Abstract
By using first-principles calculations combined with the phonon Boltzmann transport equation, we systematically investigate the phonon transport of monolayer WSe2. Compared with other 2D materials, the monolayer WSe2 is found to have an ultralow thermal conductivity due to the ultralow Debye frequency and heavy atom mass. The room temperature thermal conductivity for a typical sample size of 1 μm is 3.935 W/m K, which is one order of magnitude lower than that of MoS2. And the room temperature thermal conductivity can be further decreased by about 95% in 10 nm sized samples. Moreover, we also find the ZA phonons have the dominant contribution to the thermal conductivity and the relative contribution is almost 80% at room temperature, which is remarkably higher than that for monolayer MoS2. This is because the ZA phonons have longer lifetime than that of LA and TA phonons in monolayer WSe2.
Similar content being viewed by others
Introduction
As a family of two-dimensional materials beyond graphene, transition metal dichalcogenides (TMDCs) like MoS2 have gained a lot of attention due to many unique properties and potential applications1,2,3,4,5,6. Unlike zero-bandgap graphene, TMDCs possess a direct bandgap, which allows potential applications such as field effect transistors (FETs) and electroluminescent devices7,8. Very recently, the MoS2 is also regarded as a promising candidate for thermoelectric applications due to the large Seebeck coefficient and low thermal conductivity9,10,11,12,13,14. In general, the efficiency of a thermoelectric material to convert heat into electricity (and vice versa) is captured by a dimensionless figure of merit of the materials, defined as
, where
is the Seebeck coefficient, σ is the electronic conductivity, T is the absolute temperature, κ is the thermal conductivity including both the phononic contribution κph and electronic contribution κe. Therefore, low thermal conductivity is necessary to improve the thermoelectric energy conversion efficiency in thermoelectric application15,16,17,18.
WSe2, as another two-dimensional TMDCs, has much lower lattice thermal conductivity than MoS219,20. An experimental measurement has reported that the cross-plane thermal conductivity of disordered WSe2 thin films is as low as 0.05 W/mK, which is the lowest thermal conductivity ever reported for a dense solid19 and the extremely low cross-plane conductivity is attributed to intensive phonon localization. Before long, the in-plane thermal conductivity of disordered WSe2 thin films was also reported by Shi and co-workers20. Their measurement results show that the in-plane thermal conductivity of the disordered layered WSe2 thin films is still about six times lower than that of compacted single-crystal platelets. These studies suggest that the WSe2 has great application potential in thermoelectric applications. In addition, recent experimental results are demonstrated WSe2 can be also used for making FETs and complementary inverters21,22,23, which has not yet been achieved on other TMDCs. In these applications, the thermal conductivity is a crucial parameter. Unfortunately, the systematical theoretical analysis on thermal transport properties of WSe2 is still in its infancy.
In addition, we know that there are three acoustic phonon modes in two-dimensional nanosheet, which are out-of-plane acoustic (ZA), transverse acoustic (TA) and longitudinal acoustic (LA) phonons and the relative contribution of spectral phonons to thermal conductivity are crucial for understanding and modulating the thermal conductivity of nanostructures24,25. The relative contribution of different acoustic phonon modes to thermal conductivity of graphene and MoS2 has been widely studied10,24, however, this knowledge of WSe2 has not been reported.
Therefore, in the present work, we systematically investigate the influence of size, temperature and boundary roughness on the thermal conductivity, as well as the relative contribution of spectral phonons to thermal conductivity for monolayer well-ordered WSe2 by using first-principles calculations combined with the phonon Boltzmann transport equation (PBTE) with relaxation time approximation. The results show that the monolayer WSe2 is found to have an ultralow thermal conductivity, compared with other 2D materials. The room temperature thermal conductivity of monolayer WSe2 for a typical sample size of 1 μm is 3.935 W/m K, which is one order of magnitude lower than that of MoS2. And the room temperature thermal conductivity can be further decreased by about 95% in 10 nm sized samples. Moreover, we also found that the ZA phonons have the dominant contribution to the thermal conductivity in WSe2, the relative contribution to the thermal conductivity is almost 80% at room temperature, which is remarkably higher than that for monolayer MoS2. It is because the lifetime of ZA phonons is much longer than that of LA and TA phonons in monolayer WSe2.
