Abstract
We propose a fruitful scheme for exploring multiphoton entangled states based on linear optics and weak nonlinearities. Compared with the previous schemes the present method is more feasible because there are only small phase shifts instead of a series of related functions of photon numbers in the process of interaction with Kerr nonlinearities. In the absence of decoherence we analyze the error probabilities induced by homodyne measurement and show that the maximal error probability can be made small enough even when the number of photons is large. This implies that the present scheme is quite tractable and it is possible to produce entangled states involving a large number of photons.
Similar content being viewed by others
Introduction
Undoubtedly, entanglement1,2,3,4 is one of the most crucial elements in quantum information processing, e.g. quantum cryptography5, quantum teleportation6, quantum secure direct communication7,8, etc. In recent years, quantum entanglement has been extensively investigated in various candidate physical systems9,10,11,12,13,14,15,16, in particular, one can prepare and manipulate multipartite entanglement in optical systems17,18,19,20,21,22,23,24,25,26,27,28.
Generally, a spontaneous parametric down-conversion (PDC) source29,30 is capable of emitting pairs of strongly time-correlated photons in two spatial modes. As extensions of interest, with linear optics and nonlinear optical materials several schemes for creating multiphoton entangled states have been proposed31,32,33,34,35,36,37. For a large number of photons, however, there are some technological challenges such as probabilistic emission of PDC sources and imperfect detectors. A feasible approach is to use the simple single-photon sources, instead of waiting the successive pairs and quantum nondemolition (QND) measurement38,39,40,41,42,43,44,45 with weak Kerr nonlinearities. Note that the Kerr nonlinearities46,47,48 are extremely weak and the order of magnitude of them is only 10−2 even by using electromagnetically induced transparency49,50. More recently, Shapiro et al.51,52 showed that the causality-induced phase noise will preclude high-fidelity π-radian conditional phase shifts created by the cross-Kerr effect. In these cases, with the increase of the number of photons it is usually more and more difficult to study multiphoton entanglement in the regime of weak nonlinearities.
In this paper, we focus on the exploration of multiphoton entangled states with linear optics and weak nonlinearities. We show a quantum circuit to evolve multimode signal photons fed by a group of arbitrary single-photon states and the coherent probe beam. Particularly, there are only two specified but small phase shifts induced in the process of interaction with weak nonlinearities. This fruitful architecture allows us to explore multiphoton entangled states with a large number of photons but still in the regime of weak nonlinearities.
Kerr nonlinearities
Before describing the proposed scheme, let us first give a brief introduction of the Kerr nonlinearities. The nonlinear Kerr media can be used to induce a cross phase modulation with Hamiltonian of the form
, where
is the coupling constant and
represents the annihilation operator for photons in the signal (probe) mode. If we assume that the signal mode is initially described by the state
and the coherent probe beam is
, then after the Kerr interaction the whole system evolves as

where
with interaction time t. In order to distinguish different cases, one may perform a homodyne measurement39 on the probe beam with quadrature operator
, where
is a real constant. Especially for
, this operation is conventionally referred to as X homodyne measurement; while for
, it is called P homodyne measurement.
Creation of multiphoton entangled states with linear optics and weak nonlinearities
Let
represent input ports with respective spatial modes, namely signal modes and
is a coherent beam in probe mode. The setup of creating multiphoton entangled states is shown in Fig. 1.
The schematic diagram of creating multiphoton entangled states with linear optics and weak nonlinearities.
are input ports and each port is supplied with an arbitrary single-photon state, while
are the corresponding outputs, respectively. θ and 2θ represent phase shifts in the coherent probe beam
induced by Kerr interaction between photons.
is a phase shift gate. Each
represents a phase shift on the signal photons based on classical feed-forward information.
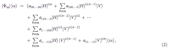
Without loss of generality we may suppose that each input port is supplied with an arbitrary single-photon state. Then, the total input state reads

where
,
, are complex coefficients satisfying the normalization condition
and
denotes the sum over all possible permutations of the signal modes, for example,

