Abstract
To achieve the rational design of nanostructures for superior gas sensors, the ultrasmall nanoparticles (NPs) loaded on ternary metal oxide (TMO) hollow spheres (HS) were synthesized by using the polystyrene (PS) sphere template and bimetallic metal-organic framework (BM-MOFs) mold. The zinc and cobalt based zeolite imidazole frameworks (BM-ZIFs) encapsulating ultrasmall Pd NPs (2–3 nm) were assembled on PS spheres at room temperature. After calcination at 450 °C, these nanoscale Pd particles were effectively infiltrated on the surface of ZnO/ZnCo2O4 HSs. In addition, the heterojunctions of Pd-ZnO, Pd-ZnCo2O4, and ZnO-ZnCo2O4 were formed on each phase. The synthesized Pd-ZnO/ZnCo2O4 HSs exhibited extremely high selectivity toward acetone gas with notable sensitivity (S = 69% to 5 ppm at 250 °C). The results demonstrate that MOF driven ultrasmall catalyst loaded TMO HSs were highly effective platform for high performance chemical gas sensors.
Similar content being viewed by others
Introduction
Metal oxides, such as SnO2, WO3, ZnO, TiO2 and Co3O4 based chemiresistive gas sensors have attracted great attention for applications in the detection of volatile organic compounds due to their low cost, real-time detection, and portability1,2. However, the low selectivity is still a big obstacles for metal oxide based gas sensors, because they are operated by the surface reaction of the target gas with the sensing materials. According to the reported literature so far, the highly effective ways to improve the performance of metal oxide based gas sensors are to increase the surface area and functionalizing the catalyst3,4. To increase the reaction sites, hollow nanostructures have attracted much attention due to their high surface area and gas permeability5,6,7. In addition, the noble metals such as Pd, Pt, and Au have been commonly used for the catalytic sensitization of chemical gas sensors8,9. However, it is still challenging to detect an analyte gas with high accuracy in highly humid atmosphere. To utilize the early diagnosis of disease, the sensor should detect the biomarker gas with high humidity in exhaled breath under sub-ppm level10. For example, the concentration of acetone which is a known biomarker gas for diabetes, is increased to 1.8 parts per million (ppm) in breath of diabetes patients, comparing with that (0.3–0.9 ppm) of healthy human11. To achieve the highly accurate detection of biomarker gas in exhaled breath with outstanding selectivity and superior sensitivity, the new sensing materials having high surface area and ultrasmall catalyst should be investigated.
Recently, metal-organic frameworks (MOFs), synthesized by assembly of metal ions and organic ligands, have received great attention due to their fascinating properties such as ultra-high surface area, incredibly high porosity, and diverse structures12,13,14. To facilitate these advantages of MOFs, a number of researchers have attempted to explore various applications, including catalysis15, drug delivery16, energy device17, and gas adsorption and storage18,19,20. Among various structure of MOFs, MOF based hollow spheres (HSs) have attracted broad interest because of their distinctive features such as high surface area, high gas permeability, low density, and high loading capacity21. Lee et al. synthesized hollow zeolite imidazole framework (ZIF) microspheres using polystyrene (PS) microsphere templates which were finally removed by organic solvent such as dimethylformamide22. Zhang et al. reported hollow ZIF nanospheres using PS sphere template as a highly efficient catalyst for cycloaddition reactions23. Besides, a number of researchers have been interested in MOF based HS as a catalyst24,25,26. However, the study of MOF based HS is still in infancy due to the limiting factors such as poor chemical stability, a micrometer size range, a wide size distribution, a simple shell architecture, and uncertain shapes.
One of the remarkable advantages of the MOF is its unique infiltration property of nanoscale metal particles. In other words, noble metal nanoparticles (NPs) can be encapsulated in the cavity of the MOF27,28. The growth of noble metal NPs was suppressed to less than the pore size by embedding them in the MOF, thereby limiting the particle size under 10 nm. These ultrasmall NPs are well-distributed in the cavities of MOFs, and they can create NP network in MOF. Therefore, a number of researchers have attempted to utilize the ultrasmall NPs in the MOF. Hermes et al. reported metal loaded MOF-5 as a catalyst for cyclooctene hydrogenation and CO oxidation by infiltrating of metal atoms using metal organic chemical vapor deposition27. Lu et al. suggested the NP encapsulation in the cavity of ZIF-8 using polymer surfactants to control the size, shape and composition of NPs, and they investigated the catalytic activity of Pt or Au loaded ZIF-8 as a hydrogenation catalyst28. Although some papers have been reported for various applications of metal loaded MOF, the application of the NP encapsulated MOF has not been explored in metal oxide based chemical gas sensors.
