Abstract
A series of 2′(2′,6′)-(di)halogeno-isoxazolopodophyllic acids-based esters, and oxime sulfonates of 2′(2′,6′)-(di)halogenopodophyllones were prepared by structural modifications of podophyllotoxin as insecticidal agents against Mythimna separata Walker. It was found that when 2′(2′,6′)-(di)halogenopodophyllones or 2′(2′,6′)-(di)chloropicropodophyllones reacted with hydroxylamine hydrochloride, the desired products were related with the configuration of their lactones. Three key single-crystal structures of Ie, IIe and IIIb were determined by X-ray diffraction. Especially compounds IIc and Vc showed the highest insecticidal activity. Moreover, some interesting results of structure-insecticidal activity relationships of tested compounds were also observed.
Similar content being viewed by others
Introduction
The oriental armyworm, Mythimna separata (Walker) (Lepidoptera: Noctuidae), a typical and key agricultural insect pest in China, Korea, Japan, Southeast Asia, Australia and Oceania, could extensively damage important cereal crops such as maize, wheat and rice1,2. Currently, chemical control is still an essential component of crop protection in modern agriculture, and a variety of synthetic agrochemicals have been widely used to manage insect pests. However, a wide range of application of those agrochemicals has resulted in ecological disturbances and increasing resistance in pest populations, which will make the species more difficult to control3,4,5,6,7,8. Therefore, it is necessary to develop new potential alternatives to effectively and selectively control insect pests in the agricultural field4,5,6,7,8. In recent decades, the discovery and development of new pesticides directly or indirectly from plant secondary metabolites has been received much attention due to their less or slower resistance development and lower environmental pollution9,10,11,12,13,14,15,16.
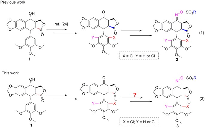
Podophyllotoxin (1, Fig. 1), a naturally occurring cyclolignan, is isolated from the roots and rhizomes of some Podophyllum and Juniperus species. Compound 1 has been used as the lead compound for preparation of three clinical anticancer drugs such as etoposide (VP-16), teniposide (VM-26) and etoposide phosphate. Additionally, compound 1 also exhibits other interesting properties such as cytotoxic, insecticidal, antifungal, and antiviral activities17. Therefore, total synthesis18,19,20 and structural modification21,22,23 of 1 and its analogs is always the research topic.
More recently, a series of oxime sulfonate derivatives of 2′(2′,6′)-(di)chloropicropodophyllotoxins (2, Fig. 1, Eq. (1)) have been synthesized and some compounds showed more potent insecticidal activity than toosendanin, a commercial botanical insecticide isolated from Melia azedarach24. Additionally, the trans-lactone was an important factor for podophyllotoxins exhibiting the good insecticidal activity25. Especially when a chlorine atom was introduced at the C-2′ position on the E-ring of podophyllotoxin derivatives, the corresponding compounds showed no significant cytotoxicity26. Based upon the above results, in the present paper we wanted to prepare a series of oxime sulfonate derivatives of 2′(2′,6′)-(di)chloropodophyllotoxins (3, Fig. 1, Eq. (2)). Their insecticidal activity tested against a typical lepidopteran pest (M. separata) was also presented.
Methods
Materials and Instruments
Podophyllotoxin was purchased from Gansu Gerui Medicinal Materials Co., Ltd. (Lanzhou, China). All chemical reagents were purchased and utilized without further purification. Solvents were used directly or treated with standard methods before use. Analytical thin-layer chromatography (TLC) and preparative thin-layer chromatography (PTLC) were performed with silica gel plates using silica gel 60 GF254 (Qingdao Haiyang Chemical Co., Ltd., Qingdao, China). Silica gel column chromatography was performed with silica gel 200–300 mesh (Qingdao Haiyang Chemical Co., Ltd., Qingdao, China). Melting points (mp) were determined on a XT-4 digital melting point apparatus. Optical rotation was measured on a Rudolph Research Analytical Autopol III automatic polarimeter. Infrared spectra (IR) were recorded on a Bruker TENSOR 27 spectrometer. Proton nuclear magnetic resonance spectra (1H NMR) were recorded in CDCl3 on a Bruker Avance III 500 MHz instrument using tetramethylsilane (TMS) as the internal standard. High-resolution mass spectra (HR-MS) were carried out with IonSpec 4.7 Tesla FTMS instrument.
General procedure for synthesis of 2′(2′,6′)-(di)halogenopodophyllones (7–9)
A mixture of 2′(2′,6′)-(di)halogenopodophyllotoxin (4, 5, or 6, 1 mmol), CrO3 (5 mmol), and pyridine (10 mmol) in dry dichloromethane (DCM, 20 mL) was stirred at room temperature. When the reaction was complete checked by TLC analysis, the mixture was diluted by DCM (60 mL), washed by saturated aq. NaHSO3 (30 mL) and brine (30 mL), dried over anhydrous Na2SO4, concentrated under reduced pressure, and purified by silica gel column chromatography eluting with petroleum ether/ethyl acetate (2:3, v/v) to afford compounds 7–9.
Data for 7: CAS: 1458601-16-5. Yield = 81%, white solid, m.p. 217–218 °C [lit. 218–219 °C]27; [α]20D = −64 (c 2.7 mg/mL, CHCl3); IR cm−1 (KBr): 3075, 2933, 1787, 1685, 1487, 1391, 1117, 1020; 1H NMR (500 MHz, CDCl3) δ: 7.49 (s, 1H, H-5), 6.57 (s, 1H, H-8), 6.19 (s, 1H, H-6′), 6.05 (d, J = 3.0 Hz, 2H, OCH2O), 5.42 (d, J = 5.5 Hz, 1H, H-1), 4.58–4.62 (m, 1H, H-11), 4.33–4.36 (t, J = 9.5 Hz, 1H, H-11), 3.92 (s, 3H, OCH3), 3.88 (s, 3H, OCH3), 3.76–3.80 (m, 1H, H-3), 3.65 (s, 3H, OCH3), 3.40 (dd, J = 16.0, 5.5 Hz, 1H, H-2); HRMS (ESI): Calcd for C22H19ClO8Na ([M+Na]+) 469.0671, found 469.0660.
