Abstract
Although there is always an interplay between the dynamics of information diffusion and disease spreading, the empirical research on the systemic coevolution mechanisms connecting these two spreading dynamics is still lacking. Here we investigate the coevolution mechanisms and dynamics between information and disease spreading by utilizing real data and a proposed spreading model on multiplex network. Our empirical analysis finds asymmetrical interactions between the information and disease spreading dynamics. Our results obtained from both the theoretical framework and extensive stochastic numerical simulations suggest that an information outbreak can be triggered in a communication network by its own spreading dynamics or by a disease outbreak on a contact network, but that the disease threshold is not affected by information spreading. Our key finding is that there is an optimal information transmission rate that markedly suppresses the disease spreading. We find that the time evolution of the dynamics in the proposed model qualitatively agrees with the real-world spreading processes at the optimal information transmission rate.
Similar content being viewed by others
Introduction
The coevolution dynamics on complex networks has attracted much attention in recent years, since dynamic processes, ubiquitous in the real world, are always interacting with each other1,2. In biological spreading dynamics, two strains of the same disease spread in the same population and interact through cross immunity3,4,5 or mutual reinforcement6. In social spreading dynamics, individuals are surrounded by multiple items of information supplied by, e.g., Facebook, Twitter, and YouTube. These sources of information compete with each other for the limited attention-span of users, and the outcome is that only a few items of information survive and become popular7,8. Recently scholars have become aware of the coevolution or interplay between biological and social spreadingdynamics9,10,11. When a new disease enters a population, if individuals who are aware of its potential spread take preventive measures to protect themselves12,13 the disease spreading may be suppressed. Our investigation of the intricate interplay between information and disease spreading is a specific example of disease-behavior systems14.
Studying the micromechanisms of a disease-behavior system can help us understand coevolution dynamics and enable us to develop ways of predicting and controlling the disease spreading10. In this effort a number of excellent models15,16,17 have demonstrated the existence of non-trivial phenomena that differ substantially from those when there is independent spreading dynamics18,19,20,21,22,23,24. Researchers have demonstrated that the outbreak of a disease has a metacritical point16 that is associated with information spreading dynamics and multiplex network topology and that information propagation is promoted by disease spreading17. Funk et al. found that the disease threshold is altered once the information and disease evolve simultaneously15. These models make assumptions about the coevolution mechanisms of information and disease spreading and do not demonstrate the interacting mechanisms in real-world systems. Because we do not understand the microscopic coevolution mechanisms between information and disease spreading dynamics from real-world disease-behavior systems, we do not have a systematic understanding of coevolution dynamics and do not know how to utilize information diffusion to more effectively suppress the spread of disease.
We present here a systematic investigation of the effects of interacting mechanisms on the coevolution processes of information and disease spreading dynamics. We first demonstrate the existence of asymmetrical interactions between the two dynamics by using real-world data from information and disease systems to analyze the coevolution. We then propose an asymmetric spreading dynamic model on multiplex networks to mimic the coupled spreading dynamics, which will allow us to understand the coevolution mechanics. The results, obtained from both the theoretical analyses and extensive simulations, suggest some interesting phenomena: the information outbreak can be triggered by its own spreading dynamics or the disease outbreak, while the disease threshold is not affected by the information spreading. Our most important finding is that there is an optimal information transmission rate at which the outbreak size of the disease reaches its minimum value, and the time evolution of the dynamics in the proposed model qualitatively agrees with the dynamics of real-world spreading.
Results
Empirical analysis of real-world coevolution data
Information about disease can be obtained in many ways, including face-to-face communication, Facebook, Twitter, and other online tools. Since the growth of the Internet, search engines have enabled anyone to obtain instantaneous information about disease. Patients seek out and analyze prescriptions using search engines in hopes of obtaining a means of rapid recovery. Healthy individuals use search engines to identify protective measures against disease to maintain their good health.
To examine the coevolution of real-world data about information and disease, we use weekly synchronously evolving data on information and disease systems associated with influenza-like illness (ILI) in the US during an approximate 200-week period from 3 January 2010 to 21 September 2013. The ILI dataset records weekly outpatient visits to medical facilities, and Google Flu Trends (GFT) dataset keeps track of week queries in Google search engine about ILI symptoms25. The GFT is used to analyse the occurrence probability of a disease26. For simplicity, we assume that the volume of information about the disease is proportional to the GFT volume because any individual can use the Google search engine to gain information about ILI. For a detailed description of the data see ref. 26.
Figure 1(a) shows the real-data time series of information nG(t) and disease nD(t) indicating that macroscopically the two systems exhibit similar trends and confirming that the GFT effectively predicts disease spreading26,27 — although some researchers have expressed skepticism28. To identify the coevolution mechanisms operating between information and disease spreading, we further investigate the time series from a microscopic point of view. Specifically, we study their relative growth rates vG(t) of nG(t) and vD(t) of nD(t) (see definitions in Method Section). Figure 1(b) shows the evolution of vG(t) and vD(t). Note that the same and opposite growth trends of vG(t) and vD(t) coexist. For example, at week 53 (week 153), vG(53) > 0 [vG(153) > 0] and vD(53) < 0 [vD(153) > 0]. Thus the GFT and ILI show the opposite (the same) growth trends.
(a) The relative number of outpatient visits nD(t)/〈nD(t)〉 (blue dashed line) and relative search queries aggregated in GFT nG(t)/〈nG(t)〉 (red solid line) versus t, where
and