Results
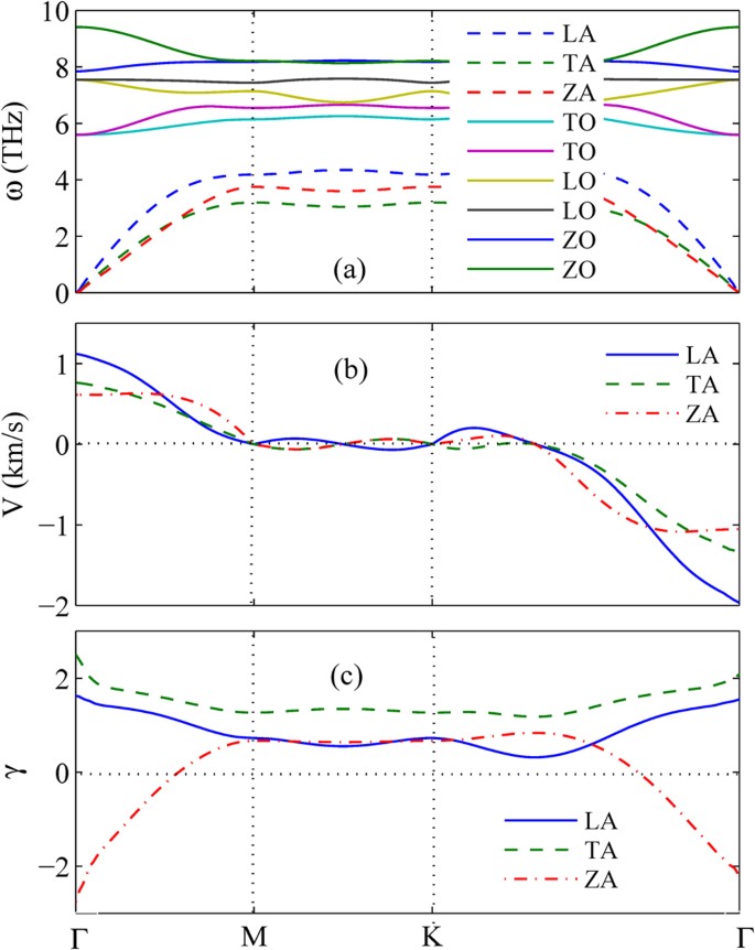
The temperature dependence of phonon thermal conductivity in monolayer WSe2 with different size is presented in Fig. 1. According to our calculation, the in-plane thermal conductivity of WSe2 is isotropic. For instance, the room thermal conductivity of WSe2 for a size of 1 μm along armchair and zigzag direction is 4.52 W/mK and 3.35 W/mK, respectively. Here, we take the average value of thermal conductivity along armchair and zigzag direction as the in-plane thermal conductivity. From Fig. 1, we can find that the room temperature thermal conductivity of monolayer WSe2 for a typical sample size of 1 μm is 3.935 W/m K, which is consistent with the previous experimental measurements, the diamonds taken from refs 20 and 21 as shown in Fig. 1 and the room temperature thermal conductivity can be further decreased to 0.23 W/mK in 10 nm sized samples. For purposes of comparison, we also give the previous theoretical and experimental values of thermal conductivity in MoS2 as shown in Fig. 1. For a sample size of 1 μm, the superior theoretical values of room temperature thermal conductivity of MoS2 are 83 W/mK and 103 W/mK, which calculated by solving phonon Boltzmann transport equation10,26. The inferior theoretical value of room temperature thermal conductivity in MoS2 is 23.3 W/mK calculated by using nonequilibrium Green’s function method27. The experimental values of room temperature thermal conductivity for monolayer and few-layer MoS2 are 34.5 W/mK and 52 W/mK, respectively14,28. Therefore, compared with monolayer MoS2, monolayer WSe2 has an ultralow thermal conductivity, which is one order of magnitude lower than that of MoS2. The ultralow thermal conductivity is due to the ultralow Debye frequency and heavy atom mass in monolayer WSe2. The influences of Debye frequency and atom mass to phonon thermal conductivity are also presented in previous research29. The relative atomic mass of MoS2 is 160.072 and the relative atomic mass of WSe2 is 341.76. So the atom mass of MoS2 is much heavier than that of WSe2. Moreover, from Fig. 2 (a), we can find that the Debye frequencies of TA, LA and ZA branch in WSe2 are 3.19 THz, 4.18 THz and 3.74 THz and the Debye frequencies of TA, LA and ZA branch in MoS2 taken from ref. 13 are 4.80 THz, 7.20 THz and 5.70 THz, respectively. So the Debye frequencies of each branch in WSe2 are significantly lower than that in MoS2. Therefore, heavy atom mass and ultralow Debye frequency led to the ultralow thermal conductivity in monolayer WSe2.
