Abstract
Nitrogen availability and tree species selection play important roles in reforestation. However, long-term field studies on the effects and mechanisms of tree species composition on N transformation are very limited. Eight years after tree seedlings were planted in a field experiment, we revisited the site and tested how tree species composition affects the dynamics of N mineralization and nitrification. Both tree species composition and season significantly influenced the soil dissolved organic carbon (DOC) and nitrogen (DON). N-fixing Acacia crassicarpa monoculture had the highest DON and 10-mixed species plantation had the highest DOC. The lowest DOC and DON concentrations were both observed in Eucalyptus urophylla monoculture. The tree species composition also significantly affected net N mineralization rates. The highest rate of net N mineralization was found in A. crassicarpa monoculture, which was over twice than that in Castanopsis hystrix monoculture. The annual net N mineralization rates of 10-mixed and 30-mixed plantations were similar as that of N-fixing monoculture. Since mixed plantations have good performance in increasing soil DOC, DON, N mineralization and plant biodiversity, we recommend that mixed species plantations should be used as a sustainable approach for the restoration of degraded land in southern China.
Similar content being viewed by others
Introduction
The conversion of land from natural forest ecosystems to agricultural ecosystems is the major cause of the current global biodiversity loss1. As a main type of land use change, deforestation has led to millions of hectares of degraded or abandoned lands in the last several decades2,3,4, which resulted in global warming by releasing significant amounts of CO2 to the atmosphere2,5,6. Hence, reforestations in degraded lands are proposed to increase carbon sequestration, mitigate climate change and restore native ecosystems7,8
Nitrogen (N) availability plays a central role for tree growth in afforestation practices8,9. N mineralization is an important microbial mediated process10,11. Previous documents stated that the rate of N mineralization was primarily controlled by the microbial community composition and activity12,13. The activities of microbe are, however, predominantly determined by the amount of litter input and root exudate14,15, in addition to soil pH, soil water contents, temperature and others16,17,18. Since the tree species may result in various physicochemical properties of litter input and root exudate11,19,20,21, the tree species compositions are essential for microbial mediated N mineralization in the regenerating forests.
Previous studies showed that tree species composition was a major factor affecting N turnover in various vegetation types globally15,19,22. Generally, N-fixing tree species are able to increase the input of N contents in soil and litter fall, thus affect the soil microbial community and N mineralization underneath these trees8. In a 14-year old plantations, Hoodmoed, et al.8 reported that the total N of leaves and litter in two N-fixing tree species (Acacia dealbata and A. implexa) were significantly higher than that in two non-N-fixing species (Eucalyptus camaldulensis and E. polyanthemos). In a 23-year old plantations, Wang, et al.23 reported that N-fixing Acacia auriculiformis and Acacia mangium produced relatively higher mineral N than Eucalyptus urophylla and Castanopsis hystrix24. Hence, the plantations dominated by N-fixing tree species might be better than non-N-fixing species in rising soil N availability since N-fixing trees could increase the N contents of leaf, litter and soil8,9.
In the early stage of reforestation, fast-growing species like Eucalyptus and Acacia are often recommended for restoring degraded soil and for timber production23,25,26,27. Although monoculture plantation has been commonly used for rebuilding the forest ecosystems and increasing the amount of wood products, their influences on soil nutrient availability and ecosystem sustainability are often debatable8,23. Some studies argued that fast-growing monocultures were generally disadvantageous for increasing soil nutrient availability and enhancing ecosystem function of species diversity25,27,28 and that mixed plantations should be recommended in reforestation instead25. For example, Wang, et al.23 reported that the net N mineralization of 10-mixed species plantation was over two folds higher than that of Eucalyptus urophylla monoculture in a two-year restoration plantation. It is believed that mixed species plantations had the potential to increase productivity while maintaining soil fertility compared with monocultures because of the complementarity of resource and nutrient use strategies from the different tree species within the mixed plantations9.
Stand age was also an important factor affecting the nutrient cycles in the regenerating plantations. Our previous studies indicated that the pros and cons of fast-growing species on soil nutrient availability and ecosystem development should be evaluated with stand ages23,24. For example, in two-year-old plantations, Wang, et al.23 found that monoculture Eucalyptus and Acacia plantations had lower soil N mineralization rates and reduced N leaching loss relative to 10- and 30- species mixed stands. However, in another study, they investigated soil nutrients availability in 23-year-old plantations and found that Eucalyptus and Acacia monoculture had higher, or at least equal, soil N transformations rates than the native species plantations24.
Because of the strong effects of tree species composition and age on ecosystem development, here, we investigated soil net N mineralization and nitrification rates of six eight-year-old plantations in a controled forest experiment in southern China. We test the following three hypotheses: 1) mixed plantations would have higher soil net N mineralization and nitrification rates than monoculture; 2) Due to additional N input, net N mineralization rate of N-fixing species would be higher than that of non-N-fixing species; 3) soil net N mineralization and nitrification rates of plantations would vary with seasons and stand ages, due to the seasonal variation of temperature and rainfall and the plant growth with litter feedback.