, and tmax is the number of weeks. (b) The relative growth rate vD(t) (blue dashed line) and vG(t) (red solid line) of nD(t) and nG(t) versus t, respectively. (c) Cross-correlation c(t) between the two time series of vG(t) and vD(t) for the given window size wl = 3 (blue dashed line) and wl = 20 (red solid line). (d) The fraction of negative correlations fP (blue squares) and positive correlations fN (red circles) as a function of wl. In (a), nG(t) and nD(t) are divided their average values respectively. In (b), the circles and squares denote the relative growth rate at t = 53 and 153, respectively.
To conceptualize the correlations of the growth trends between the two dynamics, we analyze the cross-correlations c(t) between the time series of vG(t) and vD(t) for a given window size wl29 using the Pearson correlation coefficient c(t) between the two time series
and
. When c(t) > 0, the growth rates of information and disease share the same trend in the time interval wl. When c(t) < 0, the information and disease have opposite growth trends. Figure 1(c) shows that the positive and negative c(t) are uncovered for wl = 3 and wl = 20, respectively. This may be because individuals tend to search for disease information when they are infected or when someone they know is infected, and thus a disease outbreak promotes the spread of information, i.e., the growth trends of GFT and ILI will be the same. When individuals acquire information about the disease they then take action to protect themselves, and this causes the growth trends of GFT and ILI to go in opposite directions. We thus conclude that there are asymmetric interactions between the dynamics of information and disease spreading, i.e., disease spreading promotes information spreading, but information spreading suppresses disease spreading. Figure 1(d) plots the fraction of negative correlations fP and positive correlations fN as a function of wl. The fraction of positive correlations fP (negative correlations fN) increases (decreases) with the wl, since individuals taking measures are dependent on the timeliness of the information. Note therefore that asymmetric interactions can only continue over a short period of time.
Coevolution dynamics on multiplex networks
We now propose a novel model based on the coevolution mechanisms in real-world data, i.e., the asymmetric interactions between information and disease spreading. Information spreads through communication networks and disease usually spreads through contact networks. Communication and contact networks usually have different topologies. To describe the distinct transmission topologies of the information and disease we use a multiplex network30,31,32,33 and construct an artificial communication-contact coupled network without degree-degree correlations in intralayers and interlayers.
We generate uncorrelated two-layer networks
and
with degree distributions
and
, where networks
and
represent the communication and contact networks, respectively. Nodes are individuals and edges are the interactions among individuals. Each node on layer
is randomly matched one-to-one with a node of layer
. A schematic of the communication-contact coupled networks is shown in Fig. 2(a).
(a) A multiplex network is used to represent communication and contact networks, which are denoted as layer
and layer
, respectively. Each layer has 5 nodes. (b) The promotion of information spreading by disease. If node 5 on layer
is infected, its counterpart on layer
becomes informed. (c) The suppression of disease spreading by information diffusion. Node 3 in layer
becomes vaccination only when: (1) its counterpart on layer
is in the informed state and (2) the number of its infected neighbors on layer
is equal to the threshold ϕ = 2.
Using the analysis results from real-world data, we construct an asymmetric coevolution information and disease spreading model. In the communication network (layer
) we use the classic susceptible-infected-recovered (SIR) epidemiological model21,34,35 to describe the spreading of information about the disease. Each node can be in one of three states: susceptible, informed, or recovered. A susceptible individual has not acquired any information about the disease, infected (or informed) individuals are aware of the disease and can transmit their information to their neighbors on the communication layer, and recovered individuals have the information but do not transmit it to their neighbors. At each time step, each informed node transmits their information to each susceptible neighbor on layer
with a probability
. The informed node recovers with a probability
. To include the interacting mechanism between information and disease revealed in the real-world data analysis, i.e., that disease spreading promotes the information spreading, we assume that a susceptible node will become informed when its counterpart in layer
is infected, as shown in Fig. 2(b).
We now introduce a vaccination (V) state into the disease spreading dynamics on the contact network (layer
) and the model becomes SIRV36,37. The SIR component of the spreading dynamics is the same as the information spreading on layer
and differs only in the infection and recovery rates,
and
, respectively. To introduce the mechanism from our real-world data analysis, i.e., that the spread of information suppresses disease spreading, we assume that an intelligent susceptible individual on layer
is vaccinated with probability p (i) when its counterpart node on layer
is informed and (ii) when the number of its neighbors in the infected state is equal to or greater than a static threshold ϕ [see Fig. 2(c)]. Since immunization is always expensive, condition (i) means that the individual must use the communication network to determine the perniciousness of the disease and condition (ii) means that the individual will adopt immunization measures only when the probability of infection is sufficiently high.
We initiate asymmetrical coupled coevolution dynamics by randomly infecting a tiny fraction of seed nodes on layer
and allowing their counterparts on layer
to become informed. We set the effective information transmission and disease transmission rates to be
and
, respectively. Without lack of generality we set
. A steady state will be reached when there are no more nodes in the informed or infected state.
Heterogeneous Mean-field theory
To quantify the asymmetrical coevolution dynamics, we develop a heterogeneous mean-field theory. The outbreak threshold and the fraction of infected or informed nodes in the final state are the two quantities that control the outcome. For the information spreading, the densities of susceptible, informed, and recovered nodes with degree
at time t are denoted by
,
, and
, respectively. Analogously, for the disease spreading, the densities of the susceptible, infected, recovered, and vaccinated nodes with degree
at time t are denoted by
,
,
, and
, respectively.
We first study the time evolution of information spreading on a communication network, i.e., layer
. The evolution equation of the susceptible node with degree
on layer
can be written