Data for 8: Yield = 85%, white solid, m.p. 224–225 °C; [α]20D = −80 (c 3.0 mg/mL, CHCl3); IR cm−1 (KBr): 3084, 2937, 1789, 1686, 1479, 1395, 1249, 1062; 1H NMR (500 MHz, CDCl3) δ: 7.47 (s, 1H, H-5), 6.49 (s, 1H, H-8), 6.05 (s, 2H, OCH2O), 5.73 (d, J = 7.5 Hz, 1H, H-1), 4.59–4.62 (m, 1H, H-11), 4.28–4.35 (m, 1H, H-11), 3.97 (s, 3H, OCH3), 3.96 (s, 3H, OCH3), 3.82–3.86 (m, 4H, H-3 and OCH3), 3.52–3.57 (m, 1H, H-2); HRMS m/z calcd for C22H21O8NCl ([M+H]+) 481.0451, found 481.0447.
Data for 9: CAS: 37158-57-9. Yield = 83%, white solid, m.p. 222–223 °C [lit. 220–221 °C]27; [α]20D = −93 (c 2.9 mg/mL, CHCl3); IR cm−1 (KBr): 3074, 2934, 1789, 1685, 1479, 1391, 1196, 1075; 1H NMR (500 MHz, CDCl3) δ: 7.50 (s, 1H, H-5), 6.57 (s, 1H, H-8), 6.18 (s, 1H, H-6′), 6.06 (d, J = 3.5 Hz, 2H, OCH2O), 5.52 (d, J = 4.5 Hz, 1H, H-1), 4.60–4.64 (m, 1H, H-11), 4.34–4.38 (m, 1H, H-11), 3.92 (s, 3H, OCH3), 3.88 (s, 3H, OCH3), 3.80–3.84 (m, 1H, H-3), 3.64 (s, 3H, OCH3), 3.40 (dd, J = 16.0, 5.5 Hz, 1H, H-2); HRMS (ESI): Calcd for C22H19BrO8Na ([M+Na]+) 513.0154, found 513.0155.
General procedure for synthesis of 2′(2′,6′)-(di)halogeno-isoxazolopodophyllic acids (10–12) and oximes of 2′(2′,6′)-(di)halogenopodophyllones (13–15)
A mixture of 2′(2′,6′)-(di)halogenopodophyllone (7, 8 or 9, 1 mmol), hydroxylamine hydrochloride (1.5 mmol), and pyridine (4 mmol) in absolute ethanol (20 mL) was refluxed. When the reaction was complete checked by TLC analysis, the solvent was removed under reduced pressure, and saturated aq. NaHCO3 (15 mL) was added to the residue, which was extracted with ethyl acetate (3 × 30 mL). The combined organic phase was dried over anhydrous Na2SO4, filtered, concentrated under reduced pressure, and purified by silica gel column chromatography eluting with DCM/methanol (98:2, v/v) to afford compounds 10–15. For compounds 13–15 were not stable, they were used directly for the next step.
Data for 10: Yield = 65%, white solid, m.p. 174–175 °C; [α]20D = −78 (c 2.0 mg/mL, CHCl3); IR cm−1 (KBr): 3447, 2930, 1713, 1483, 1583, 1233, 1036; 1H NMR (500 MHz, CDCl3) δ: 7.43 (s, 1H, H-5), 6.52 (s, 1H, H-8), 6.07 (s, 1H, H-6′), 5.99 (d, J = 8.0 Hz, 2H, OCH2O), 5.35 (d, J = 5.5 Hz, 1H, H-1), 4.79 (t, J = 9.0 Hz, 1H, H-11), 4.01–4.09 (m, 1H, H-11), 3.87 (s, 3H, OCH3), 3.85 (s, 3H, OCH3), 3.79–3.84 (m, 1H, H-3), 3.62 (s, 3H, OCH3), 3.28 (dd, J = 13.0, 5.5 Hz, 1H, H-2); HRMS m/z calcd for C22H21O8NCl ([M+H]+) 462.0950, found 462.0943.
Data for 11: Yield = 63%, white solid, m.p. 200–201 °C ; [α]20D = −150 (c 2.4 mg/mL, CHCl3); IR cm−1 (KBr): 3437, 3108, 2938, 1711, 1480, 1230, 1096; 1H NMR (500 MHz, CDCl3) δ: 7.37 (s, 1H, H-5), 6.33 (s, 1H, H-8), 5.98 (d, J = 3.5 Hz, 2H, OCH2O), 5.72 (d, J = 8.5 Hz, 1H, H-1), 4.74–4.78 (m, 1H, H-11), 4.51–4.56 (m, 1H, H-11), 3.94 (s, 3H, OCH3), 3.89 (s, 3H, OCH3), 3.76–3.80 (m, 4H, H-3 and OCH3), 3.38 (dd, J = 13.0, 8.5 Hz, 1H, H-2); HRMS m/z calcd for C22H20O8NCl2 ([M+H]+) 496.0560, found 496.0553.