In addition, from Fig. 1, we also find that the thermal conductivity of WSe2 increases with the increasing of temperature and then decreases. This phenomenon can be understood from the two effects of temperature on thermal conductivity. On the one hand, with the increase of temperature, a growing number of phonons are excited to participate in thermal transport. This is the “positive” effect on thermal conductivity. On the other hand, the Umklapp phonon-phonon scattering is enhanced with the increase of temperature. This is the “negative” effect on thermal conductivity. Therefore, the influence of temperature on thermal conductivity depends on the competition of the two factors. At low temperatures, the Umklapp phonon-phonon scattering is very weak, the first effect is dominant and so the thermal conductivity of WSe2 increases with the increasing temperature. At high temperatures, the Umklapp phonon-phonon scattering is dominant, so the thermal conductivity of WSe2 decreases with the increase of temperature.
The size dependence of thermal conductivity in monolayer WSe2 under different temperature is also researched as shown in Fig. 3(a). It is clearly shown that the thermal conductivity of monolayer WSe2 increases monotonically with the increasing of size under any temperature, however, the rate of increase is different under different temperature. Under low temperature such as
K, the increase of thermal conductivity is almost linear, that is to say, the rate of increase is almost constant. In contrast, under high temperature such as
K, the increase rate of thermal conductivity decreases obviously with the increasing of size. This phenomenon can be well understood from the phonon scattering mechanism. Under low temperature, the linearly increasing behavior of thermal conductivity is a signature of the phonon-boundary scattering dominated thermal transport. It is because the Umklapp phonon-phonon scattering is very weak at low temperature and the phonon-boundary scattering is dominant. When the sample size is less than the phonon mean free path, the phonon transport is ballistic and the phonon mean free path increases linearly with the increasing of sample size leading to the linearly increasing behavior of thermal conductivity. However, with the increasing of temperature, the Umklapp phonon-phonon scattering is enhanced significantly leading to the decreasing of phonon mean free path, resulting in the decreasing of increase rate of thermal conductivity with the increasing of sample size. In fact, this behavior indicates a crossover from ballistic to ballistic-diffusive thermal transport. The similar phenomenon and interpretation also appears in the previous studies30,31,32. In short, the size dependence of thermal conductivity in monolayer WSe2 under different temperature depends on the competition of phonon-boundary scattering and Umklapp phonon-phonon scattering.
The influence of boundary roughness on thermal conductivity for a typical sample size of 1 μm is also researched, as shown in Fig. 3(b). As we know, the specular phonon scattering from a smooth interface (p = 1) is momentum-conserving and does not add to thermal resistance. Only the diffuse phonon scattering from a rough interface (p < 1) adds to thermal resistance. It is because the diffuse phonon scattering changes the phonon momentum, limiting the phonon mean free path33. Therefore, we can find that the thermal conductivity increases monotonically with the increasing of the specularity parameter. In addition, as shown in Fig. 3(b), the increase rate of thermal conductivity at low temperature is far greater than that at high temperature. This is because the Umklapp phonon-phonon scattering is very weak at low temperature and the phonon-boundary scattering is dominant. The phonon mean free path increases quickly with the increasing of specularity parameter. However, at high temperature, the Umklapp phonon-phonon scattering is enhanced, limiting the increase rate of phonon mean free path with the increasing of specularity parameter. Therefore, the increase rate of thermal conductivity at low temperature is far greater than that at high temperature with the increasing of specularity parameter.
The temperature dependence of thermal conductivity of spectral branch in a size of 1 μm is plotted in Fig. 4(a). It is clearly shown that the thermal conductivities of LA, TA and ZA branches of WSe2 are all proportional to
at low temperature. This is due to the linear dispersion of LA, TA and ZA branch near the Γ point as shown in Fig. 2(a)34. At high temperature, however, the thermal conductivities of LA, TA and ZA branches approach a 1/T behavior, which is a signature of high temperature phonon-phonon scattering34. Moreover, we also give the relative contribution of spectral phonons to thermal conductivity in monolayer WSe2 as shown in Fig. 4(b). We can clearly find that the LA and TA phonons have relatively small contribution and the ZA phonons have the dominant contribution to the thermal conductivity and in a wide temperature range, the relative contribution of ZA phonons to the thermal conductivity increases remarkably with the increasing of temperature. At room temperature, the relative contribution of ZA phonons to the thermal conductivity is almost 80%, which is remarkably higher than that for monolayer MoS224.