where
is the average degree of layer
, and
is the probability that a susceptible node connects to an informed (infected) neighbor on uncorrelated layer
(see details in the Supporting Information). The increase in
is equal to the decrease in
, and thus the evolution equations for
and
are

and

respectively.
We next investigate the evolution of the disease spreading on layer
, the contact network. The time evolution equations for the susceptible, infected, recovered, and vaccinated nodes on layer
are



and

respectively, where
is the probability that a susceptible node on layer
with degree
will be vaccinated. More details about the Eqs (1, 2, 3, 4, 5, 6, 7) can be found in the Supporting Information.
We describe the asymmetrical coevolution dynamics of information and disease spreading using Eqs (1, 2, 3) and (4, 5, 6, 7), which allow us to obtain the density of each distinct state on layer
and
at time t, i.e.,

where
and χ ∈ {S, I, R, V}. When t → ∞, in the steady state, the final sizes of information and disease systems are
and
, respectively.
Initially only a tiny fraction of nodes on layers
and
are informed or infected, and most are susceptible. Thus we have
,
. Linearizing Eqs (2) and (5), i.e., neglecting the high order of
and
, the critical effective information transmission probability is

where
is the maximal eigenvalue of matrix

and

from which we obtain

where
and
are the maximal eigenvalues of the adjacent matrix of layers
and
, respectively. More details can be found in the Supporting Information. The critical value
separates information spreading dynamics into local and global information regions. When
, it is in the local information region. When
, it is in the global information region. In Eq. (9) the global information outbreak condition is correlated only with the topologies of layers
and
, i.e., the immunization probability p and threshold ϕ do not affect the outbreak of information, but increasing the degree heterogeneity of layers
and
increases the information outbreak probability.
When
, immunization can suppress disease spreading on subnetwork
, and thus here immunization process and disease spreading can be treated as competing processes3. Ref. 3 demonstrates that the two competing processes can be treated as one after the other in the thermodynamic limit. When the immunization process spreads more quickly than the disease, it first spreads on layer
and then the disease spreads on the residual network (i.e., the network after immunization). When the disease spreads more quickly than the immunization, the opposite occurs. Using refs 3 and 17 we find that the immunization progresses more quickly than the disease, i.e.,
, in which
and
, which are the thresholds for the SIR model on a one-layer network21, and
are the moments of the degree distribution. Because in many real-world scenarios information spreads more quickly than disease, we focus on that case. Thus immunization and disease spreading on layer
can be treated successively and separately. When ϕ = 0, the approximate disease threshold is

which is the same as in ref. 17. In Eq. (11), where
, and
is the final density of the informed population without disease spreading obtained using link percolation theory21. From Eq. (11) we can see that, as expected, the threshold is bigger than in the SIR model without vaccination.
When ϕ ≥ 1 we use competing percolation theory to obtain the approximate disease threshold. The information first spreads on layer
, and then the disease spreads on layer
. Although many nodes on layer
receive the information for large values of
, the counterparts of those informed nodes still cannot be immunized when
is small. This is the case because according to the proposed model the susceptible nodes that are vaccinated must have authentication from both layers
and
. These informed nodes cannot acquire authentication from layer
when
is below the disease threshold. Only for large values of
, these informed nodes can obtain authentication simultaneously from layers
and
. Here the immunized nodes are VB ≈ 0 and thus the approximate disease threshold is

