thermochemistry, thermochemical kinetics, noncovalent interactions, excited states and transition elements: two new functionals and systematic testing of four M06-class functionals and 12 other functionals, Theor. Chem. Acc., 120, 215–241 (2008).
C. Qi, R. b. Zhang & S. p. Pang . Thermal stability of the N10 compound with extended nitrogen chain, RSC Adv., 2013,3, 17741 17748.
M. Cossi, N. Rega, G. Scalmani, & V. Barone . Energies, structures and electronic properties of molecules in solution with the C-PCM solvation model, J. Comp. Chem., 24, 669–681 (2003).
M. J. Frisch, et al. Gaussian, Inc., Wallingford CT, (2009).
Acknowledgements
Dr Liu W., Prof. Li Y.C. and Prof. Pang S.P. gratefully acknowledge the support of the Foundation of NSAF (No.11176004) and the opening project of State Key Laboratory of Science and Technology (The opening project number is ZDKT12-03). Dr. Lin Q.H., Prof. Chen P.W., Dr. Fang T. and Prof. Zhang R.B. declared no potential conflict interest.
Author information
Authors and Affiliations
Contributions
L.W., L.Y.C., Z.R.B. and P.S.P. wrote the main manuscript text. L.Q.H. prepared Fig. 1. C.P.W. and F.T. prepared Fig. 6. Z.R.B. prepared figs. 4–5. All authors reviewed the manuscript.
Ethics declarations
Competing interests
The authors declare no competing financial interests.
Electronic supplementary material
Rights and permissions
This work is licensed under a Creative Commons Attribution 4.0 International License. The images or other third party material in this article are included in the article’s Creative Commons license, unless indicated otherwise in the credit line; if the material is not included under the Creative Commons license, users will need to obtain permission from the license holder to reproduce the material. To view a copy of this license, visit http://creativecommons.org/licenses/by/4.0/
About this article
Cite this article
Liu, W., Lin, Qh., Li, Yc. et al. Solid-state Reaction of Azolium Hydrohalogen Salts with Silver Dicyanamide – Unexpected Formation of Cyanoguanidine-azoles, Reaction Mechanism and Their Hypergolic Properties. Sci Rep 5, 10915 (2015). https://doi.org/10.1038/srep10915
Received:
Accepted:
Published:
DOI: https://doi.org/10.1038/srep10915