Data for 12: Yield = 60%, white solid, m.p. 194–195 °C; [α]20D = −109 (c 2.7 mg/mL, CHCl3); IR cm−1 (KBr): 3446, 3058, 2936.1709, 1482, 1234, 1105; 1H NMR (500 MHz, CDCl3) δ: 7.37 (s, 1H, H-5), 6.45 (s, 1H, H-8), 6.15 (s, 1H, H-6′), 5.98 (d, J = 16.5 Hz, 2H, OCH2O), 5.24 (d, J = 5.0 Hz, 1H, H-1), 4.73 (t, J = 8.5 Hz, 1H, H-11), 3.98–4.05 (m, 1H, H-11), 3.81 (s, 3H, OCH3), 3.80 (s, 3H, OCH3), 3.71–3.76 (m, 1H, H-3), 3.59 (s, 3H, OCH3), 3.03 (dd, J = 12.5, 6.0 Hz, 1H, H-2); HRMS m/z calcd for C22H21O8NBr ([M+H]+) 506.0445, found 506.0440.
General procedure for synthesis of 2′(2′,6′)-(di)halogeno-isoxazolopodophyllic acids-based esters (Ia–c,e–g; IIa–f; and IIIa–g)
A mixture of the corresponding alcohols R1OH (0.28 mmol), N, N′-dicyclohexylcarbodiimide (DCC, 0.2 mmol), 4-dimethylaminopyridine (DMAP, 0.04 mmol), and 2′(2′,6′)-(di)halogeno-isoxazolopodophyllic acids (10, 11, or 12, 0.2 mmol) in dry DCM (10 mL) was stirred at room temperature. When the reaction was complete according to TLC analysis, the mixture was diluted by DCM (40 mL), washed by water (20 mL), aq. HCl (0.1 mol/L, 20 mL), saturated aq. NaHCO3 (20 mL) and brine (20 mL), dried over anhydrous Na2SO4, concentrated in vacuo, and purified by PTLC to give compounds Ia–c,e–g; IIa–f; and IIIa–g in 47–93% yields. The example data of Ia–c; IIa–c; and IIIa–c are listed as follows, whereas data of Ie–g; IId–f; and IIId–g can be found in the Supporting Information.
Data for Ia: Yield = 63%, white solid, m.p. 155–156 °C; [α]20D = −81 (c 3.0 mg/mL, CHCl3); IR cm−1 (KBr): 3094, 2937, 1736, 1484, 1233, 1109; 1H NMR (500 MHz, CDCl3) δ: 7.43 (s, 1H, H-5), 6.50 (s, 1H, H-8), 6.08 (s, 1, H, H-6′), 5.99 (dd, J = 8.0, 1.5 Hz, 2H, OCH2O), 5.31 (d, J = 5.5 Hz, 1H, H-1), 4.78–4.81 (m, 1H, H-11), 4.06–4.13 (m, 1H, H-11), 3.89 (s, 3H, OCH3), 3.86 (s, 3H, OCH3), 3.76–3.80 (m, 1H, H-3), 3.62 (s, 3H, OCH3), 3.61 (s, 3H, CO2CH3), 3.27 (dd, J = 13.0, 5.5 Hz, 1H, H-2); HRMS m/z calcd for C23H23O8NCl ([M+H]+) 476.1107, found 476.1099.
Data for Ib: Yield = 54%, white solid, m.p. 129–130 °C, [α]20D = −91 (c 3.0 mg/mL, CHCl3); IR cm−1 (KBr): 3036, 2931, 1728, 1484, 1232, 1110; 1H NMR (500 MHz, CDCl3) δ: 7.43 (s, 1H, H-5), 6.51 (s, 1H, H-8), 6.11 (s, 1H, H-6′), 5.99 (dd, J = 9.0, 1.0 Hz, 2H, OCH2O), 5.34 (d, J = 6.0 Hz, 1H, H-1), 4.79–4.82 (m, 1H, H-11), 4.07–4.15 (m, 2H, CO2CH2CH3), 3.94–3.97 (m, 1H, H-11), 3.89 (s, 3H, OCH3), 3.85 (s, 3H, OCH3), 3.77–3.81 (m, 1H, H-3), 3.63 (s, 3H, OCH3), 3.25 (dd, J = 13.0, 6.0 Hz, 1H, H-2), 1.19 (t, J = 7.0 Hz, 3H, CO2CH2CH3); HRMS m/z calcd for C24H25O8NCl ([M+H]+) 490.1263, found 490.1255.
Data for Ic: Yield = 50%, white solid, m.p. 102–103 °C, [α]20D = −100 (c 3.1 mg/mL, CHCl3); IR cm−1 (KBr): 3105, 2938, 1728, 1483, 1226, 1111; 1H NMR (500 MHz, CDCl3) δ: 7.43 (s, 1H, H-5), 6.51 (s, 1H, H-8), 6.10 (s, 1H, H-6′), 5.99 (dd, J = 9.0, 1.0 Hz, 2H, OCH2O), 5.33 (d, J = 5.5 Hz, 1H, H-1), 4.77–4.81 (m, 1H, H-11), 4.10–4.14 (m, 1H, H-11), 4.02–4.09 (m, 2H, CO2CH2CH2CH2CH3), 3.89 (s, 3H, OCH3), 3.85 (s, 3H, OCH3), 3.77–3.81 (m, 1H, H-3), 3.64 (s, 3H, OCH3), 3.26 (dd, J = 12.5, 6.0 Hz, 1H, H-2), 1.47–1.58 (m, 2H, CO2CH2CH2CH2CH3), 1.27–1.32 (m, 2H, CO2CH2CH2CH2CH3), 0.91 (t, J = 7.5 Hz, 3H, CO2CH2CH2CH2CH3); HRMS m/z calcd for C26H29O8NCl ([M+H]+) 518.1576, found 518.1568.