Results
Soil general properties
Vegetation characteristics of six plantation types were shown in Table 1. After 8 years of plant growth, the pH, soil organic matter (SOM), total N, total P and available P in the 0-10 cm soil layer were all significantly affected by the experimental plantation types (Table 2). The shrubland (SL: unplanted control) had the highest soil pH among the six treatments, while Acacia crassicarpa (AC) had the lowest pH. Both of SL and AC had higher SOM contents than others. The Ecucalyptus urophylla (EU) had the lowest soil total N and highest C:N ratios among all treatments (Table 2). Both of 10- and 30-species mixed plantations sustained relatively higher amount of available P than others, while EU had the lowest soil available P.
There was significantly seasonal effects on soil water contents (SWC) among six plantations (p < 0.001), but neither plantation nor plantation ×season interactive effects on the SWC was found (p = 0.105 and p = 0.800, respectively) (Fig. 1).
Soil water contents (SWC) in upper 0–10 cm soil layer of six plantations at Heshan Station in 2013.
Different lowercase letters denote significant differences in six plantations, n = 9, p < 0.05. EU, Ecucalyptus urophylla monoculture; AC, Acacia crassicarpa monoculture; CH, Castanopsis hystrix monoculture; 10-mixed, 10 species mixture; 30-mixed, 30 species mixture; SL, unplanted shrubland.
Soil inorganic N
Plantation type significantly affected the concentrations of NO3−-N in both the wet and dry season, but affected the concentrations of NH4+-N in the dry season (Fig. 2). The concentrations of NH4+-N were generally higher than those of NO3−-N, indicating that NH4+-N was the major form of inorganic N in our study site. In the wet growing season, the NH4+-N concentrations of the AC, 10- and 30-species mixed plantations were similar (3.19, 3.41, 3.44 mg N kg−1, respectively), while the SL had the lowest NH4+-N concentration 2.50 mg N kg−1. The NO3−-N concentration of the AC was significantly higher than other plantations with the value of 2.27 mg N kg−1 (Fig. 2). In the dry season, both the NH4+-N and NO3−-N concentrations of the AC plantation were significantly higher than those of other treatments, with the values of 2.49 and 2.27 mg N kg−1, respectively (Fig. 2).
Concentrations of NH4+-N
(a) and NO3−-N (b) in upper 0–10 cm soil layer of six plantations at Heshan Station, 2013. Different lowercase letters denote significant differences in six plantations, n = 9, p < 0.05. EU, Ecucalyptus urophylla monoculture; AC, Acacia crassicarpa monoculture; CH, Castanopsis hystrix monoculture; 10-mixed, 10 species mixture; 30-mixed, 30 species mixture; SL, unplanted shrubland.
The concentrations of total inorganic N (the sum of NH4+-N and NO3−-N) in the wet season were significantly higher than in the dry season across all six treatments (p < 0.0001). The plantation type significantly affected the total inorganic N (p < 0.05) and the AC plantation had higher total inorganic N than other five plantations in both the wet and dry season. In addition, the total inorganic N concentrations of 10-species mixed and 30-species mixed were both higher than those of EU, CH and SL treatments (Fig. 2).
Net N mineralization and nitrification
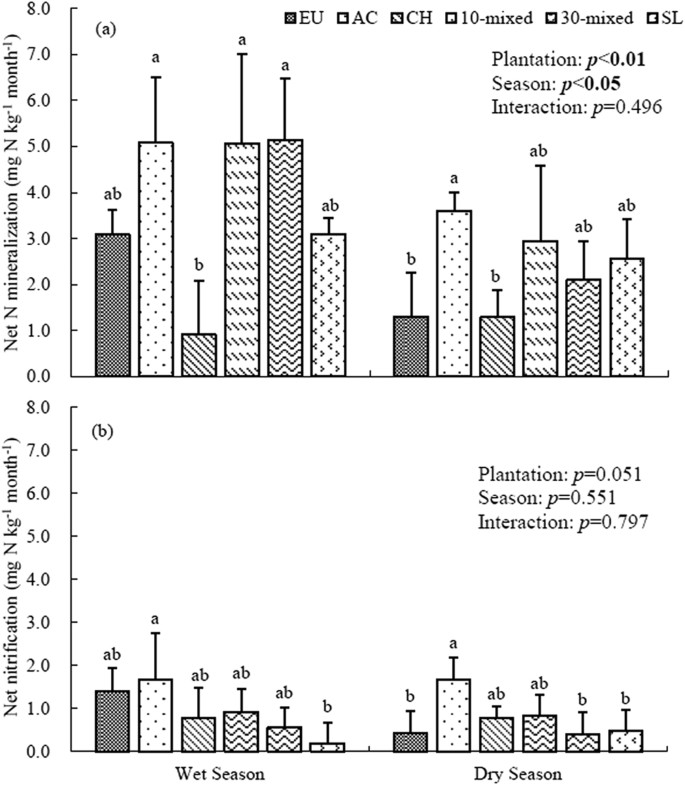
Both plantation type and season had significant effects on the rates of net N mineralization (p < 0.05 for both), but no plantation × season interactive effect was found (Fig. 3a, p = 0.469). In the wet season, the AC, 10- and 30-species mixed plantations had relatively higher rates of net N mineralization (5.08, 5.07 and 5.14 mg N kg−1 month−1, respectively), while the Castanopsis hystrix (CH) had a lower net N mineralization rate of only 0.91 mg N kg−1 month−1 (Fig. 3a). EU and unplanted SL stands also had lower net N mineralization rates. In the dry season, net N mineralization rate of AC was 3.60 mg N kg−1 month−1, which was significantly higher than those of EU and CH monocultures (Fig. 3a).