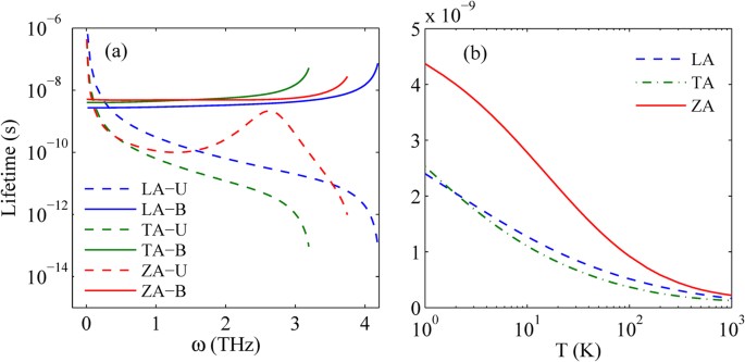
In order to understand this behavior, we calculate the separate phonons lifetimes of LA, TA and ZA branches for Umklapp phonon-phonon scattering and phonon-boundary scattering, as shown in Fig. 5(a). For the low frequency phonons, the phonon-boundary scattering is more significant than Umklapp phonon-phonon scattering, so the phonons lifetimes of LA, TA and ZA branches for Umklapp phonon-phonon scattering is longer than that for phonon-boundary scattering. With the increasing of phonon frequency, the Umklapp phonon-phonon scattering is enhanced, but the phonon-boundary scattering, which is dependent on the sample size and phonon group velocity, is almost constant below certain frequency and then increases. The increment is due to the phonon group velocity decreases obviously with the increasing of phonon frequency in the high frequency region, which can be seen from Fig. 2 (b). Therefore, for the high frequency phonons, the Umklapp phonon-phonon scattering is more significant than phonon-boundary scattering, leading to the shorter phonons lifetimes for Umklapp phonon-phonon scattering. In order to compare the separate phonons lifetimes of LA, TA and ZA branches intuitively, we calculate the averaged phonons lifetimes at different temperature in Fig. 5(b). The averaged phonons lifetimes of branch λ is derived as24
. From Fig. 5(b), we can clearly find that the phonons lifetimes of ZA branch is far greater than that of LA and TA branch over the whole temperature region. This result is in good agreement with the above conclusion that the ZA phonons have the dominant contribution to the thermal conductivity in monolayer WSe2.
(a) The separate phonons lifetimes of LA, TA and ZA branches for Umklapp phonon-phonon scattering and phonon-boundary scattering with different frequencies in monolayer WSe2 with a size of 1 μm. (b) The averaged phonons lifetimes of LA, TA and ZA branches at different temperature in monolayer WSe2 with a size of 1 μm.
Discussion
In summary, by using first-principles calculations combined with the PBTE with relaxation time approximation, we systematically investigate the influence of size, temperature and boundary roughness on the thermal conductivity of monolayer WSe2. Compared with other 2D materials, the monolayer WSe2 is found to have an ultralow thermal conductivity. The room temperature thermal conductivity for a typical sample size of 1 μm is 3.935 W/m K, which is one order of magnitude lower than that of MoS2. And the room temperature thermal conductivity can be further decreased by about 95% in 10 nm sized samples. The ultralow thermal conductivity is due to the ultralow Debye frequency and heavy atom mass in monolayer WSe2. Moreover, we also investigate the relative contribution of spectral phonons to thermal conductivity in monolayer WSe2. The ZA phonons have the dominant contribution to the thermal conductivity and the relative contribution is almost 80% at room temperature, which is remarkably higher than that for monolayer MoS2. This is because the ZA phonons have longer lifetime than that of LA and TA phonons in monolayer WSe2.