Each polarizing beam splitter (PBS) is used to transmit
polarization photons and reflect
polarization photons. When the signal photons travel to the PBSs, they will be individually split into two spatial modes and then interact with the nonlinear media so that pairs of phase shifts θ and 2θ are induced on the coherent probe beam, respectively. We here introduce a single phase gate
so as to implement the next X homodyne measurement on the probe beam.
,
for even n and
for odd n, are phase shifts on the signal photons based on the measured values of x via the classical feed-forward information. At last, at the ports
one may obtain
output states for even n or
states for odd n.
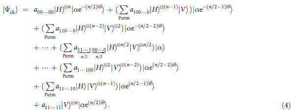
We describe our method in details. For n is even, after the interaction between the photons with Kerr media and followed by the action of the phase gate, the combined system evolves as

In order to create the desired multiphoton entangled states, we here perform an X homodyne measurement38,45 on the probe beam. If the value x of the X homodyne measurement is obtained, then the signal photons become

where

, are respectively Gaussian curves which are associated with the probability amplitudes of the outputs, and

, are respectively phase factors based on the values of the X homodyne measurement. Note that the peaks of these Gaussian distributions locate at
. Thus, the midpoints between two neighboring peaks
and the distances of two nearby peaks
with
. Obviously, with these
midpoint values
there exist
intervals and each interval corresponds to an output state.
We now consider the phase shifts
. The signal photon evolves as
,
. A straightforward calculation shows that

After these feed-forward phase shifts have been implemented and the signal photons pass through the PBSs, one can obtain the desired states as follows. Clearly, for
we have

for
, we obtain the states

and for
we obtain the state

Similarly, for odd n, we have

Also,

Here, the functions
, phase shifts
and
are approximately the same as those described for even n, except for
and then the similar results hold for the midpoints
and the distances
with
. Of course, with
midpoint values
there may be
output states; that is, one can obtain the states
for

for

and

As an example of the applications of interest for the present scheme, we introduce a class of remarkable multipartite entangled states