which is the same as the outbreak threshold of SIR disease21, i.e., this kind of information-based immunization strategy does not affect the disease outbreak threshold, and this differs from the existing results16,17. The disease threshold is dependent only on the topology of layer
and is independent of the topology of layer
, the immunization probability p, and the threshold ϕ. The asymmetrical coevolution mechanisms presented in our model may explain why the disease threshold is not altered in some real-world situations38,39,40.
Simulation results
We perform extensive stochastic simulations to study the proposed asymmetrically interacting spreading dynamics on multiplex networks. In the simulations the network sizes and average degrees are set at
and
, respectively. We use the uncorrelated configuration model to generate layers
and
according to the given degree distributions41,42. For each multiplex network, we perform the dynamics 104 times and measure the average final fraction of information size
, disease size
, and immunization size
with five randomly selected seeds in layer B. We then average these results over 100 network realizations.
To understand the coevolution dynamics of information and disease, we use Erdős-Rényi (ER) networks to represent the communication and contact networks. The degree distributions of layer
and layer
are
and
, respectively.
Figure 3 shows how the immunization threshold ϕ affects the final information, disease, and vaccination sizes. For the information spreading on layer
, we find that
increases with
and
[see Fig. 3(a,d)]. In addition,
increases with ϕ because the individuals in layer
need a large ϕ value to guide their immunization decisions [see Fig. 3(c,f)], which causes
to increase with ϕ [see Fig. 3(b,e)]. As a result, the information spreading increases as disease spreading increases.
(a) The final information size
, (b) the final disease size
, and (c) the final vaccination size
versus information transmission rate
for different values of immunization threshold
with
. For different values of ϕ, (d)
, (e)
and (f)
as a function of
at
. The symbols represent the simulation results and the lines are the theoretical predictions obtained by numerically solving Eqs (1, 2, 3) and (4, 5, 6, 7). In (e), the two arrows respectively indicate the numerical disease thresholds for ϕ ≥ 1 and ϕ = 0, which are obtained by observing χ. Other dynamical parameters are set to be
and p = 0.8.
Figure 3(b,e) show that
increases with ϕ, since individuals are increasingly reluctant to be immunized as ϕ increases, and this causes
to decrease with ϕ [see Fig. 3(c,f)]. Note that
and
as a function of
have a non-monotonic shape for ϕ = 2 and 4, that
first decreases (increases) with
and then increases (decreases) with
. Thus there is an optimal information transmission rate
at which
reaches its minimum (maximum) value. Qualitatively this is because a node on layer
will be immunized only (i) when its counterpart on layer
is informed, and (ii) when the number of its infected neighbors
is larger than ϕ. For a given
, condition (i) is difficult to fulfill when
is small and the spread of the information is slow. Increasing
allows more nodes to fulfill condition (i) and allows
to increase (decrease) with
. When the value of
is very large the information spreads so rapidly that condition (ii) can no longer be satisfied. Thus
decreases with
, which enhances the spread of disease. The optimal phenomenon is not qualitatively affected by the recovery rates of information and disease. As shown in Fig. 3(e),
versus
displays a non-monotonic shape for ϕ = 2 and 4, i.e.,
first increases with
and then decreases. When
the information spreading is rapid. Increasing
allows more nodes to fulfill the second immunization condition and to be immunized [see Fig. 3(f)], and further leads to the decrease (ϕ = 2) or saturation (ϕ = 4) of
with
. The theoretical predictions of our heterogeneous mean-field theory agree with the simulation predictions. The differences between the theoretical predictions and the simulations are caused by the dynamic correlations among the states of the neighbors and by finite-size network effects17. The dynamic correlations are produced when the information (disease) transmission events to one node in layer
coming from two distinct neighbors are correlated43. In the case of coevolution dynamics, the dynamic correlations are also induced by the counterparts of susceptible nodes4.
For the disease spreading on layer
, the disease threshold
for ϕ = 0 is clearly larger than the threshold
, which is the disease threshold without immunization (i.e., p = 0) [see the right arrow in Fig. 3(e)]. We can determine the numerical disease threshold by measuring the susceptibility44 or variability45 (see details in Method). Note that the disease threshold
for ϕ ≥ 1 is the same as
, which is consistent with the theoretical prediction [see Eq. (12) and the left arrow in Fig. 3(e)]. This occurs because individuals choose immunization only when the number of their infected neighbors is equal to or greater than ϕ. The asymmetrical coevolution mechanisms proposed in our model may explain why choosing to be immunized during disease spreading does not affect the disease threshold38,39,40.
We use ϕ = 2 to measure the final information and disease sizes (see Fig. 4). According to Eq. (12), the disease threshold is
. When
, 0.5, and 0.8, any value of
can cause an information outbreak due to an outbreak of disease on layer
[see Fig. 4(a)]. Thus the information outbreak threshold
is zero. Figure 4(b,c) show the optimal information transmission rate
at which
reaches its minimum (maximum) value. When
, 0.5, and 0.8,
increases with
because of the increase in the disease [see Fig. 4(d)]. Note that
is not affected by
[see the arrow in Fig. 4(e)]. As shown in Fig. 4(e),