Data for IIa: Yield = 71%, white solid, m.p. 113–114 °C; [α]20D = −90 (c 2.7 mg/mL, CHCl3); IR cm−1 (KBr): 3078, 2935, 1734, 1483, 1230, 1109; 1H NMR (500 MHz, CDCl3) δ: 7.38 (s, 1H, H-5), 6.33 (s, 1H, H-8), 5.97 (dd, J = 4.0, 1.5 Hz, 2H, OCH2O), 5.70 (d, J = 9.0 Hz, 1H, H-1), 4.76–4.79 (m, 1H, H-11), 4.58–4.64 (m, 1H, H-11), 3.94 (s, 3H, OCH3), 3.91 (s, 3H, OCH3), 3.80 (s, 3 H, OCH3), 3.73–3.78 (m, 1H, H-3), 3.46 (s, 3H, CO2CH3), 3.37 (dd, J = 13.0, 9.0 Hz, 1H, H-2); HRMS m/z calcd for C23H22O8NCl2 ([M+H]+) 510.0717, found 510.0712.
Data for IIb: Yield = 52%, white solid. m.p. 168–169 °C, [α]20D = −69 (c 2.7 mg/mL, CHCl3); IR cm−1 (KBr): 3085, 2935, 1732, 1481, 1228, 1034; 1H NMR (500 MHz, CDCl3) δ: 7.38 (s, 1H, H-5), 6.31 (s, 1H, H-8), 5.97 (dd, J = 3.5, 1.0 Hz, 2H, OCH2O), 5.72 (d, J = 9.0 Hz, 1H, H-1), 4.76–4.80 (m, 1H, H-11), 4.60–4.67 (m, 1H, H-11), 3.95–4.00 (m, 2H, CO2CH2CH3), 3.93 (s, 3H, OCH3), 3.92 (s, 3H, OCH3), 3.80 (s, 3H, OCH3), 3.75–3.78 (m, 1H, H-3), 3.34 (dd, J = 13.0, 9.0 Hz, 1H, H-2), 1.09 (t, J = 7.0 Hz, 3H, CO2CH2CH3); HRMS m/z calcd for C24H24O8NCl2 ([M+H]+) 524.0873, found 524.0869.
Data for IIc: Yield = 79%, white solid, m.p. 97–98 °C, [α]20D = −144 (c 3.0 mg/mL, CHCl3); IR cm−1 (KBr): 3078, 2933, 1731, 1479, 1226, 1021; 1H NMR (500 MHz, CDCl3) δ: 7.38 (s, 1H, H-5), 6.32 (s, 1H, H-8), 5.97 (d, J = 3.0 Hz, 2H, OCH2O), 5.70 (d, J = 8.5 Hz, 1H, H-1), 4.75–4.79 (m, 1H, H-11), 4.59–4.66 (m, 1H, H-11), 3.94 (s, 3H, OCH3), 3.91 (s, 3H, OCH3), 3.78–3.80 (m, 4H, OCH3 and H-3), 3.71–3.77 (m, 2H, CO2CH2CH2CH2CH3), 3.38 (dd, J = 13.0, 8.0 Hz, 1H, H-2), 1.38–1.47 (m, 2H, CO2CH2CH2CH2CH3), 1.23–1.29 (m, 2H, CO2CH2CH2CH2CH3), 0.88 (t, J = 7.0 Hz, 3H, CO2CH2CH2CH2CH3); HRMS m/z calcd for C26H28O8NCl2 ([M+H]+) 552.1186, found 552.1176.
Data for IIIa: Yield = 55%, white solid, m.p. 147–148 °C, [α]20D = −85 (c 2.1 mg/mL, CHCl3); IR cm−1 (KBr): 3045, 2931, 1731, 1483, 1230, 1106; 1H NMR (500 MHz, CDCl3) δ: 7.43 (s, 1H, H-5), 6.52 (s, 1H, H-8), 6.14 (s, 1H, H-6′), 5.99 (dd, J = 9.0, 1.0 Hz, 2H, OCH2O), 5.38 (d, J = 6.0 Hz, 1H, H-1), 4.80–4.83 (m, 1H, H-11), 4.10–4.17 (m, 1H, H-11), 3.88 (s, 3H, OCH3), 3.85 (s, 3H, OCH3), 3.76–3.81 (m, 1H, H-3), 3.63 (s, 3H, OCH3), 3.60 (s, 3H, CO2CH3), 3.26 (dd, J = 12.5, 6.0 Hz, 1H, H-2); HRMS m/z calcd for C23H23O8NBr ([M+H]+) 520.0602, found 520.0594.
Data for IIIb: Yield = 49%, white solid, m.p. 148–149 °C, [α]20D = −116 (c 3.0 mg/mL, CHCl3); IR cm−1 (KBr): 3058, 2933, 1726, 1482, 1229, 1106; 1H NMR (500 MHz, CDCl3) δ: 7.42 (s, 1H, H-5), 6.54 (s, 1H, H-8), 6.17 (s, 1H, H-6′), 5.99 (dd, J = 10.5, 1.0 Hz, 2H, OCH2O), 5.41 (d, J = 6.5 Hz, 1H, H-1), 4.81–4.84 (m, 1H, H-11), 4.09–4.17 (m, 2H, CO2CH2CH3), 3.92–3.96 (m, 1H, H-11), 3.88 (s, 3H, OCH3), 3.85 (s, 3H, OCH3), 3.78–3.82 (m, 1H, H-3), 3.64 (s, 3H, OCH3), 3.25 (dd, J = 12.5, 6.0 Hz, 1H, H-2), 1.18 (t, J = 7.0 Hz, 3H, CO2CH2CH3); HRMS m/z calcd for C24H25O8NBr ([M+H]+) 534.0758, found 534.0749.