where

and

are two orthonormal states, namely Dicke states53,54. In view of its “catness”, the state
can be referred to as cat-like state and especially for
it can be expressed as the canonical n-partite Greenberger-Horne-Zeilinger (GHZ) state. In the present scheme, obviously, for
,
, we can obtain these cat-like states with
for even n and
for odd n, where the qubits are encoded with the polarization modes
and
. Of course, more generally, we may project out a group of multiphoton entangled states involving generalized Dicke states.
Discussion
There are two models commonly employed in the process of Kerr interaction, single-mode model and continuous-time multi-mode model51. The former implies that one may ignore the temporal behavior of the optical pulses but the latter is causal, non-instantaneous model involving phase noise. It has been shown that52 this causality-induced phase noise will preclude the possibility of high-fidelity CPHASE gates created by the cross-Kerr effect in optical fiber. To solve this problem, one may need to find an optimum response function for the available medium, or to exploit more favorable systems, such as cavitylike systems55. After all, the ultimate possible performance of Kerr interaction with a larger system is an interesting open issue. More recently, we note that Feizpour et al.56 showed the first direct measurement of the cross-phase shift due to single photons. It may be possible to open a door for future studies of nonlinear optics in quantum information processing. In the present scheme, we restrict ourselves to ignoring the phase noise and concentrate mainly on showing a method for exploring multiphoton entangled states in the regime of weak cross-Kerr nonlinearities, i.e.
.
It is worth noting that, there are only small phase shifts θ and 2θ instead of a series of related functions of the number of photons in the process of interaction with Kerr nonlinearities. This implies that the present scheme is quite tractable especially for creating entangled states with a larger number of photons. In addition, the error probabilities
are
, which come from small overlaps between two neighboring curves. Considering the distances of two nearby peaks
with
for even n and
for odd n, the maximal error probability
, which is exactly the result described by Nemoto and Munro in40. Obviously, the error probabilities in our scheme are no more than that one even when the number of photons is large. Therefore, by choosing an appropriate coherent probe beam the error probability can be reduced to as low a level as desired and then the present scheme may be realized in a nearly deterministic manner.
In summary, based on linear optics and weak nonlinearities we have shown a fruitful method for exploring a class of multiphoton entangled states, the generalized cat-like states. Evidently, three aspects are noteworthy in the present framework. First, since there are no large phase shifts in the interacting process with weak Kerr nonlinearities, our scheme is more feasible compared with the previous schemes. Second, the system is measured only once with a small error probability and it means that the present scheme might be realized near deterministically. Finally, the fruitful architecture allows us to explore a group of multiphoton entangled states involving a large number of photons, i.e., to produce entangled states approaching the macroscopic domain.
Additional Information
How to cite this article: He, Y.-Q. et al. Exploration of multiphoton entangled states by using weak nonlinearities. Sci. Rep. 6, 19116; doi: 10.1038/srep19116 (2016).
References
Horodecki, R., Horodecki, P., Horodecki, M. & Horodecki, K. Quantum entanglement. Rev. Mod. Phys. 81, 865–942 (2009).
Gühne, O. & Tóth, G. Entanglement detection. Phys. Rep. 474, 1–75 (2009).
Yan, F. L., Gao, T. & Chitambar, E. Two local observables are sufficient to characterize maximally entangled states of N qubits. Phys. Rev. A 83, 022319 (2011).
Gao, T., Yan, F. L. & van Enk, S. J. Permutationally invariant part of a density matrix and nonseparability of N-qubit states. Phys. Rev. Lett. 112, 180501 (2014).
Ekert, A. K. Quantum cryptography based on Bell’s theorem. Phys. Rev. Lett. 67, 661–663 (1991).
Bennett, C. H. et al. Teleporting an unknown quantum state via dual classical and Einstein-Podolsky-Rosen channels. Phys. Rev. Lett. 70, 1895–1899 (1993).
Long, G. L. & Liu, X. S. Theoretically efficient high-capacity quantum-key-distribution scheme. Phys. Rev. A 65, 032302 (2002).