Herein, we suggest MOF derived ultrasmall catalyst loaded ternary metal oxide (TMO) HS structure from bi-metallic ZIF (BM-ZIF) with the PS sacrificial templates. As a template, the MOF based HSs containing ultrasmall NPs are calcined in air to synthesize metal oxide based sensing materials. As previously reported, the BM-ZIF can be oxidized to TMO by the calcination29. In addition, the organic ligands of MOFs and PS spheres are decomposed during the calcination, which lead to the creation of meso- and macro-pores in the surface of TMO HSs. Furthermore, ultrasmall NPs are well-distributed in the TMO HSs. Therefore, the MOF templated ultrasmall catalyst loaded TMO HSs have powerful advantages such as large reaction sites, high gas permeability, and high catalytic activities, which are crucial properties for the development of superior gas sensors. To utilize these benefits of the novel structure and expand the application of MOF, we propose the ultrasmall Pd catalyst loaded ZnO/ZnCo2O4 HSs (Pd-ZnO/ZnCo2O4 HSs) from Zn and Co based BM-ZIF template. The hollow structure synthesized by PS template can provide easy diffusion of analytic gases and the surface reaction in the inside/outside of sensing materials, resulting in the improvement of the chemical gas sensing performances. In addition, the ternary spinel ZnCo2O4 has more hole concentrations than spinel Co3O4, which leads to the increase in resistance change30. Moreover, the creation of the heterojunction by intentionally separating ZnO phase in the final product can improve the sensing performance by additional resistance changes in sensing materials. Furthermore, the well-dispersed and ultrasmall Pd NPs in TMO HSs can fully utilize the catalytic reactions and significantly enhance the sensing characteristics. To the best of our knowledge, this unique structure derived by MOFs has not yet been reported.
Results and Discussion
Synthesis of Pd-ZnO/ZnCo2O4 HSs
Figure 1a illustrates the synthetic process of Pd-ZnO/ZnCo2O4 HSs by using PS and MOF templates. Firstly, PS spheres were dispersed in methanol (MeOH). Then, Co and Zn precursors were added in the solution. The positively charged Co and Zn ions were easily coated on the surface of PS spheres due to the negative charge on the PS sphere31. After the solution was mixed for 30 min, the 2-methylimidazole (Hmin), which is an organic ligand, dissolved in MeOH solution was added to the mixture solution. Through the precipitation at the room temperature (RT), the BM-ZIFs were grown on the surface of the PS spheres32. After purification of BM-ZIFs on PS sphere (BM-ZIF/PS), Pd catalysts were encapsulated in the cavity of BM-ZIF by infiltration method in solution, and reduced by NaBH4 reduction33. Finally, these Pd-encapsulated BM-ZIF/PSs (Pd-BM-ZIF/PSs) were calcined at 450 °C for 1 h, which generates the Pd-ZnO/ZnCo2O4 HSs.