Data for IIIc: Yield = 47%, white solid, m.p. 129–130 °C, [α]20D = −109 (c 2.3 mg/mL, CHCl3); IR cm−1 (KBr): 3072, 2938, 1727, 1481, 1226, 1107; 1H NMR (500 MHz, CDCl3) δ: 7.42 (s, 1H, H-5), 6.54 (s, 1H, H-8), 6.16 (s, 1H, H-6′), 5.99 (dd, J = 10.0, 1.0 Hz, 2H, OCH2O), 5.39 (d, J = 6.0 Hz, 1H, H-1), 4.79–4.82 (m, 1H, H-11), 4.11–4.18 (m, 1H, H-11), 4.01–4.05 (m, 1H, CO2CH2CH2CH2CH3), 3.85–3.89 (m, 7H, 2 × OCH3, CO2CH2CH2CH2CH3), 3.78–3.82 (m, 1H, H-3), 3.64 (s, 3H, OCH3), 3.26 (dd, J = 12.5, 6.0 Hz, 1H, H-2), 1.46–1.58 (m, 2H, CO2CH2CH2CH2CH3), 1.26–1.30 (m, 2H, CO2CH2CH2CH2CH3), 0.90 (t, J = 7.0 Hz, 3H, CO2CH2CH2CH2CH3); HRMS m/z calcd for C26H29O8NBr ([M+H]+) 562.1071, found 562.1057.
General procedure for synthesis of oxime sulfonates of 2′(2′,6′)-(di)halogenopodophyllones (IVa–c; Va–c; and VIb,c)
To a stirred solution of NaH (1.4 mmol) in dry THF (8 mL) at −15 °C was slowly added compound 13, 14, or 15 (0.2 mmol). After addition, the reaction mixture was stirred at −15 °C for 0.5 h. Then, the corresponding sulfonyl chlorides (0.8 mmol) were added to the above mixture. After adding, the reaction temperature was raised from −15 °C to room temperature. When the reaction mixture was complete, checked by TLC analysis, saturated aq. NaHCO3 (15 mL) was added to the mixture, which was extracted with DCM (3 × 30 mL). The combined organic phase was dried over anhydrous Na2SO4, filtered, concentrated under reduced pressure, and purified by PTLC to give compounds IVa–c; Va–c; and VIb,c in 43–72% yields. The example data of IVa; Va; and VIb are listed as follows, whereas data of IVb,c; Vb,c; and VIc can be found in the Supporting Information.
Data for IVa: Yield = 58%, white solid, m.p. 110–111 °C, [α]20D = 5.5 (c 2.8 mg/mL, CHCl3): IR cm−1 (KBr): 3066, 2931, 1778, 1484, 1398, 1194, 1035, 759, 722; 1H NMR (500 MHz, CDCl3) δ: 8.02–8.04 (m, 2H, Ar-H), 7.60–7.63 (m, 3H, Ar-H), 7.14 (s, 1H, H-5), 6.71 (s, 1H, H-8), 6.03 (s, 2H, OCH2O), 5.76 (s, 1H, H-6′), 5.07 (d, J = 2.0 Hz, 1H, H-1), 4.52–4.55 (m, 1H, H-11), 4.32 (d, J = 10.0 Hz, 1H, H-11), 3.92 (s, 3H, OCH3), 3.88–3.91 (m, 1H, H-3), 3.84 (s, 3H, OCH3), 3.36 (s, 3H, OCH3), 3.41 (dd, J = 8.5, 2.0 Hz, 1H, H-2); HRMS m/z calcd for C28H25O10NClS ([M+H]+) 602.0882, found 602.0877.
Data for Va: Yield = 45%, white solid, m.p. 107–108 °C, [α]20D = 26 (c 3.0 mg/mL, CHCl3) δ: IR cm−1 (KBr): 3067, 2936, 1780, 1481, 1377, 1193, 1021, 722, 686; 1H NMR (500 MHz, CDCl3) δ: 8.05–8.07 (m, 2H, Ar-H), 7.60–7.73 (m, 3H, Ar-H), 7.32 (s, 1H, H-5), 6.20 (s, 1H, H-8), 5.99 (dd, J = 10.5, 1.0 Hz, 2H, OCH2O), 5.22 (d, J = 10.0 Hz, 1H, H-1), 4.95–4.98 (m, 1H, H-11), 4.21–4.26 (m, 1H, H-11), 3.98 (s, 3H, OCH3), 3.87–3.94 (m, 7H, 2 × OCH3 and H-3), 3.49–3.52 (m, 1H, H-2); HRMS m/z calcd for C28H24O10NCl2S ([M+H]+) 636.0492, found 636.0475.
Data for VIb: Yield = 44%, yellow solid, m.p. 111–112 °C, [α]20D = 22 (2.9 mg/mL, CHCl3); IR cm−1 (KBr): 3083, 2933, 1781, 1483, 1390, 1194, 1035, 818; 1H NMR (500 MHz, CDCl3) δ: 7.92 (d, J = 8.5 Hz, 2H, Ar-H), 7.40 (d, J = 8.5 Hz, 2H, Ar-H), 7.15 (s, 1H, H-5), 6.71 (s, 1H, H-8), 6.02 (s, 2H, OCH2O), 5.81 (s, 1H, H-6′), 5.08 (d, J = 2.5 Hz, 1H, H-1), 4.50–4.54 (m, 1H, H-11), 4.31 (d, J = 10.0 Hz, 1H, H-11), 3.91 (s, 3H, OCH3), 3.86–3.89 (m, 1H, H-3), 3.84 (s, 3H, OCH3), 3.42 (dd, J = 8.5, 2.5 Hz, 1H, H-2), 3.36 (s, 3H, OCH3), 2.49 (s, 3H, CH3); HRMS m/z calcd for C29H27O10NBrS ([M+H]+) 660.0534, found 660.0516.