Deng, F. G., Long, G. L. & Liu, X. S. Two-step quantum direct communication protocol using the Einstein-Podolsky-Rosen pair block. Phys. Rev. A 68, 042317 (2003).
Nielsen, M. A. & Chuang, I. L. Quantum Computation and Quantum Information (Cambridge University Press, Cambridge, 2000).
Waks, E. & Monroe, C. Protocol for hybrid entanglement between a trapped atom and a quantum dot. Phys. Rev. A 80, 062330 (2009).
Gonzalez-Tudela, A. et al. Entanglement of two qubits mediated by one-dimensional plasmonic waveguides. Phys. Rev. Lett. 106, 020501 (2011).
Shwa, D., Cohen, R. D., Retzker, A. & Katz, N. Heralded generation of Bell states using atomic ensembles. Phys. Rev. A 88, 063844 (2013).
Casabone, B. et al. Heralded entanglement of two ions in an optical cavity. Phys. Rev. Lett. 111, 100505 (2013).
Feng, G. R., Long, G. L. & Laflamme, R. Experimental simulation of anyonic fractional statistics with an NMR quantum-information processor. Phys. Rev. A 88, 022305 (2013).
Sheng, Y. B., Deng, F. G. & Long, G. L. Complete hyperentangled-Bell-state analysis for quantum communication. Phys. Rev. A 82, 032318 (2010).
Liu, S. P., Li, J. H., Yu, R. & Wu, Y. Achieving three-dimensional entanglement between two spatially separated atoms by using the quantum Zeno effect. Phys. Rev. A 87, 062316 (2013).
Scully, M. O. & Zubairy, M. S. Quantum Optics (Cambridge University Press, Cambridge, 1997).
Knill, E., Laflamme, R. & Milburn, G. J. A scheme for efficient quantum computation with linear optics. Nature 409, 46–52 (2001).
Kok, P. et al. Linear optical quantum computing with photonic qubits. Rev. Mod. Phys. 79, 135–174 (2007).
Pan, J. W. et al. Multiphoton entanglement and interferometry. Rev. Mod. Phys. 84, 777–838 (2012).
Li, J. H. et al. Optical-frequency-comb generation and entanglement with low-power optical input in a photonic molecule. Phys. Rev. A 90, 033830 (2014).
Lü, X. Y. et al. Quantum-criticality-induced strong Kerr nonlinearities in optomechanical systems. Sci. Rep. 3, 2943 (2013).
Ren, B. C., Wang, G. Y. & Deng, F. G. Universal hyperparallel hybrid photonic quantum gates with dipole-induced transparency in the weak-coupling regime. Phys. Rev. A 91, 032328 (2015).
Sheng, Y. B. & Deng, F. G. Deterministic entanglement purification and complete nonlocal Bell-state analysis with hyperentanglement. Phys. Rev. A 81, 032307 (2010).
Sheng, Y. B., Zhou, L., Zhao, S. M. & Zheng, B. Y. Efficient single-photon-assisted entanglement concentration for partially entangled photon pairs. Phys. Rev. A 85, 012307 (2012).
Deng, F. G. Optimal nonlocal multipartite entanglement concentration based on projection measurements. Phys. Rev. A 85, 022311 (2012).
Sheng, Y. B. & Zhou, L. Deterministic entanglement distillation for secure double-server blind quantum computation. Sci. Rep. 5, 7815 (2015).
Sheng, Y. B. & Zhou, L. Two-step complete polarization logic Bell-state analysis. Sci. Rep. 5, 13453 (2015).
Kwiat, P. G. et al. New high-intensity source of polarization-entangled photon pairs. Phys. Rev. Lett. 75, 4337–4341 (1995).
Simon, C. & Bouwmeester, D. Theory of an entanglement laser. Phys. Rev. Lett. 91, 053601 (2003).
Bouwmeester, D. et al. Observation of three-photon Greenberger-Horne-Zeilinger entanglement. Phys. Rev. Lett. 82, 1345–1349 (1999).
Pan, J. W. et al. Experimental demonstration of four-photon entanglement and high-fidelity teleportation. Phys. Rev. Lett. 86, 4435–4438 (2001).
Eisenberg, H. S. et al. Quantum entanglement of a large number of photon. Phys. Rev. Lett. 93, 193901 (2004).
Walther, P., Aspelmeyer, M. & Zeilinger, A. Heralded generation of multiphoton entanglement. Phys. Rev. A 75, 012313 (2007).
Wei, T. C., Lavoie, J. & Kaltenbaek, R. Creating multiphoton-polarization bound entangled states. Phys. Rev. A 83, 033839 (2011).
Tichy, M. C., Mintert, F. & Buchleitner, A. Limits to multipartite entanglement generation with bosons and fermions. Phys. Rev. A 87, 022319 (2013).
He, Y. Q., Ding, D., Yan, F. L. & Gao, T. Preparation and purification of four-photon Greenberger-Horne-Zeilinger state. J. Phys. B: At. Mol. Opt. Phys. 48, 055501 (2015).
Barrett, S. D. et al. Symmetry analyzer for nondestructive Bell-state detection using weak nonlinearities. Phys. Rev. A 71, 060302 (2005).
Munro, W. J., Nemoto, K., Beausoleil, R. G. & Spiller, T. P. High-efficiency quantum-nondemolition single-photon-number-resolving detector. Phys. Rev. A 71, 033819 (2005).
Nemoto, K. & Munro, W. J. Nearly deterministic linear optical controlled-NOT gate. Phys. Rev. Lett. 93, 250502 (2004).