versus
first increases and then decreases for large
and 0.8. This phenomenon can be understood in the same way with Fig. 3(e). There is again good agreement between the theoretical and numerical results.
being the parameter of interest, the asymmetrically interacting dynamics spreads on ER-ER networks.(a) The final information size
, (b) the final disease size
, and (c) the vaccination size
versus the information transmission rate
for the disease transmission rate
, 0.5 and 0.8. For
, 0.5 and 0.8, (d)
, (e)
and (f)
as a function of
. In the figures, symbols are the simulation results and the lines are the theoretical predictions. In (e), the arrow indicates the numerical disease threshold. We set other parameters to be ϕ = 2 and p = 0.8.
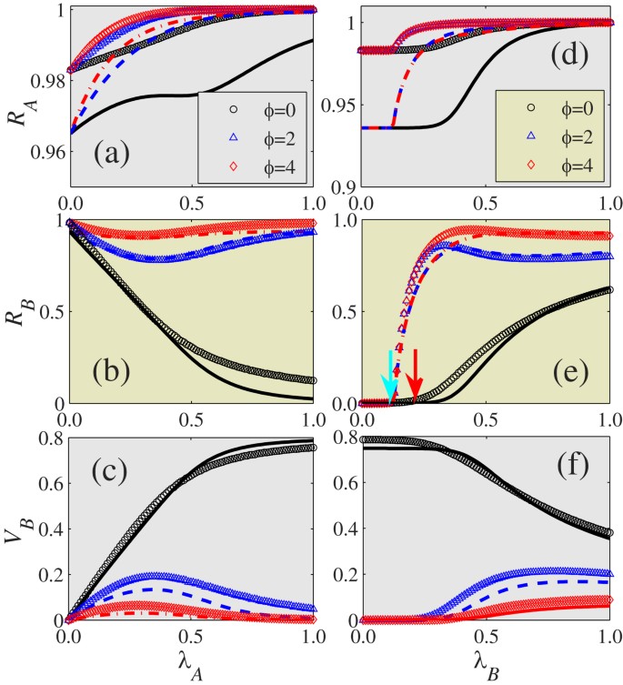
Figure 5 shows the effects of
and
on the final steady state for RA, RB, and VB for ϕ = 2 and shows the phase diagrams for the final sizes as a function of λA and λB. Figure 5(a) shows that
increases with
and
. The
plane is divided into a local (I) and global (II) information outbreak regions. In Fig. 5(a) region I and region II are separated by the
(horizontal white dashed line) and
(vertical white dashed line) obtained from Eq. (10). Figure 5(b) shows how region I and region II are separated by
(see vertical white dashed line). For the minimum value of
in region II,
increases linearly with
, as shown in Fig. 5(b) [see black lines and symbols in (b,c)]. At the optimal
,
reaches its minimum (maximum) value, as shown in Fig. 5(b,c). Note that
is slightly smaller than
because whether information induces an individual to be vaccinated depends on the infection level of their neighbors. Our heterogeneous mean-field theory describes this phenomenon very well.
The final density in each state relating the parameters
and
: (a) the final information size
, (b) the final disease size
and (c) the vaccination size
. In (a), the horizontal and vertical dashed lines separate the
plane into local and global information outbreak regions, which are denoted as regions I and II. In (b), the vertical dashed line divides the plane into a local (region I) and a global (region II) disease outbreak regions. In (b), the blue circles (
,
), green up triangle (
,
) and gray diamond (
,
) represent
being below, at and above
, respectively (see more discussions in Fig. 6). The black squares (black lines) in (b,c) represent the optimal information transmission rate
versus
. Other parameters are set to be ϕ = 2 and p = 0.8.
Thus we know that for a given disease transmission rate there is an optimal information transmission rate at which the disease spreading is markedly reduced. In order to determine the coevolution characteristics of information and disease spreading when the information reaches its optimal transmission, we first look at the macroscopic coevolution of the two dynamics under different information transmission rates as shown in Fig. 6. We denote the fraction of nodes on layer
informed by their neighbors or by their counterpart nodes using
and
, respectively. Here
is the fraction of nodes obtaining the information (disease) on layer
at time t. For small
below
[see Fig. 6(a)],
,
, and
reach their peaks simultaneously. Note that
is larger than
and very close to
, which means that the spread of information is primarily induced by the disease outbreak. At
, we find that
,
, and
reach their peaks simultaneously, and that
is closer to
than to
. Thus the information and disease have a similar spreading velocity. For a large value of
, the information spreads more quickly than the disease. Our results suggest that information and disease spreading have a similar macroscopic coevolution characteristic when the information transmission rate is at its optimal value.
Figure 7 shows the microscopic coevolution characteristics of the two dynamics at the optimal information transmission rate. Figure 7(a) shows the time evolution of information and disease in three independent dynamical realizations that have similar trends in their macroscopic coevolution of information spreading and disease spreading. Figure 7(b) shows the relative growth rates of information vI(t) and disease vD(t). As in the real-world case in Fig. 1(b), the same and opposite growth trends are observed. Figure 7(c) shows the calculated cross-correlations between the two time series of vD(t) and vI(t). Both positive and negative cross-correlations exist when the window size is small [see Fig. 7(d)]. Note that Fig. 7 agrees well with the real-world situation shown in Fig. 1. Through extensive simulations, we find that heterogeneous networks display a similar phenomenon. Thus the coevolution between information and disease can become optimal in which the macroscopic and microscopic coevolution characteristics of information and disease exhibit similar trends and the information diffusion greatly suppresses the spread of disease.
(a) The fractions of nodes in the informed state
(red solid line) and infected state
(blue dashed line) versus t. (b) The relative growth rates vD(t) (blue dashed line) and vI(t) (red solid line) of
and
versus t, respectively. (c) Cross-correlations c(t) between vI(t) and vD(t) for the given window size wl = 3 (blue dashed line) and wl = 5 (red solid line). (d) The fractions of negative correlations fP (blue squares) and positive correlations fN (red circles) as a function of wI. We set other parameters to be
,
and p = 0.8, respectively.
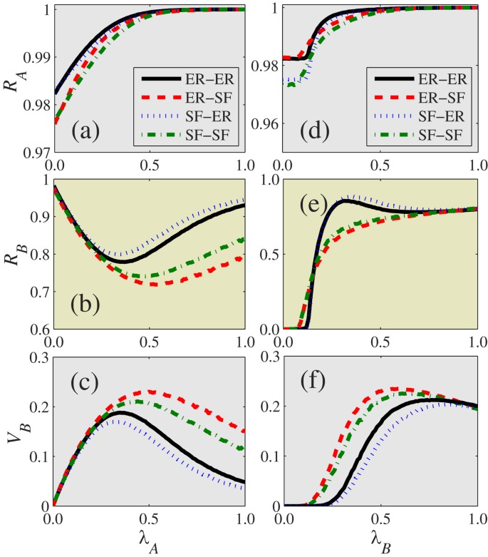
To examine how topology affects multiplex systems, we next simulate different possible heterogeneities in the communication and contact networks (see Fig. 8). We generate scale-free (SF) networks with a power-law degree distribution