Biological assay
The pesticidal activity of 1;4–12; Ia–c,e–g; IIa–f; IIIa–g; IVa–c; Va–c; VIb; and VIc was tested as the mortality rate values by using the leaf-dipping method28, against the pre-third-instar larvae of Mythimna separata. For each compound, 30 pre-third-instar larvae (10 larvae per group) were used. Acetone solutions of 1;4–12; Ia–c,e–g; IIa–f; IIIa–g; IVa–c; Va–c; VIb; VIc; and toosendanin (a positive control) were prepared at 1 mg/mL. Fresh wheat leaf discs (1 × 1 cm) were dipped into the corresponding solution for 3 s, then taken out and dried. Leaf discs treated with acetone alone were used as a blank control group. Several pieces of treated leaf discs were kept in each dish (10 larvae per dish), which was then placed in a conditioned room (25 ± 2 °C, 65–80% relative humidity, 12 h/12 h (light/dark) photoperiod). If the treated leaf discs were consumed, additional treated ones were added to the dish. After 48 h, untreated fresh leaves were added to all dishes till the end of pupae. The corrected mortality rate values were obtained by the formula:

where T is the mortality rate in the group treated with the tested compounds, and C is the mortality rate in the blank control group (T and C were all expressed as the percentage).
Results and Discussion
As shown in Fig. 2, 2′-chloropodophyllotoxin (4), 2′,6′-dichloropodophyllotoxin (5), and 2′-bromopodophyllotoxin (6) were firstly obtained as described previously28. Then, 2′(2′,6′)-(di)halogenopodophyllones (7–9) were easily obtained by oxidation of 4–6, respectively. Subsequently, when compounds 7–9 reacted with hydroxylamine hydrochloride, 2′(2′,6′)-(di)halogeno-isoxazolopodophyllic acids (10–12) and oximes of 2′(2′,6′)-(di)halogenopodophyllones (13–15) were all produced. However, in our previous paper, when 2′(2′,6′)-(di)chloropicropodophyllones reacted with hydroxylamine hydrochloride, only oximes of 2′(2′,6′)-(di)chloropicropodophyllotoxin were afforded24. It indicated that when 2′(2′,6′)-(di)halogenopodophyllones or 2′(2′,6′)-(di)chloropicropodophyllones reacted with hydroxylamine hydrochloride, the desired products were related with the configuration of their lactones. Finally, as shown in Fig. 3, 2′(2′,6′)-(di)halogeno-isoxazolopodophyllic acids-based esters (Ia–c,e–g; IIa–f; and IIIa–g) were prepared by the reaction of 10–12 with different alcohols in the presence of DCC and DMAP, and well characterized by 1H NMR, HRMS, optical rotation, mp and IR. Especially three single-crystal structures of Ie, IIe and IIIb were determined by X-ray crystallography as illustrated in Figs 4, 5, 6, respectively. It showed that the chlorine atom of Ie was at the C-2′ position; two chlorine atoms of IIe was at the C-2′ and C-6′ position; the bromine atom of IIIb was at the C-2′ position. Meanwhile, the two hydrogen atoms at C-2 and C-3 position of Ie, IIe and IIIb were all in β and α configuration, respectively. Crystallographic data (excluding structure factors) for the structures of Ie, IIe and IIIb have been deposited at the Cambridge Crystallographic Data Centre with supplementary publication number CCDC 1482635, 1482788, and 1482789, respectively. Copies of the data can be obtained, free of charge, on application to CCDC, 12 Union Road, Cambridge CB2 1EZ, UK [fax: +44 (0)1223 336033 or e-mail: deposit@ccdc.cam.ac.uk].
On the other hand, as described in Fig. 7, oxime sulfonates of 2′(2′,6′)-(di)halogenopodophyllones (IVa–c; Va–c; and VIb,c) were smoothly obtained by reaction of 13–15 with the corresponding sulfonyl chlorides. Their structures were well characterized by 1H NMR, HRMS, optical rotation, mp and IR.
As shown in Table 1, the insecticidal activity of 1;4–12; Ia–c,e–g; IIa–f; IIIa–g; IVa–c; Va–c; VIb; and VIc against the pre-third-instar larvae of M. separata in vivo was evaluated at a concentration of 1 mg/mL. The corresponding mortality rates after 35 days were higher than those after 10 and 20 days. For example, the mortality rate of compound IIc against M. separata after 35 days was 62.0%, whereas the mortality rates of IIc against M. separata after 10 and 20 days were 16.7% and 36.7%, respectively. It suggested that these podophyllotoxin compounds showed delayed insecticidal activity24,28. Meanwhile, the symptoms of the treated M. separata were observed in the same way as our previous reports24,28. As shown in Fig. 8, many larvae of the treated groups died slowly during the larval stage; as shown in Fig. 9, some malformed pupae of the treated groups also appeared and died during the pupation stage; some malformed moths with imperfect wings also appeared in the treated groups (Fig. 10).