Method
According to linearized PBTE within relaxation time approximation, the thermal conductivity in branch λ of monolayer WSe2 in the longitudinal direction of ribbon is derived as

where λ = TA, LA and ZA35. Here, we only consider the contribution of three acoustic phonons to the thermal conductivity, because the contribution of optical phonons can be negligible due to the short phonon lifetime and small group velocity10. S is the area of the sample, vλ is the phonon group velocity of λ branch along the longitudinal direction, τλ is the averaged phonon relaxation time (phonon lifetime) between successive scattering events of branch λ,
is the wave vector and cph is the volumetric specific heat of each mode, which can be written as

where kB is the Boltzmann constant,
nm is the effective layer thickness of monolayer WSe2, which is assumed to be the interlayer spacing of bulk WSe226.
is the reduced Planck constant and T is the absolute temperature. Using the phonon dispersion relation, the phonon group velocity of λ branch vλ can be calculated as
, ω is the phonon frequency for branch λ at wave vector q.
The Matthiessen’s rule, which assumes that different scattering mechanisms are independent, is adopted to combine the effects of Umklapp phonon-phonon scattering
and phonon-boundary scattering
, so the total phonon scattering rate
, which is the inverse of the phonon lifetime, can be given as

The
, which is the Umklapp phonon-phonon scattering rate, can be written as36,37.

where
is the Grüneisen parameter, which characterizes the strength of the Umklapp phonon-phonon scattering process for branch λ. M is the mass of a WSe2 unit cell and
is the Debye frequency of branch λ. The scattering rate of phonon-boundary scattering can be given as35.

where L is sample size and P is the specularity parameter, which is defined as a probability of specular scattering at the boundary. The specularity parameter ranges from 0 for a completely rough boundary to 1 for a perfectly smooth boundary33.
The properties such as phonon dispersion relation, phonon group velocity and Grüneisen parameter are calculated by using the PHONOPY code combined with Vienna ab-initio simulation Package (VASP) based on the density functional theory (DFT)38,39,40, as shown in Fig. 2(a–c). The project-augmented wave (PAW) potential and generalized-gradient approximation (GGA) exchange-correlation functional are adopted in our calculations41,42. The energy cutoff for the plane-wave expansion is set as 400 eV and a Monkhorst-Pack k-mesh of
is used to sample the Brillouin zone, with the energy convergence threshold set as 10−6 eV. A 18.41 Å vacuum spacing is used to eliminate the interactions emerging from the employed periodic boundary conditions. The structures are fully relaxed until the maximal forces exerted on the atoms are no larger than 10−6 eV/Å. The optimized equilibrium lattice constant of monolayer WSe2 obtained in our calculation is 3.25 Å, which is in good agreement with previous experiment value of 3.27 Å43.
Additional Information
How to cite this article: Zhou, W.-X. and Chen, K.-Q. First-Principles Determination of Ultralow Thermal Conductivity of monolayer WSe2. Sci. Rep. 5, 15070; doi: 10.1038/srep15070 (2015).
References
Wang, Q. H., Kalantar-Zadeh, K., Kis, A., Coleman, J. N. & Strano, M. S. Electronics and optoelectronics of two-dimensional transition metal dichalcogenides. Nat. Nanotechnol. 7, 699 (2012).
Butler, S. Z. et al. Progress, challenges and opportunities in two-dimensional materials beyond graphene. ACS Nano 7, 2898 (2013).
Chhowalla, M. et al. The chemistry of two-dimensional layered transition metal dichalcogenide nanosheets. Nat. Chem. 5, 263 (2013).
Sim, S. et al. Exciton dynamics in atomically thin MoS2: Interexcitonic interaction and broadening kinetics. Phys. Rev. B 88, 075434 (2013).
Shi, H. et al. Exciton dynamics in suspended monolayer and few-Layer MoS2 2D crystals. ACS Nano 7, 1072 (2013).
Kaasbjerg, K., Thygesen, K. S. & Jauho, A.-P. Acoustic phonon limited mobility in two-dimensional semiconductors: Deformation potential and piezoelectric scattering in monolayer MoS2 from first principles. Phys. Rev. B 87, 235312 (2013).
Splendiani, A. et al. Emerging photoluminescence in monolayer MoS2 . Nano Lett. 10, 1271–1275 (2010).
Cai, Y., Zhang, G. & Zhang, Y.-W. Polarity-reversed robust carrier mobility in monolayer MoS2 nanoribbons. J. Am. Chem. Soc. 136, 6269 (2014).