by using an uncorrelated configuration model41,46 in which γD is the degree exponent. Through extensive simulations we find that the values of γD do not qualitatively affect the results. Without loss of generality we set γD = 3.0. Note that there is an optimal information transmission rate at which the disease is significantly suppressed [see Fig. 8(b,c)], and thus heterogeneity in network topology does not qualitatively affect this optimal phenomenon. We also find that the multiplex networks with a homogeneous communication layer and a heterogeneous contact layer have a greater optimal information transmission rate. As the information (disease) spreads more (less) widely on homogeneous (heterogeneous) networks for a large transmission rate,
is further reduced. Figure 8(e) shows that the disease threshold
is determined only by the topology of layer
, and that the topology of layer
does not affect
.
(a) The final information size
, (b) the final disease size
and (c) the vaccination size
versus the information transmission rate
on ER-ER, ER-SF, SF-ER and SF-SF coupled networks with
. For ER-ER, ER-SF, SF-ER and SF-SF networks with
, (d)
, (e)
and (f)
as a function of
. Other parameters are set to be ϕ = 2, p = 0.8 and 〈kA〉 = 〈kB〉 = 8.
For information spreading on layer
as shown in Fig. 8(a),
decreases with the degree heterogeneity of layer
, since a homogeneous contact network facilitates the spread of disease for large
20. In Fig. 8(b,c), the effects of the heterogeneity of layer
on
and
are negligible when
is small, but
increases with the heterogeneity of layer
when
is large because it is more difficult to immunize nodes [i.e.,
decreases with the heterogeneity of layer
in Fig. 8(c)].
Figure 8(d–f) show
,
and
as a function of λB on several networks for large
. The degree heterogeneity of layer
is a factor. When
,
decreases with the heterogeneity of layer
, but the effects of the heterogeneity of layer
on
and
are negligible. When
the heterogeneity of layer
does not increase information diffusion, but promotes disease spreading because nodes are less likely to be immunized. We examine the effects of the heterogeneity of layer
and find that
and
increase (decrease) with the degree heterogeneity of layer
for small (large)
. When the degree heterogeneity of layer
is increased, the network has a large number of individuals with very small degrees and more individuals with large degrees. When
is small there are more hubs in heterogeneous networks that facilitate disease spreading because they are more likely to be infected, and this increases information diffusion. When
is large, however, there are many small-degree nodes with a low probability of being infected, and this produces smaller values of
, which causes smaller values of
.
Discussion
We have systematically investigated the coevolution dynamics of information and disease spreading on multiplex networks. We first discover indications of asymmetrical interactions between the two spreading dynamics by analyzing real data, i.e., the weekly time series of information spreading and disease spreading in the form of influenza-like illness (ILI) evolving simultaneously in the US during an approximate 200-week period from 3 January 2010 to 10 December 2013. Using these interacting mechanisms observed in real data, we propose a mathematical model for describing the coevolution spreading dynamics of information and disease on multiplex networks. We investigate the coupled dynamics using heterogeneous mean-field theory and stochastic simulations. We find that information outbreaks can be triggered by the spreading dynamics within a communications network and also by disease outbreaks in the disease contact network, but we also find that the disease threshold is not affected by information spreading, i.e., that the outbreak of disease is solely dependent on the topology of the contact network. More important, for a given rate of disease transmission we find that there is an optimal information transmission rate that decreases the disease size to a minimum value, and the modeled evolution of information and disease spreading is consistent with real-world behavior. We also verify that heterogeneity in network topology does not invalidate the results. In addition, we find that when information diffuses slowly, the degree heterogeneity of the communication network has a trivial impact on disease spreading. The homogeneity of the communication network can enhance the vaccination size and thus prevent disease spreading more effectively when the spread of information is rapid.
The asymmetrical interacting mechanism we discover by analyzing real-world data provides solid evidence supporting the basic assumptions of previous researches16,17. Our data-driven model also reveals some fundamental coevolution mechanisms in the coevolution dynamics. Using these coevolution dynamics of information and disease we are able to identify phenomena that differ qualitatively from those found in previous research on disease-behavior systems. Our results enable us to quantify the optimal level of information transmission that suppresses disease spreading. The coevolution mechanisms also enable us to better understand why the disease threshold is unchanged even when information spreading in some real-world situations undergoes coevolution.
Further research on disease-behavior systems promises to discover additional real-world mechanisms that can be used to refine models of coevolution spreading dynamics. Developing a more accurate theoretical method is full of challenges because it is difficult to describe the strong dynamic correlations among the states of neighboring nodes in a network. If we take dynamical correlations into account, we may be able to use such advanced theoretical methods as dynamic message-passing47,48 or pair approximation49,50.
Methods
Relative growth rates
We define the relative growth rates vG(t) of nG(t) and vD(t) of nD(t) to be