Monthly rates of net N mineralization
(a) and nitrification (b) in upper 0–10 cm soil layer of six plantations at Heshan Station in 2013. Different lowercase letters denote significant differences in six plantations, n = 9, p < 0.05. EU, Ecucalyptus urophylla monoculture; AC, Acacia crassicarpa monoculture; CH, Castanopsis hystrix monoculture; 10-mixed, 10 species mixture; 30-mixed, 30 species mixture; SL, unplanted shrubland.
Plantation types marginally affected the net nitrification rates (p = 0.051, Fig. 3b). In the wet season, net nitrification of the AC monoculture was significantly higher than that of unplanted SL. In the dry season, the highest net nitrification rate was also found in the AC (1.67 mg N kg−1 month−1), which was significantly higher than those of the EU, 30-species mixed and SL treatments (Fig. 3b).
In this study, to make effective comparison with previous studies, we also estimated annual N mineralization rates by multiplying monthly rates with the respective durations of wet seasons and dry seasons in the region. Plantation type significantly affected annual net N mineralization rates (p < 0.01). The annual N mineralization rate of the AC was significantly higher than that of the EU and CH monocultures (Table 3), being 97.5% and 294.6% higher, respectively, revealing that legumes species might maintain greater available N contents than other non-legumes species. Although the annual N mineralization of AC monocultures was 8.1% and 19.9% higher than that of 10-species mixed and 30-species mixed plantations. However, these differences were not statistically significant (Table 4). In addition, the estimated annual N mineralization of AC plantation was 53.5% higher than that of SLtreatment.
The ratios of annual nitrification to N mineralization (Nnit/Nmin) ranged from 11.91% in SL to 41.75% in EU, with an exception of a relatively higher ratio in CH at 71.42%. Across the six treatments, the ratios of Nnit/Nmin of three monocultures were generally higher than those of two mixed plantations and SL (Table 3).
Soil extractable dissolved organic carbon (DOC) and nitrogen (DON)
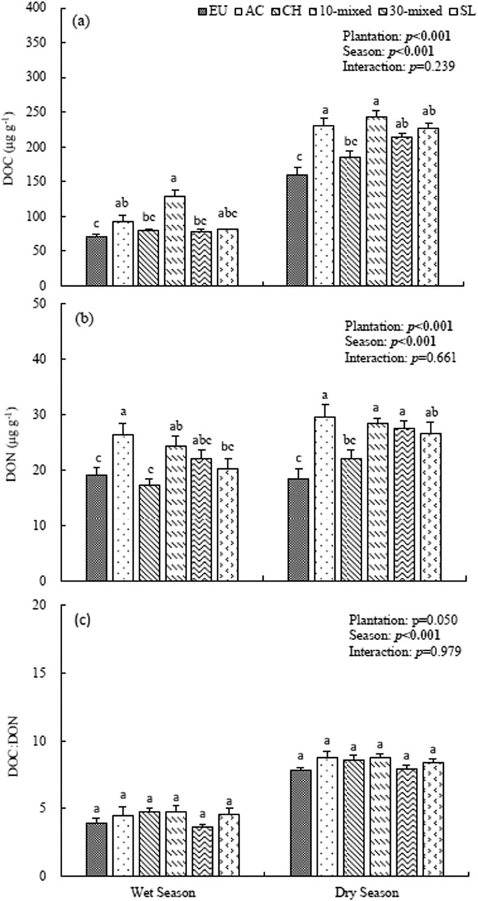
The soil extractable dissolved organic carbon (DOC) in the dry season was significantly higher than that in the wet season (p < 0.001). The plantation type also significantly affected the DOC concentrations. Our study showed that the 10-species mixed plantation had the highest, while the EU had the lowest DOC concentrations among six plantations in both season. Moreover, AC had the second higher DOC concentration among six plantations (Fig. 4). In addition, both season and plantation type had significant effects on the concentrations of soil dissolved nitrogen (DON) (p < 0.001 for both). Not surprisingly, the AC plantation had the highest DON concentration, while the EU and CH monoculture had the relatively lower DON concentrations. Moreover, the mixed plantations maintained relatively higher DON concentrations than EU and CH monocultures (Fig. 4).