Buscema, M. et al. Large and tunable photothermoelectric effect in single-layer MoS2 . Nano Lett. 13, 358 (2013).
Li, W., Carrete, J. & Mingo, N. Thermal conductivity and phonon linewidths of monolayer MoS2 from first principles. Appl. Phys. Lett. 103, 253103 (2013).
Liu, X. J., Zhang, G., Pei, Q. X. & Zhang, Y.-W. Phonon thermal conductivity of monolayer MoS2 sheet and nanoribbons. Appl. Phys. Lett. 103, 133113 (2013).
Jiang, J. W., Park, H. S. & Rabczuk, T. Molecular dynamics simulations of single-layer molybdenum disulphide (MoS2): Stillinger-Weber parametrization, mechanical properties and thermal conductivity. J. Appl. Phys. 114, 064307 (2013).
Cai, Y. Q., Lan, J. H., Zhang, G. & Zhang, Y.-W. Lattice vibrational modes and phonon thermal conductivity of monolayer MoS2 . Phys. Rev. B 89, 035438 (2014).
Yan, R. et al. Thermal conductivity of monolayer molybdenum disulfide obtained from temperature-dependent raman spectroscopy. ACS Nano 8, 986 (2014).
Majumdar, A. Thermoelectricity in semiconductor nanostructures. Science 303, 777 (2004).
Zebarjadi, M., Esfarjani, K., Dresselhaus, M. S., Ren, Z. F. & Chen, G. Perspectives on thermoelectrics: from fundamentals to device applications. Energy Environ. Sci. 5, 5147 (2012).
Zhou, W.-X. & Chen, K.-Q. Enhancement of thermoelectric performance by reducing phonon thermal conductance in multiple core-shell nanowires. Sci. Rep. 4, 7150 (2014).
Yan, Q. Y. et al. A Simple Chemical Approach for PbTe Nanowires with Enhanced Thermoelectric Properties, Chem. Mater. 20, 6298–6300 (2008).
Chiritescu, C. et al. Ultralow thermal conductivity in disordered, layered WSe2 crystals. Science 315, 351 (2007).
Mavrokefalos, A., Nguyen, N. T., Pettes, M. T., Johnson, D. C. & Shi, L. In-plane thermal conductivity of disordered layered WSe2 and (W)x(WSe2)y superlattice films. Appl. Phys. Lett. 91, 171912 (2007).
Liu W. et al. Role of Metal Contacts in Designing High-Performance Monolayer n-Type WSe2 Field Effect Transistors. Nano Lett., 13, 1983 (2013).
Fang H. et al. High-Performance Single Layered WSe2 p-FETs with Chemically Doped Contacts. Nano Lett. 12, 3788 (2012).
Huang J.-K. et al. Large-area synthesis of highly crystalline WSe(2) monolayers and device applications. ACS Nano. 8, 923–30 (2014).
Wei, X. L. et al. Phonon thermal conductivity of monolayer MoS2: A comparison with single layer graphene. Appl. Phys. Lett. 105, 103902 (2014).
Balandin, A. A. & Wang, K. L. Significant decrease of the lattice thermal conductivity due to phonon confinement in a free-standing semiconductor quantum well. Phys. Rev. B 58, 1544 (1998).
Gu, X. K. & Yang, R. G. Phonon transport in single-layer transition metal dichalcogenides: A first-principles study. Appl. Phys. Lett. 105, 131903 (2014).
Jiang, J.-W., Zhuang, X. Y. & Rabczuk, T. Orientation dependent thermal conductance in single-layer MoS2 . Sci. Rep. 3, 2209
Sahoo, S., Gaur, A. P., Ahmadi, M., Guinel, M. J.-F. & Katiyar, R. S. Temperature-dependent raman studies and thermal conductivity of few-layer MoS2 . J. Phys. Chem. C 117, 9042 (2013).
Muratore, C. et al. Cross-plane thermal properties of transition metal dichalcogenides. Appl. Phys. Lett. 102, 081604 (2013).
Yang, N., Zhang, G. & Li, B. W. Violation of Fourier’s law and anomalous heat diffusion in silicon nanowires. Nano Today 5, 85 (2010).
Zhou, W.-X., Chen, K.-Q., Tang, L.-M. & Yao, L.-J. Phonon thermal transport in InAs nanowires with different size and growth directions. Phys. Lett. A 377, 3144–3147 (2013).