and

If vG(t) > 0 [vD(t) > 0], nG(t) [nD(t)] shows an increasing trend at time t. If not, nG(t) [nD(t)] shows a decreasing trend at time t.
Variability measure

where Rh is the final information size
or disease size
, and
is the ensemble averaging. The value of χ exhibits a peak at the critical point at which the thresholds can be computed.
Additional Information
How to cite this article: Wang, W. et al. Suppressing disease spreading by using information diffusion on multiplex networks. Sci. Rep. 6, 29259; doi: 10.1038/srep29259 (2016).
References
Pastor-Satorras, R., Castellano, C., Van Mieghem, P. & Vespignani, A. Epidemic processes in complex networks. Rev. Mod. Phys. 87, 925 (2015).
Perc, M. & Szolnoki, A. Coevolutionary gamesła mini review. BioSystems 99, 109–125 (2010).
Karrer, B. & Newman, M. E. J. Competing epidemics on complex networks. Phys. Rev. E 84, 036106 (2011).
Sanz, J., Xia, C.-Y., Meloni, S. & Moreno, Y. Dynamics of Interacting Diseases. Phys. Rev. X 4, 041005 (2014).
Marceau, V., Noël, P. A., Hébert-Dufresne, L., Allard, A. & Dubé, L. J. Modeling the dynamical interaction between epidemics on overlay networks. Phys. Rev. E 84, 026105 (2011).
Cai, W., Chen, L., Ghanbarnejad, F. & Grassberger, P. Avalanche outbreaks emerging in cooperative contagions. Nat. Phys. 11, 936–940 (2015).
Gleeson, J. P., Cellai, D., Onnela, J.-P., Porter, M. A. & Reed-Tsochas, F. A simple generative model of collective online behaviour, Proc. Nat. Acad. Sci. USA 111, 10411 (2014).
Feng, L. et al. Competing for Attention in Social Media under Information Overload Conditions, PLoS One 10, e0126090 (2015).
Manfredi, P. & D’Onofrio, A. Modeling the Interplay Between Human Behavior and the Spread of Infectious Diseases (Springer-Verlag, Berlin, 2013).
Funk, S., Salathé, M. & Jansen, V. A. A. Modelling the influence of human behaviour on the spread of infectious diseases: a review. J. R. Soc. Interface 7, 1257 (2010).
Funk, S., Gilad, E. & Jansen, V. A. A. Endemic disease, awareness, and local behavioural response. J. Theor. Biol. 264, 501 (2010).
Valdez, L. D., Macri, P. A. & Braunstein, L. A. Intermittent social distancing strategy for epidemic control. Phys. Rev. E 85, 036108 (2012).
Zuzek, L. A., Stanley, H. E. & Braunstein, L. A. Epidemic model with isolation in multilayer networks. Sci. Rep. 5, 12151 (2015).
Bauch, C. T. & Galvani, A. P. Social Factors in Epidemiology. Science 342, 47 (2013).
Funk, S., Gilada, E., Watkinsb, C. & Jansen, V. A. A. The spread of awareness and its impact on epidemic outbreaks. Proc. Natl. Acad. Sci. USA 106, 6872 (2009).
Granell, C., Gómez, S. & Arenas, A. Dynamical Interplay between Awareness and Epidemic Spreading in Multiplex Networks. Phys. Rev. Lett. 111, 128701 (2013).
Wang, W. et al. Asymmetrically interacting spreading dynamics on complex layered networks. Sci. Rep. 4, 5097 (2014).
Wang, W., Tang, M., Zhang, H.-F. & Lai, Y.-C. Dynamics of social contagions with memory of nonredundant information. Phys. Rev. E 92, 012820 (2015).
Watts, D. J. A simple model of global cascades on random networks. Proc. Natl. Acad. Sci. USA 99, 5766 (2002).
Pastor-Satorras, R. & Vespignani, A. Epidemic Spreading in Scale-Free Networks. Phys. Rev. Lett. 86, 3200 (2001).
Newman, M. E. J. The spread of epidemic disease on networks. Phys. Rev. E 66, 016128 (2002).
Kitsak, M. et al. Identification of influential spreaders in complex networks. Nat. Phys. 6, 888 (2010).
Kuperman, M. & Abramson, G. Small world effect in an epidemiological model. Phys. Rev. Lett. 86, 2909 (2001).
Castellano, C., Fortunato, S. & Loreto, V. Statistical physics of social dynamics. Rev. Mod. Phys. 81, 0034 (2009).
Preis, T. & Moat, H. S. Data from: Adaptive nowcasting of influenza outbreaks using Google searches. Dryad Digital Repository. Available at: http://dx.doi.org/10.5061/dryad.r06h2. (Accessed: 4th May 2015) (2014).
Preis, T. & Moat, H. S. Adaptive nowcasting of influenza outbreaks using Google searches. R. Soc. Open Sci. 1, 140095 (2014).
Ginsberg, J. et al. Detecting influenza epidemics using search engine query data. Nature 457, 1012 (2009).
Lazer, D., Kennedy, R., King, G. & Vespignani, A. The Parable of Google Flu: Traps in Big Data Analysis. Science 343, 1203 (2014).
Podobnik, B. & Stanley, H. E. Detrended Cross-Correlation Analysis: A New Method for Analyzing Two Nonstationary Time Series. Phys. Rev. Lett. 100, 084102 (2008).
Boccaletti, S. et al. The structure and dynamics of multilayer networks. Phys. Rep. 544, 1 (2014).
Gao, J., Buldyrev, S. V., Stanley, H. E. & Havlin, S. Networks formed from interdependent networks. Nat. Phys. 8, 40–48 (2012).
Wang, Z., Wang, L., Szolnoki, A. & Perc, M. Evolutionary games on multilayer networks: a colloquium. Eur. Phys. J. B 88, 1–15 (2015).