Extractable dissolved organic carbon (DOC), extractable dissolved organic nitrogen (DON) and their ratios (DOC:DON) in soil 0–10 cm layer of the six plantations at Heshan Station, 2013.
Different lowercase letters denote significant differences in six plantations, n = 9, p < 0.05. EU, Ecucalyptus urophylla monoculture; AC, Acacia crassicarpa monoculture; CH, Castanopsis hystrix monoculture; 10-mixed, 10 species mixture; 30-mixed, 30 species mixture; SL, unplanted shrubland.
Although the DOC/DON ratios in dry season was significantly higher than that in wet season (p < 0.001), plantation had a weak effect on DOC/DON ratios (p = 0.050). Our results also showed that no plantation×season effect was found on the DOC, DON or DOC/DON ratios (Fig. 4).
Discussion
Plantation types significantly affected the rates of net N mineralization in our study, which revealed that tree species composition might drive N transformation in plantation ecosystems15,29. In this study, we found that the net N mineralization rates of N-fixing Acacia crassicarpa (AC) plantation were much higher than that of other monocultures. This results agreed with our hypothesis 2 that N-fixing species produced greater potential N than non-N-fixing species. Surprisingly, this result was inconsistent with the previous reports at the same site23, which found that AC monoculture had lower N mineralization rate than non-N-fixing native species after two-years planting. However, in another study of 23-year old plantations nearby, Wang, et al.24 found that the annual net N mineralization of plantations dominated by N-fixing species was relatively higher than those dominated by non-N-fixing species (Table 4). This supported our present results that N-fixing tree species maintained higher net N mineralization than non-N-fixing species. Moreover, in a 13-year-old plantation of the adjacent area, Li, et al.30 also demonstrated that both the higher nitrogen levels of legume litters and their relatively low rates of decomposition were important factors in the buildup of nitrogen stocks in the soils of legume forests. Strong correlations between N mineralization and soil indices were likely the results of long-term feedbacks between litterfall, microbial mineralization and plant nutrient uptake. Our results, combined with previous studies in the nearby sites (Table 4), suggested that N-fixing species, although did not increase soil N availability in two-year old plantation23, could enhanced soil N cycling in a relative longer time frame (8 yrs, 13 yrs and 23 yrs).
The net N mineralization of the Castanopsis hystrix (CH, native species) monoculture was the lowest among the six treatments. There were many reasons that might explain the lower N supply in CH plantations: firstly, we observed relatively lower aboveground biomass and vegetation coverage in this plantation (Table 1); secondly, the annual litter input of CH monoculture was c. 35% lower than that of AC (Yu et al., unpublished data); thirdly, we found that the CH monoculture had the lowest dissolved organic nitrogen (DON) than other plantations in the study (Fig. 4). Furthermore, the soil respiration of the CH was also relatively lower than that of other treatments in the study (Yu et al., unpublished), suggesting lower microbial biomass and activities in this plantation. In addition, the relatively lower soil pH in AC plantation might have also contributed to the lower microbial activities (Table 2). Since soil microbes greatly regulate the mineral N production by decomposing the organic matter or litterfall31, it was thus reasonable that the CH had lower N transformation rates than other treatments.
In this study, the mixed species plantation had the similar net N mineralization rate as the N-fixing AC monoculture. We also observed that relatively higher DON in mixed plantation that would contribute to the microbial activities then to soil N cycling and supply. However, the mixed species plantations were usually more productive, sustainable and essential for the natural forest succession than monocultures because of the complementarity of resource and nutrient use strategy among different tree species within the mixed plantation9,25,32. For example, Montagnini33 had suggested that above-ground biomass of mixed plantation was always larger than pure stand in tropical lowland regenerated forests because the less intra-specific competition for resource within the mixed plantation. Although the N-fixing monoculture could acquire additional N for the ecosystem, our results indicated that mixed plantations would have the similar N supply levels as N-fixing monoculture after eight years, which was in line with the hypothesis 1. This may allow mixed species plantations perform better than monocultures in restoring degraded land. Mixed species plantations also benefit greatly to native species diversity and conservation.
Seasonal variation appeared to have a stronger effect on soil N transformations in forest ecosystems34,35,36. In our study, the net N mineralization had a significant seasonal variation: the rates of net N mineralization in the wet season was generally higher than that in the dry season, which was consistent with our hypothesis 3. Seasonal variations of N mineralization and nitrification were often ascribed to seasonal variations of temperature and moisure23,37, which may affect the decomposition of soil organic matter and nitrogen availability17. In our study, soil water contents (SWC) was higher in wet season than in dry season. Thus, the higher soil microbial activities, due to favorable soil water content and higher temperature, would increase N mineralization in wet season38.