Wang, J. & Wang, J. S. Carbon nanotube thermal transport: Ballistic to diffusive. Appl. Phys. Lett. 88, 111909 (2006).
Nika, D. L. & Balandin, A. A. Two-dimensional phonon transport in graphene. J. Phys.: Condens. Matter 24, 233203 (2012).
Shen, Y. L. et al. Size and boundary scattering controlled contribution of spectral phonons to the thermal conductivity in graphene ribbons. J. Appl. Phys. 115, 063507 (2014).
Nika, D. L., Pokatilov, E. P., Askerov, A. S. & Balandin, A. A. Phonon thermal conduction in graphene: Role of Umklapp and edge roughness scattering. Phys. Rev. B 79, 155413 (2009).
Morelli, D. T., Heremans, J. P. & Slack, G. A. Estimation of the isotope effect on the lattice thermal conductivity of group IV and group III-V semiconductors. Phys. Rev. B 66, 195304 (2002).
Klemens, P. G. Theory of the A-Plane Thermal Conductivity of Graphite. J. Wide Bandgap Mater. 7, 332 (2000).
Togo, A., Oba, F. & Tanaka, I. First-principles calculations of the ferroelastic transition between rutile-type and CaCl2-type SiO2 at high pressures. Phys. Rev. B 78, 134106 (2008).
Kresse, G. Ab initio molecular dynamics for liquid metals. J. Non-Cryst. Solids 222, 192–193 (1995).
Kresse, G. & Furthmüller, J. Efficiency of ab-initio total energy calculations for metals and semiconductors using a plane-wave basis set. Comput. Mater. Sci. 6, 15 (1996).
Kresse, G. & Joubert, D. From ultrasoft pseudopotentials to the projector augmented-wave method. Phys. Rev. B 59, 1758 (1999).
Payne, M. C., Teter, M. P., Allan, D. C., Arias, T. A. & Joannopoulos, J. D. Iterative minimization techniques for ab initio total-energy calculations: molecular dynamics and conjugate gradients. Rev. Mod. Phys. 64, 1045 (1992).
Gordon, R., Yang, D., Crozier, E., Jiang, D. & Frindt, R. Structures of exfoliated single layers of WS2, MoS2 and MoSe2 in aqueous suspension. Phys. Rev. B 65, 125407 (2002).
Acknowledgements
This work was supported by the National Natural Science Foundation of China (Nos. 11274105 and 91227125), by the National Basic Research Program of China (Nos. 2012CB932703 and 2011CB606405), by Hunan Provincial Natural Science Foundation of China (No. 12JJ2002), by the Specialized Research Fund for the Doctoral Program of Higher Education of China (No. 20130161130004) and by Open Research Fund Program of the State Key Laboratory of Low-Dimensional Quantum Physics. The work was carried out at National Supercomputer Center in Tianjin and the calculations were performed on TianHe-1(A).
Author information
Authors and Affiliations
Contributions
K.Q.C. and W.X.Z. conceived the research. W.X.Z. did the numerical simulations. K.Q.C. and W.X.Z. oversaw all research phases. Everyone contributed to the writing of the paper.
Ethics declarations
Competing interests
The authors declare no competing financial interests.
Rights and permissions
This work is licensed under a Creative Commons Attribution 4.0 International License. The images or other third party material in this article are included in the article’s Creative Commons license, unless indicated otherwise in the credit line; if the material is not included under the Creative Commons license, users will need to obtain permission from the license holder to reproduce the material. To view a copy of this license, visit http://creativecommons.org/licenses/by/4.0/
About this article
Cite this article
Zhou, WX., Chen, KQ. First-Principles Determination of Ultralow Thermal Conductivity of monolayer WSe2. Sci Rep 5, 15070 (2015). https://doi.org/10.1038/srep15070
Received:
Accepted:
Published:
DOI: https://doi.org/10.1038/srep15070
This article is cited by
-
The effect of non-analytical corrections on the phononic thermal transport in InX (X = S, Se, Te) monolayers
Scientific Reports (2020)
-
Recent Progress of Two-Dimensional Thermoelectric Materials
Nano-Micro Letters (2020)
-
Excellent Thermoelectric Properties in monolayer WSe2 Nanoribbons due to Ultralow Phonon Thermal Conductivity
Scientific Reports (2017)