Munro, W. J., Nemoto, K. & Spiller, T. P. Weak nonlinearities: a new route to optical quantum computation. New J. Phys. 7, 137 (2005).
Kok, P. Effects of self-phase-modulation on weak nonlinear optical quantum gates. Phys. Rev. A 77, 013808 (2008).
Ding, D., Yan, F. L. & Gao, T. Preparation of km-photon concatenated Greenberger-Horne-Zeilinger states for observing distinctive quantum effects at macroscopic scales. J. Opt. Soc. Am. B 30, 3075–3078 (2013).
Ding, D., Yan, F. L. & Gao, T. Entangler and analyzer for multiphoton Greenberger-Horne-Zeilinger states using weak nonlinearities. Sci. China-Phys. Mech. Astron. 57, 2098–2103 (2014).
He, Y. Q., Ding, D., Yan, F. L. & Gao, T. Exploration of photon-number entangled states using weak nonlinearities. Opt. Express 23, 21671–21677 (2015).
Imoto, N., Haus, H. A. & Yamamoto, Y. P. Quantum nondemolition measurement of the photon number via the optical Kerr effect. Phys. Rev. A 32, 2287–2292 (1985).
Rokhsari, H. & Vahala, K. J. Observation of Kerr nonlinearity in microcavities at room temperature. Opt. Lett. 30, 427–429 (2005).
Matsuda, N. et al. Observation of optical-fibre Kerr nonlinearity at the single-photon level. Nature Photon. 3, 95–98 (2009).
Schmidt, H. & Imamoğlu, A. Giant Kerr nonlinearities obtained by electromagnetically induced transparency. Opt. Lett. 21, 1936–1938 (1996).
Lukin, D. & Imamoğlu, A. Controlling photons using electromagnetically induced transparency. Nature 413, 273–276 (2001).
Shapiro, J. H. & Razavi, M. Continuous-time cross-phase modulation and quantum computation. New J. Phys. 9, 16 (2007).
Dove, J., Chudzicki, C. & Shapiro, J. H. Phase-noise limitations on single-photon cross-phase modulation with differing group velocities. Phys. Rev. A 90, 062314 (2014).
Dicke, R. H. Coherence in spontaneous radiation processes. Phys. Rev. 93, 99–110 (1954).
Thiel, C. et al. Generation of symmetric Dicke states of remote qubits with linear optics. Phys. Rev. Lett. 99, 193602 (2007).
Chudzicki, C., Chuang, I. L. & Shapiro, J. H. Deterministic and cascadable conditional phase gate for photonic qubits. Phys. Rev. A 87, 042325 (2013).
Feizpour, A., Hallaji, M., Dmochowski, G. & Steinberg, A. M. Observation of the nonlinear phase shift due to single post-selected photons. Nature Phys. 11, 905–909 (2015).
Acknowledgements
This work was supported by the National Natural Science Foundation of China under Grant Nos: 11475054, 11371005, 11547169, Hebei Natural Science Foundation of China under Grant No: A2014205060, the Research Project of Science and Technology in Higher Education of Hebei Province of China under Grant No: Z2015188, the Graduate Innovation Project of Hebei Province of China under Grant No: sj2015004, Langfang Key Technology Research and Development Program of China under Grant No: 2014011002.
Author information
Authors and Affiliations
Contributions
Y.Q.H., D.D., F.L.Y. and T.G. contributed equally to this work. All authors wrote the main manuscript text and reviewed the manuscript.
Ethics declarations
Competing interests
The authors declare no competing financial interests.
Rights and permissions
This work is licensed under a Creative Commons Attribution 4.0 International License. The images or other third party material in this article are included in the article’s Creative Commons license, unless indicated otherwise in the credit line; if the material is not included under the Creative Commons license, users will need to obtain permission from the license holder to reproduce the material. To view a copy of this license, visit http://creativecommons.org/licenses/by/4.0/
About this article
Cite this article
He, YQ., Ding, D., Yan, FL. et al. Exploration of multiphoton entangled states by using weak nonlinearities. Sci Rep 6, 19116 (2016). https://doi.org/10.1038/srep19116
Received:
Accepted:
Published:
DOI: https://doi.org/10.1038/srep19116
This article is cited by
-
Scalable symmetry detector and its applications by using beam splitters and weak nonlinearities
Scientific Reports (2017)
-
Generation of an arbitrary four-photon polarization-entangled decoherence-free state with cross-Kerr nonlinearity
Quantum Information Processing (2017)
-
Deterministic distribution of four-photon Dicke state over an arbitrary collective-noise channel with cross-Kerr nonlinearity
Scientific Reports (2016)
-
Generation of four-photon polarization entangled decoherence-free states with cross-Kerr nonlinearity
Scientific Reports (2016)