We also found that the ratios of Nnit/Nmin ranged from 11.91–41.75% in five out of six treatments with the exception of a higher ratio in the CH at 71.42% in the eight-year-old plantations. In the same site after two-years initial planting, however, Wang, et al.23 found that the ratios of annual Nnit/Nmin ranged from 73.93–90.00%. The decline of Nnit/Nmin ratios following ascending plantation ages is consistent with the hypotheses 3 and the results reported by Maithani, et al.37, who investigated the comparative N mineralization of 7-,13- and 16-year old forest and found that nitrification rates declined while ammonification rates increased with the stand age in a regenerated forest. Clearly, eight years plant growth generated much higher aboveground biomass, quantity of litter fall, fine root biomass (personal observations) that were very different from the two-year old correspondent23. The declining Nnit/Nmin ratios would be associated with the changes in aboveground vegetation and soil properties (i.e., increased soil TN, SOC et al.) with ascending stand ages39. Further investigation of the underlying mechanisms of tree species composition on soil nutrient cycles will be beneficial to reforestation succession in tropical area of southern China.
Conclusions
The net N mineralization and nitrification rates in these experimental plantations demonstrated that tree species composition and stand age are important factors influencing soil nutrient availability. As an N-fixing species plantation, Acacia crassicarpa monoculture had higher net N mineralization than other monocultures eight-year after the plantations. This result differed from that after the first two years, indicating that N-fixing species, although did not increase soil N availability in their two years old, could improve soil N cycling in a relative longer time frame. Castanopsis hystrix monoculture, a native species, had the lowest net N mineralization rate. The mixed species plantations had similar level of soil N mineralization rate as N-fixing AC monoculture. The decline of Nnit/Nmin ratios with the ascending stand age would be associated with the changes in vegetation and soil physicochemical properties (e.g., soil organic matter and total nitrogen). Based on these findings, we recommend that mixed plantations with native species and introduced N-fixing species should be a sustainable approach in the forest restoration of southern China.
Materials and Methods
Site description
The research was conducted in the Heshan National Field Research Station of Forest Ecosystem (Heshan Station, 112°50′E, 22°34′N), in the subtropical region of southern China. The soil type is Arenosol developed from sandstone, with a pH of about 4.0. The climate of this region is typical subtropical monsoon, with mean annual temperature of 22.6 °C and highest average temperature of 28.7 °C in July and lowest average temperature of 14.5 °C in January. The annual precipitation in this region is 1700 mm and over c. 85% rainfall in the wet season. In this region, there is a distinct wet season and dry season. The wet season (from April to September) is hot and wet, while the dry season (from October to March) is cool and dry.
The region is a hilly agricultural zone with 78.6% of hilly land, 17.1% of farming land and 4.3% of water body. The elevation of the studied area is 60.7 m, with gently rolling topography. Although the study plots are randomly distributed in the huge 50 ha area, the soil characteristic and topography are almost identical among all 1-ha plots.
Experimental design
An ecological restoration project was launched at Heshan Station in 2005. Historical monoculture Masson pine (Pinus massoniana) plantation, within an area of 50 ha, was cut down and the residue was burned. Then five types of experimental plantations were established: Eucalyptus urophylla (EU) (non-legumes) monoculture; Acacia crassicarpa (AC) (legumes) monoculture; Castanopsis hystrix (CH) (native) monoculture; 10-species mixture (10-mixed) and 30-species mixture (30-mixed), plus one unplanted control (without any planting and naturally developed into a shrubland, SL). The 10-species mixed plantation included seven native species, Castanopsis hystrix, Liquidambar formosana, Machilus chinensis, Cinnamomum burmanii, Tsoongiodendron odorum, Bischofia javanica, Schima superba and the three species used in monocultures. The 30-species mixed plantation contained 24 native species, Michelia macclurei, Ormosia pinnata, Sterculia lanceolata, Garcinia oblongifolia, Garcinia cowa, Dracontomelon dao, Elaeocarpus japonicas, Cinnamomum parthenoxylon, Radermachera sinica, Maesa japonica, Dolichandrone caudafelina, Michelia chapensis, Syzygium cumini, Elaeocarpus apiculatus, Castanopsis fissa, Acronychia pedunculata and Schefflera octophylla and 3 exotic species, including Delonix regia, Grevillea robusta, Pterocareus indicus. All plants in the 10-species mixture were also used in the 30-species mixture. Each plantation treatment was replicated three times (18 plots in total), randomly distributed in the 50 ha study area. Tree samplings in tube stocks with similar height (50–100 cm) were planted at 2 × 3 m spacing in each plot in 2005. In mixture treatment, different species were placed randomly.