The scanning electron microscopy (SEM) analysis was performed to investigate the morphology and structure of Pd-ZnO/ZnCo2O4 HSs. The diameter of PS sphere used in the experiment was 1 μm (Fig. 1b). After RT precipitation process, BM-ZIFs were uniformly coated on the PS sphere, and the size of BM-ZIF was confirmed to be about 100 nm (Fig. 1c and d). To convince the formation of BM-ZIF/PS, powder X-ray diffraction (PXRD) and N2 adsorption/desorption analysis were also investigated (Fig. S1). The PXRD patterns of BM-ZIF/PSs are well-matched with the simulated peaks of BM-ZIFs. In addition, the N2 adsorption analysis exhibited micro-porous structure with high surface area (1147 m2/g). After Pd encapsulation, there were no significant changes in the SEM images (Fig. 1e). Because the size of the settled Pd NPs in the BM-ZIF was determined as ultrasmall (2–3 nm)33, it could not be analyzed using SEM. The Pd-BM-ZIFs enclosed the surface of PS spheres act as templates, so that it is possible to synthesize HS structure after high-temperature heat-treatment. Moreover, the BM-ZIFs are oxidized to ZnO and ZnCo2O4 during the calcination at 450 °C. As a result, the ZnO/ZnCo2O4 HSs were synthesized, and ultrasmall Pd NPs were functionalized on the ZnO/ZnCo2O4 matrix. The organic compounds of BM-ZIFs and PS spheres were decomposed during the calcination process. Therefore, the size of Pd-ZnO/ZnCo2O4 HSs was reduced to 400 nm (Fig. 1f). In addition, the meso-pores were created on the Pd-ZnO/ZnCo2O4 HSs during the decomposition of the organic ligands in the BM-ZIF (Fig. S2). Moreover, the macro-pores were also generated on the surface of the Pd-ZnO/ZnCo2O4 HSs (Fig. 1g). These macro-pores were formed at a certain position where BM-MOF is not densely grown on the PS sphere. The meso- and macro-pores in the Pd-ZnO/ZnCo2O4 HSs not only increase surface area, but also facilitate gas diffusion inside of the product4. As a result, it is possible to provide a large reaction site in case of hollow spheres. However, the existence of Pd NPs was not confirmed in the SEM images of Pd-ZnO/ZnCo2O4 HSs.
In order to confirm the presence of the ultrasmall Pd NPs in the BM-ZIF/PSs, we conducted transmission electron microscopy (TEM) analysis using Pd-BM-ZIF/PSs. The TEM image of Pd-BM-ZIF/PS revealed that Pd-BM-ZIFs were densely surrounded on the PS sphere (Fig. 2a). In high resolution TEM (HRTEM) of Pd-BM-ZIF/PS, the small black spheres presumed to Pd NPs were presented in the surface of BM-ZIF (Fig. 2b). Pd2+ ions were diffused into the cavities of BM-ZIF in the solution, where most of Pd NPs were settled on the surface of BM-ZIF. In further magnified image, the Pd NPs were confirmed with the crystal plane of Pd (111) (Fig. 2c). Surprisingly, the size of Pd NPs in the BM-ZIF/PS was identified as about 2–3 nm. To concretely verify the existence of Pd NPs, energy dispersive X-ray spectroscopy (EDS) analysis was carried out by TEM at purple sphere point in Fig. 2d. Pd and other basic elements of BM-ZIF/PS were detected by EDS point analysis (Fig. 2e). In addition, EDS elemental mapping images show that the Pd-BM-ZIF, consisted of C, N, Zn, and Co, was well-grown on the PS sphere and the Pd NPs were well-dispersed in the Pd-BM-ZIF/PS (Fig. 2f).
Thermal gravimetric analysis (TGA) of Pd-ZnO/ZnCo2O4 HSs was conducted to investigate the thermal behavior of Pd-BM-ZIF/PS and the thermal decomposition of organic molecules (Fig. S3). At first, there was a noticeable weight loss at 280 °C. This weight degradation is related to the decomposition of PS spheres because PS spheres are normally decomposed in the temperature range of 200–450 °C34. At 350 °C, there was the additional decrease of weight due to the burning-out of organic molecules in BM-ZIF, consistent with a previous study of thermal behavior of BM-ZIF19. The TGA results reveal that the calcination process at 450 °C for 1 h in air is enough to eliminate the organic compounds and PS spheres in Pd-BM-ZIF/PSs.