Among all derivatives, compounds 4; 5; 7; 9; 11; Ia; Ic; If; IIa–f; IIIb; IIIc; IIIe; IIIf; IVb; IVc; Va–c; VIb; and VIc exhibited equal or higher insecticidal activity than toosendanin. Compounds IIc and Vc, especially, showed the highest insecticidal activity. For example, the final mortality rates (FMRs) of IIc and Vc were 62.0%, and 65.2%, respectively. Introduction of a halogen atom on the E ring of podophyllotoxin/podophyllotoxone was important for the insecticidal activity. For example, FMRs of 4 (containing a 2′-chlorine atom), 5 (containing two 2′,6′-dichlorine atoms) and 6 (containing a 2′-bromine atom) were 44.8%, 51.7%, and 41.4%, respectively; whereas the FMR of 1 was only 34.5%. FMRs of 7 (containing a 2′-chlorine atom), 8 (containing two 2′,6′-dichlorine atoms) and 9 (containing a 2′-bromine atom) were 44.8%, 51.7%, and 41.4%, respectively; whereas the FMR of podophyllotoxone was only 17.2%29. In general, 2′,6′-dichloro-isoxazolopodophyllic acids-based esters exhibited more potent insecticidal activities than those of the corresponding 2′-chloro/bromo-isoxazolopodophyllic acids-based ones. For example, FMRs of IIa–c,e,f were 55.2%, 55.2%, 62.0%, 44.8% and 55.2%, respectively; whereas FMRs of Ia–c,e,f were 44.8%, 37.9%, 44.8%, 37.9% and 44.8%, respectively. To oxime sulfonates of 2′(2′,6′)-(di)halogenopodophyllones (IVa–c; Va–c; and VIb,c), introduction of a bromine atom on the phenyl ring of the sulfonate moiety led to more potent compounds than those containing methyl or hydrogen ones (IVc vs IVa and IVb; Vc vs Va and Vb; VIc vs VIb).
Conclusion
In summary, a series of 2′(2′,6′)-(di)halogeno-isoxazolopodophyllic acids-based esters and oxime sulfonates of 2′(2′,6′)-(di)halogenopodophyllones were prepared, and evaluated for their insecticidal activity against the pre-third-instar larvae of M. separata in vivo. It suggested that when 2′(2′,6′)-(di)halogenopodophyllones or 2′(2′,6′)-(di)chloropicropodophyllones reacted with hydroxylamine hydrochloride, the desired products were determined by the configuration of their lactones. Three key single-crystal structures of Ie, IIe and IIIb were confirmed by X-ray crystallography.
Among all derivatives, especially compounds IIc and Vc showed the highest insecticidal activity. Moreover, some interesting results of structure-insecticidal activity relationships of tested compounds were also observed. This will pave the way for further design and structural modifications of podophyllotoxin derivatives as insecticidal agents.
Additional Information
How to cite this article: Yu, M. et al. Design, Synthesis and Evaluation of Novel Isoxazolines/Oxime Sulfonates of 2′(2′,6′)-(Di)Chloropodophyllotoxins as Insecticidal Agents. Sci. Rep. 6, 33062; doi: 10.1038/srep33062 (2016).
References
Jiang, X. F., Zhang, L., Cheng, Y. X. & Luo, L. Z. Novel features, occurrence trends and economic impact of the oriental armyworm, Mythimna separata (Walker) in China. Chin. J. Appl. Entomol. 51, 1444–1449 (2014).
Li, F. B. et al. Complete mitochondrial genome of the oriental armyworm Mythimna separata (Walker) (Lepidoptera: Noctuidae). Mitochondrial DNA 26, 881–882 (2015).
Afzal, M. B. S. & Shad, S. A. Genetic analysis, realized heritability and synergistic suppression of indoxacarb resistance in Phenacoccus solenopsis Tinsley (Homoptera: Pseudococcidae). Crop Prot. 84, 62–68 (2016).
Kanga, L. H. B., Eason, J., Haseeb, M., Qureshi, J. & Stansly, P. Monitoring for insecticide resistance in Asian Citrus Psyllid (Hemiptera: Psyllidae) populations in Florida. J. Econom. Entomol. 109, 832–836 (2016).
Barros-Rios, J., Santiago, R., Jung, H. J. G. & Malvar, R. A. Covalent cross-linking of cell-wall polysaccharides through esterified diferulates as a maize resistance mechanism against corn borers. J. Agric. Food Chem. 63, 2206–2214 (2015).
Itokawa, K., Komagata, O., Kasai, S., Ogawa, K. & Tomita, T. Testing the causality between CYP9M10 and pyrethroid resistance using the TALEN and CRISPR/Cas9 technologies. Sci. Rep. 6, 24652 (2016).
Seong, K. M. & Sun, W., Clark, J. M. & Pittendrigh, B. R. Splice form variant and amino acid changes in MDR49 confers DDT resistance in transgenic Drosophila. Sci. Rep. 6, 23355 (2016).
Garzo, E. et al. Electrical penetration graph technique as a tool to monitor the early stages of aphid resistance to insecticides. Pest Manage. Sci. 72, 707–718 (2016).
Seiber, J. N., Coats, J., Duke, S. O. & Gross, A. D. Biopesticides: state of the art and future opportunities. J. Agric. Food Chem. 62, 11613–11619 (2014).
Qu, H., Lv, M., Yu, X., Lian, X. & Xu, H. Discovery of some piperine-based phenylsulfonylhydrazone derivatives as potent botanically narcotic agents. Sci. Rep. 5, 13077 (2015).
Zuo, Y. et al. Synthesis, herbicidal activity, and QSAR of novel N-benzothiazolyl-pyrimidine-2,4-diones as protoporphyrinogen oxidase inhibitors. J. Agric. Food Chem. 64, 552–562 (2016).
Engstrom, M. T. et al. Chemical structures of plant hydrolyzable tannins reveal their in vitro activity against egg hatching and motility of haemonchus contortus nematodes. J. Agric. Food Chem. 64, 840–851 (2016).
Song, Q. Y. et al. Antifungal, phytotoxic, and cytotoxic activities of metabolites from Epichloe bromicola, a fungus bbtained from Elymus tangutorum grass. J. Agric. Food Chem. 63, 8787–8792 (2015).