Soil physicochemical properties (0–5 cm layer) were monitored by Wang et al.23, 2 years after the initial planting across all six plantations and there was no significant effect of plantation on pH, SOM, total N, total P, available P and C:N ratios, which indicated homogeneity across all the plots.
Soil sampling and analysis
In situ N mineralization incubation was determined in May 2013 (Wet season) and December 2013 (Dry season), using a PVC (polyvinyl chloride plastic) core method (modified from Raison et al., 1987). Specifically, three subplots were randomly located in each replicated plot. In each subplots, 3 sampling point was selected. At each point, two sharpened PVC cores (4.6 cm diameter×15 cm height) were dived 10 cm into the ground, one of the two tubes was retrieved directly and sent to lab (S0) stored at 4 °C immediately and the other covered with a lid and had some holes on the side wall for aeration (S1), incubated in situ for one month (30 days) before retrieved for the same soil analysis. Totally, for each subplot, there was 3 soil cores collected and then mixed thoroughly. For each plantation treatment, there were 9 replicated soil samples (3 plots × 3 subplots).
Soil samples were brought to the laboratory in an ice-box, fresh-sieved at 2-mm mesh removing stones, visible roots and plant residuals and stored at 4 °C for analyses. For inorganic N (NH4+-N and NO3−-N) measurement, 10 gram sieved soil before and after the incubation were extracted with 50 ml 2 M KCl. Concentrations of ammonium and nitrate in the filtered extracts (Shuangquan quantitative filter paper 202#) were determined using a flow injection auto analyzer (FIA, Lachat Instruments, Loveland, CO, U.S.A). The subsample was also used for measuring soil extractable dissolved carbon (DOC) and nitrogen (DON). For DOC and DON measurement, 20 grams sieved soil was extracted with 60 ml 0.5 M K2SO4 solution and their concentrations were determined using a Shimadzu TOC-V CSH analyzer. Soil water content (SWC) was determined with subsamples being dried at 105 °C for 24 hours.
The air-dried subsamples were used for measuring the pH value, total organic C and N contents. The pH value were determined in the deionized water suspension (water: soil = 2.5:1). Soil total organic C concentrations were measured using H2SO4-K2Cr2O7 oxidation method23. Soil total nitrogen (TN) was determined using the Kjeldahl acid-digestion method with an Alpkem autoanalyzer (Kjektec System 1026 Distilling Unit, Sweden). Soil total P (TP) concentration was measured photometrically after digesting soils with sulfuric acid (H2SO4).
The rates of net N mineralization were calculated from the differences of inorganic N (NH4+-N+NO3−-N) concentrations between the initial and post incubation soil samples. Calculated cumulative net N mineralization and nitrification rates were calculated by summing the rate of net N mineralization of each incubation period during the wet season and dry season.
Statistical analysis
Two-way ANOVA was performed to test the effects of tree species composition (five plantations and one shrub land), season (wet and dry season) and their interactions on inorganic N (NH4+-N, NO3−-N) concentrations, soil dissolved organic carbon (DOC) and nitrogen (DON), net N mineralization and nitrification rates during the experiment period. Least significant differences (LSD) post hoc test was used to compare the effects of planting treatment on the above variables at each season. General soil properties, pH, available P, TN, TP, soil organic matter (SOM), C/N mass ratio were analyzed by One-way ANOVA testing planting treatment. All analyses and computations were performed on SPSS 16.0 (SPSS Inc., Chicago, IL, U.S.A) and Microsoft office software 2013 (Microsoft Crop., Redmond, WA, U.S.A).
Additional Information
How to cite this article: Mo, Q. et al. Reforestation in southern China: revisiting soil N mineralization and nitrification after 8 years restoration. Sci. Rep. 6, 19770; doi: 10.1038/srep19770 (2016).
References
Flynn, D. F. B. et al. Loss of functional diversity under land use intensification across multiple taxa. Ecol Lett 12, 22–33 (2009).
Houghton, R. A. Land-use change and the carbon cycle. Glob Chang Biol 1, 275–287 (1995).
Hurtt, G. C. et al. The underpinnings of land-use history: three centuries of global gridded land-use transitions, wood-harvest activity and resulting secondary lands. Glob Chang Biol 12, 1208–1229 (2006).
Verburg, P. H., Neumann, K. & Nol, L. Challenges in using land use and land cover data for global change studies. Glob Chang Biol 17, 974–989 (2011).
Lo Seen, D. et al. Soil carbon stocks, deforestation and land-cover changes in the Western Ghats biodiversity hotspot (India). Glob Chang Biol 16, 1777–1792 (2010).
Jain, A. K., Meiyappan, P., Song, Y. & House, J. I. CO2 emissions from land-use change affected more by nitrogen cycle, than by the choice of land-cover data. Glob Chang Biol 19, 2893–2906 (2013).
Forrester, D. I., Pares, A., O’Hara, C., Khanna, P. K. & Bauhus, J. Soil Organic Carbon is Increased in Mixed-Species Plantations of Eucalyptus and Nitrogen-Fixing Acacia. Ecosystems 16, 123–132 (2013).