Kivelä, M. et al. Multilayer Networks. J. Complex Networks 2, 203 (2014).
Moreno, Y., Pastor-Satorras, R. & Vespignani, A. Epidemic outbreaks in complex heterogeneous networks. Eur. Phys. J. B 26, 521–529 (2002).
Serrano, M. A. & Boguñá, M. Percolation and epidemic thresholds in clustered networks. Phys. Rev. Lett. 97, 088701 (2006).
Ruan, Z., Tang, M. & Liu, Z. Epidemic spreading with information-driven vaccination. Phys. Rev. E 86, 036117 (2012).
Buono, C. & Braunstein, L. A. Immunization strategy for epidemic spreading on multilayer networks. Europhys. Lett. 109, 26001 (2015).
Fisman, D., Khoo, E. & Tuite, A. Early epidemic dynamics of the West African 2014 Ebola outbreak: estimates derived with a simple two-parameter model. PLoS Curr. Outbreaks 6, 1 (2014).
Alia, S. T., Kadib, A. S. & Ferguson, N. M. Transmission dynamics of the 2009 influenza A (H1N1) pandemic in India: The impact of holiday-related school closure. Epidemics 5, 157–163 (2013).
Bermejo, M. et al. Ebola outbreak killed 5000 gorillas. Science 314, 1564 (2006).
Catanzaro, M., Boguñá, M. & Pastor-Satorras, R. Generation of uncorrelated random scale-free networks. Physc. Rev. E 71, 027103 (2005).
Newman, M. E. J. Networks An Introduction (Oxford University Press, Oxford, 2010).
Altarelli, F., Braunstein, A., Dall’Asta, L., Wakeling, J. R. & Zecchina, R. Containing Epidemic Outbreaks by Message-Passing Techniques. Phys. Rev. X 4, 021024 (2014).
Ferreira, S. C., Castellano, C. & Pastor-Satorras, R. Epidemic thresholds of the susceptible-infected-susceptible model on networks: A comparison of numerical and theoretical results. Phys. Rev. E 86, 041125 (2012).
Shu, P., Wang, W., Tang, M. & Do, Y. Numerical identification of epidemic thresholds for susceptible-infectedrecovered model on finite-size networks. Chaos 25, 063104 (2015).
Yang, Z. & Zhou, T. Epidemic spreading in weighted networks: An edge-based mean-field solution. Phys. Rev. E 85(5), 056106 (2012).
Karrer, B., Newman, M. E. J. & Zdeborová, L. Percolation on sparse networks. Phys. Rev. Lett. 113, 208702 (2014).
Radicchi, F. Percolation in real interdependent networks. Nat. Phys. 11, 597 (2015).
Eames, K. & Keeling, M. J. Modeling Dynamic and Network Heterogeneities in the Spread of Sexually Transmitted Diseases. Proc. Natl. Acad. Sci. USA 99, 13330 (2002).
Gross, T., D’Lima, C. J. D. & Blasius, B. Epidemic dynamics on an adaptive network. Phys. Rev. Lett. 96, 208701 (2006).
Acknowledgements
This work was partially supported by the National Natural Science Foundation of China under Grants Nos 11575041 and 11105025, and China Scholarship Council. L.A.B. thanks ANCyP, Pict 0429/13 and UNMdP for financial support.
Author information
Authors and Affiliations
Contributions
W.W. and M.T. devised the research project. W.W. and Q.-H.L. performed numerical simulations. W.W., S.-M.C., M.T., L.A.B. and H.E.S. analyzed the results. W.W., Q.-H.L., S.-M.C., M.T., L.A.B. and H.E.S. wrote the paper.
Corresponding author
Ethics declarations
Competing interests
The authors declare no competing financial interests.
Supplementary information
Rights and permissions
This work is licensed under a Creative Commons Attribution 4.0 International License. The images or other third party material in this article are included in the article’s Creative Commons license, unless indicated otherwise in the credit line; if the material is not included under the Creative Commons license, users will need to obtain permission from the license holder to reproduce the material. To view a copy of this license, visit http://creativecommons.org/licenses/by/4.0/
About this article
Cite this article
Wang, W., Liu, QH., Cai, SM. et al. Suppressing disease spreading by using information diffusion on multiplex networks. Sci Rep 6, 29259 (2016). https://doi.org/10.1038/srep29259
Received:
Accepted:
Published:
DOI: https://doi.org/10.1038/srep29259
This article is cited by
-
Complexity of Government response to COVID-19 pandemic: a perspective of coupled dynamics on information heterogeneity and epidemic outbreak
Nonlinear Dynamics (2023)
-
A general framework for optimising cost-effectiveness of pandemic response under partial intervention measures
Scientific Reports (2022)
-
Coevolving spreading dynamics of negative information and epidemic on multiplex networks
Nonlinear Dynamics (2022)
-
A review and agenda for integrated disease models including social and behavioural factors
Nature Human Behaviour (2021)
-
Co-evolution spreading of multiple information and epidemics on two-layered networks under the influence of mass media
Nonlinear Dynamics (2020)









,
,
and
for (a)
, (b)
and (c)
. Other parameters are set to be
, ϕ = 2 and p = 0.8.