Prasifka, J. R. et al. Sesquiterpene lactone composition of wild and cultivated sunflowers and biological activity against an insect pest. J. Agric. Food Chem. 63, 4042–4049 (2015).
Song, H. J. et al. Design, synthesis, anti-TMV, fungicidal, and insecticidal activity evaluation of 1,2,3,4-tetrahydro-β-carboline-3-carboxylic acid derivatives based on virus inhibitors of plant sources. Bioorg. Med. Chem. Lett. 24, 5228–5233 (2014).
Cao, J., Adler, B. & Perlmutter, P. Synthesis and evaluation of antibacterial activity of (R)-2-methylheptyl isonicotinate, a putative naturally occurring bioactive agent. Bioorg. Med. Chem. Lett. 25, 5025–5027 (2015).
Lv, M. & Xu, H. Recent advances in semisynthesis, biosynthesis, biological activities, mode of action, and structure-activity relationship of podophyllotoxins: an update (2008–2010). Mini-Rev. Med. Chem. 11, 901–909 (2011).
Abrams, J. N., Zhao, Q. & Ghiviriga, I. & Minaruzzaman. Palladium(II)-catalyzed enyne cyclization strategies toward the podophyllotoxin ring system. Tetrahedron 68, 423–428 (2012).
Takahashi, M., Suzuki, N. & Ishikawa, T. Enantioselective formal synthesis of (−)-podophyllotoxin from (2S,3R)-3-arylaziridine-2-carboxylate. J. Org. Chem. 78, 3250–3261 (2013).
Ting, C. P. & Maimone, T. J. C–H bond arylation in the synthesis of aryltetralin lignans: a short total synthesis of podophyllotoxin. Angew. Chem. Int. Ed. 53, 3115–3119 (2014).
Fan, L. L., Guo, Y., Zhi, X. Y., Yu, X. & Xu, H. Stereoselective synthesis of 2α-chloropicropodophyllotoxins and insecticidal activity of their esters against oriental armyworm, Mythimna separata Walker. J. Agric. Food Chem. 62, 3726–3733 (2014).
Shankaraiah, N. et al. One-pot synthesis of podophyllotoxin–thiourea congeners by employing NH2SO3H/NaI: anticancer activity, DNA topoisomerase-II inhibition, and apoptosis inducing agents. Bioorg. Med. Chem. Lett. 25, 4239–4244 (2014).
Dunlap, N. et al. Synthesis and evaluation of ether-linked demethylepipodophyllotoxin dimmers. Bioorg. Med. Chem. Lett. 24, 5627–5629 (2014).
Wang, R., Zhi, X. Y., Li, J. & Xu, H. Synthesis of novel oxime sulfonate derivatives of 2′(2′,6′)-(di)chloropicropodophyllotoxins as insecticidal agents. J. Agric. Food Chem. 63, 6668–6674 (2015).
Xu, H. & He, X. Q. Natural products-based insecticidal agents 6. design, semisynthesis, and insecticidal activity of novel monomethyl phthalate derivatives of podophyllotoxin against Mythimna separata Walker in vivo. Bioorg. Med. Chem. Lett. 20, 4503–4506 (2010).
Hu, H., Liu, S. Y., Cheng, Y. C., Lee, K. H. & Wang Z. Q. Antitumor agents. 123. Synthesis and human DNA topoisomerase II inhibitory activity of 2′-chloro derivatives of etoposide and 4β-(arylamino)-4′-O-demethylpodophyllotoxins. J. Med. Chem. 35, 866–871 (1992).
Che, Z. P., Yu, X., Fan, L. L. & Xu, H. Insight into dihalogenation of E-ring of podophyllotoxins, and their acyloxyation derivatives at the C4 position as insecticidal agents. Bioorg. Med. Chem. Lett. 23, 5592–5598 (2013).
Che, Z. P., Yu, X., Zhi, X. Y., Fan, L. L. & Xu, H. Synthesis of novel 4α-(acyloxy)-2′(2′,6′)-(di)halogenopodophyllotoxin derivatives as insecticidal agents. J. Agric. Food Chem. 61, 8148–8155 (2013).
Wang, Y. et al. Synthesis and quantitative structure-activity relationship (QSAR) study of novel isoxazoline and oxime derivatives of podophyllotoxin as insecticidal agents. J. Agric. Food Chem. 60, 8435–8443 (2012).
Acknowledgements
The present research was partly supported by National Natural Science Foundation of China (No. 31071737), and Special Funds of Central Colleges Basic Scientific Research Operating Expenses (No. 2452015096).
Author information
Authors and Affiliations
Contributions
M.Y., G.L. and Y.Z. performed experiments, and analysed data; T.F. and M.X. analysed data; H.X. designed experiments, analysed data and wrote the manuscript.
Ethics declarations
Competing interests
The authors declare no competing financial interests.
Electronic supplementary material
Rights and permissions
This work is licensed under a Creative Commons Attribution 4.0 International License. The images or other third party material in this article are included in the article’s Creative Commons license, unless indicated otherwise in the credit line; if the material is not included under the Creative Commons license, users will need to obtain permission from the license holder to reproduce the material. To view a copy of this license, visit http://creativecommons.org/licenses/by/4.0/
About this article
Cite this article
Yu, M., Liu, G., Zhang, Y. et al. Design, Synthesis and Evaluation of Novel Isoxazolines/Oxime Sulfonates of 2′(2′,6′)-(Di)Chloropodophyllotoxins as Insecticidal Agents. Sci Rep 6, 33062 (2016). https://doi.org/10.1038/srep33062
Received:
Accepted:
Published:
DOI: https://doi.org/10.1038/srep33062