Hoogmoed, M., Cunningham, S. C., Baker, P., Beringer, J. & Cavagnaro, T. R. N-fixing trees in restoration plantings: Effects on nitrogen supply and soil microbial communities. Soil Biol Biochem 77, 203–212 (2014).
Forrester, D. I., Bauhus, J., Cowie, A. L. & Vanclay, J. K. Mixed-species plantations of Eucalyptus with nitrogen-fixing trees: A review. For Ecol Manage 233, 211–230 (2006).
Mundra, M. C., Bhandari, G. S. & Srivastava, O. P. Studies on mineralization and immobilization of nitrogen in soil. Geoderma 9, 27–33 (1973).
Plymale, A. E., Boerner, R. E. J. & Logan, T. J. Relative nitrogen mineralization and nitrification in soils of two contrasting hardwood forests: Effects of site microclimate and initial soil chemistry. For Ecol Manage 21, 21–36 (1987).
Templer, P., Findlay, S. & Lovett, G. Soil microbial biomass and nitrogen transformations among five tree species of the Catskill Mountains, New York, USA. Soil Biol Biochem 35, 607–613 (2003).
Schmidt, B. H. M. et al. Microbial immobilization and mineralization of dissolved organic nitrogen from forest floors. Soil Biol Biochem 43, 1742–1745 (2011).
Arunachalam, A., Pandey, H. N., Tripathi, R. S. & Maithani, K. Fine root decomposition and nutrient mineralization patterns in a subtropical humid forest following tree cutting. For Ecol Manage 86, 141–150 (1996).
Singh, B., Tripathi, K. P., Jain, R. K. & Behl, H. M. Fine root biomass and tree species effects on potential N mineralization in afforested sodic soils. Plant Soil 219, 81–89 (2000).
Ste-Marie, C. & Paré, D. Soil, pH and N availability effects on net nitrification in the forest floors of a range of boreal forest stands. Soil Biol Biochem 31, 1579–1589 (1999).
Dalias, P., Anderson, J. M., Bottner, P. & Coûteaux, M.-M. Temperature responses of net nitrogen mineralization and nitrification in conifer forest soils incubated under standard laboratory conditions. Soil Biol Biochem 34, 691–701 (2002).
Cheng, Y. et al. Soil pH has contrasting effects on gross and net nitrogen mineralizations in adjacent forest and grassland soils in central Alberta, Canada. Soil Biol Biochem 57, 848–857 (2013).
Bauhus, J., Paré, D. & Coté, L. Effects of tree species, stand age and soil type on soil microbial biomass and its activity in a southern boreal forest. Soil Biol Biochem 30, 1077–1089 (1998).
West, J. B., Hobbie, S. E. & Reich, P. B. Effects of plant species diversity, atmospheric [CO2] and N addition on gross rates of inorganic N release from soil organic matter. Glob Chang Biol 12, 1400–1408 (2006).
Vernimmen, R. R. E. et al. Nitrogen mineralization, nitrification and denitrification potential in contrasting lowland rain forest types in Central Kalimantan, Indonesia. Soil Biol Biochem 39, 2992–3003 (2007).
Aggangan, R. T., O’Connell, A. M., McGrath, J. F. & Dell, B. The effects of Eucalyptus globulus Labill. leaf litter on C and N mineralization in soils from pasture and native forest. Soil Biol Biochem 31, 1481–1487 (1999).
Wang, F., Zhu, W., Xia, H., Fu, S. & Li, Z. Nitrogen Mineralization and Leaching in the Early Stages of a Subtropical Reforestation in Southern China. Restor Ecol 18, 313–322 (2010).
Wang, F. et al. Effects of nitrogen-fixing and non-nitrogen-fixing tree species on soil properties and nitrogen transformation during forest restoration in southern China. Soil Sci Plant Nutr 56, 297–306 (2010).
Nichols, J. D., Bristow, M. & Vanclay, J. K. Mixed-species plantations: Prospects and challenges. For Ecol Manage 233, 383–390 (2006).
Forrester, D. I., Bauhus, J. & Cowie, A. L. Carbon allocation in a mixed-species plantation of Eucalyptus globulus and Acacia mearnsii. For Ecol Manage 233, 275–284 (2006).
Bouillet, J.-P. et al. Eucalyptus and Acacia tree growth over entire rotation in single- and mixed-species plantations across five sites in Brazil and Congo. For Ecol Manage 301, 89–101 (2013).
Bini, D., Santos, C.A.d., Bouillet, J.-P., Gonçalves, J.L.d.M. & Cardoso, E. J. B. N. Eucalyptus grandis and Acacia mangium in monoculture and intercropped plantations: Evolution of soil and litter microbial and chemical attributes during early stages of plant development. Appl Soil Ecol 63, 57–66 (2013).
Verchot, L. V., Holmes, Z., Mulon, L., Groffman, P. M. & Lovett, G. M. Gross vs net rates of N mineralization and nitrification as indicators of functional differences between forest types. Soil Biol Biochem 33, 1889–1901 (2001).
Li, Z.-a., Peng, S.-l., Rae, D. & Zhou, G.-y. Litter decomposition and nitrogen mineralization of soils in subtropical plantation forests of southern China, with special attention to comparisons between legumes and non-legumes. Plant Soil 229, 105–116 (2001).
Inagaki, Y., Miura, S. & Kohzu, A. Effects of forest type and stand age on litterfall quality and soil N dynamics in Shikoku district, southern Japan. For Ecol Manage 202, 107–117 (2004).
Voigtlaender, M. et al. Introducing Acacia mangium trees in Eucalyptus grandis plantations: consequences for soil organic matter stocks and nitrogen mineralization. Plant Soil 352, 99–111 (2012).
Montagnini, F. Accumulation in above-ground biomass and soil storage of mineral nutrients in pure and mixed plantations in a humid tropical lowland. For Ecol Manage 134, 257–270 (2000).
Owen, J. S., Wang, M. K., Wang, C. H., King, H. B. & Sun, H. L. Net N mineralization and nitrification rates in a forested ecosystem in northeastern Taiwan. For Ecol Manage 176, 519–530 (2003).
Uri, V., Lõhmus, K. & Tullus, H. Annual net nitrogen mineralization in a grey alder (Alnus incana (L.) moench) plantation on abandoned agricultural land. For Ecol Manage 184, 167–176 (2003).
Matson, A. L., Corre, M. D. & Veldkamp, E. Nitrogen cycling in canopy soils of tropical montane forests responds rapidly to indirect N and P fertilization. Glob Chang Biol 20, 3802–3813 (2014).
Maithani, K., Arunachalam, A., Tripathi, R. S. & Pandey, H. N. Nitrogen mineralization as influenced by climate, soil and vegetation in a subtropical humid forest in northeast India. For Ecol Manage 109, 91–101 (1998).
Colman, B. P. & Schimel, J. P. Drivers of microbial respiration and net N mineralization at the continental scale. Soil Biol Biochem 60, 65–76 (2013).
Maithani, K., Tripathi, R. S., Arunachalam, A. & Pandey, H. N. Seasonal dynamics of microbial biomass C, N and P during regrowth of a disturbed subtropical humid forest in north-east India. Appl Soil Ecol 4, 31–37 (1996).
Acknowledgements
This work was funded by NSFC-Guangdong Joint Project (U1131001), Natural Science Foundation of China (NSFC 31300419, 41401279), Innovation Foundation of Guangdong Forestry (2012KJCX013-02, 2014KJCX021-03) and the “Strategic Priority Research Program” of the Chinese Academy of Sciences (XDA05070307).
Author information
Authors and Affiliations
Contributions
F.M.W., W.X.Z. and Z.A.L. designed the experiments. Q.F.M., F.M.W., Y.C., B.Z., Y.W.L. and S.Q.Y. carried out the experiments and performed the analyses. Q.F.M., F.M.W., Y.Z.D., X.B.L., W.X.Z. and Z.A.L. substantially contributed to interpreting the results and writing the manuscript.
Ethics declarations
Competing interests
The authors declare no competing financial interests.
Rights and permissions
This work is licensed under a Creative Commons Attribution 4.0 International License. The images or other third party material in this article are included in the article’s Creative Commons license, unless indicated otherwise in the credit line; if the material is not included under the Creative Commons license, users will need to obtain permission from the license holder to reproduce the material. To view a copy of this license, visit http://creativecommons.org/licenses/by/4.0/
About this article
Cite this article
Mo, Q., Li, Z., Zhu, W. et al. Reforestation in southern China: revisiting soil N mineralization and nitrification after 8 years restoration. Sci Rep 6, 19770 (2016). https://doi.org/10.1038/srep19770
Received:
Accepted:
Published:
DOI: https://doi.org/10.1038/srep19770
This article is cited by
-
Adding Castanopsis hystrix to a Pinus massoniana plantation changed leaf phosphorus and nitrogen investment and soil nitrogen concentrations
Plant and Soil (2024)
-
Inter-specific competition between seeds and seedlings of two confamilial tropical trees
Community Ecology (2023)
-
The effect of forest floor on soil microbial and enzyme indices after forest harvesting operations in Hyrcanian deciduous forests
European Journal of Forest Research (2022)
-
Dynamics of soil nitrogen availability following vegetation restoration along a climatic gradient of a subtropical karst region in China
Journal of Soils and Sediments (2021)
-
Effects of reforestation on ammonia-oxidizing microbial community composition and abundance in subtropical acidic forest soils
Applied Microbiology and Biotechnology (2018)