After calcination at 450 °C for 1 h, the TEM analysis was also investigated to clearly observe the structure of the Pd-ZnO/ZnCo2O4 HSs. The Pd-ZnO/ZnCo2O4 synthesized by the PS sphere and BM-ZIF templates exhibited highly porous hollow sphere structures (Fig. 3a). As discussed in Fig. 2, there were a number of meso- and macro-pores in Pd-ZnO/ZnCo2O4 HSs. In the dark field scanning TEM (STEM) images, numerous pores were noticeably observed (Fig. 3b). In addition, the thickness of the wall in Pd-ZnO/ZnCo2O4 HSs was confirmed as about 35 nm. Moreover, the HRTEM image reveals the (311), (110), and (101) crystal plane of ZnCo2O4 (spinel), ZnO (hexagonal), and PdO (tetragonal), respectively, which correspond to lattice distance of 2.44 Å, 1.91 Å, and 2.64 Å (Fig. 3c). Furthermore, the size of PdO NPs was determined to be 2–3 nm. Selective area electron diffraction (SAED) patterns show the polycrystalline ZnCo2O4 HSs with the (111), (220), (311), and (400) crystal plane (Fig. 3d). In addition, the crystal plane of ZnO (110) and PdO (101) were displayed in the SAED pattern. The SAED patterns of PdO were weak due to the low concentration of PdO in the Pd-ZnO/ZnCo2O4 HSs. To further identify the presence of the Pd NPs in the Pd-ZnO/ZnCo2O4 HSs, we performed EDS elemental mapping analysis by TEM (Fig. 3e). The EDS mapping images demonstrate that Pd were properly distributed in the Pd-ZnO/ZnCo2O4 HSs. These ultrasmall and well-dispersed Pd NPs can promote the surface reaction on ZnO/ZnCo2O4 HSs.
Microstructure and chemical analysis of Pd-ZnO/ZnCo2O4 HSs
The crystal structure of Pd-ZnO/ZnCo2O4 HSs was investigated by PXRD analysis (Fig. 3f). We synthesized the ZnCo2O4 HSs as a control sample to demonstrate the ZnO phase separation. According to the previous article, the phase of ZnCo2O4 cubes synthesized by BM-ZIF templates changes with respect to the molar ratio of Zn and Co in the BM-ZIF29. In case of the molar ratio of Zn and Co for 1:3, ZnCo2O4 cubes exhibited pure ZnCo2O4 spinel structure. If the molar ratio of Zn to Co was 1:2, the hexagonal ZnO phase was separated because the Zn atoms were not incorporated into the Co3O4 lattice. Therefore, in the same way, we can synthesize pure ZnCo2O4 HSs and ZnO/ZnCo2O4 HSs by controlling the molar ratio of Zn and Co in BM-ZIF. As a result, the BM-ZIF/PS which Zn/Co molar ratio was 0.33 are converted to pure ZnCo2O4 spinel structure (JCPDS no. 23–1390). On the contrary, when the molar ratio of Zn/Co was changed to 0.5, the calcined products show the major spinel phase of ZnCo2O4 with the secondary phase of hexagonal ZnO (JCPDS no. 65–3411). Similarly, the XRD peaks of Pd-ZnO/ZnCo2O4 HSs indicated strong intensity of spinel ZnCo2O4 phase and weak intensity of hexagonal ZnO phase. Unfortunately, the Pd related peaks were not observed in the XRD data because the loading amounts of Pd in Pd-ZnO/ZnCo2O4 HSs were beyond the limit of detection of XRD analysis. The XRD analysis confirms that the phase separation of ZnO has occurred on the ZnCo2O4 matrix, and forms heterojunction in Pd-ZnO/ZnCo2O4 HSs.
In addition, the chemical bonding states of Pd-ZnO/ZnCo2O4 HSs were verified by using X-ray photoelectron spectroscopy (XPS) (Fig. 4). The high resolution spectrum of Zn 2p in Pd-ZnO/ZnCo2O4 HSs exhibited two characteristic peaks of 2p1/2 and 2p3/2 at binding energies of 1021.2 eV and 1044.2 eV, corresponding to the binding energy of Zn2+ state (Fig. 4a)35. The Zn2+ state revealed that the Zn atoms in Pd-BM-ZIF/PS were oxidized to ZnO and ZnCo2O4. The Co 2p spectrum presented the dominant peaks at 779.4 eV for Co3+ 2p3/2, and at 794.8 eV for Co3+ 2p1/2 (Fig. 4b)35. In addition, the minor peaks of Co2+ 2p3/2, Co2+ 2p1/2, and satellite peaks were also observed in the high resolution spectra of Co 2p. These results are well-matched with other literatures on XPS analysis of spinel ZnCo2O435,36,37. Therefore, we clearly confirmed the formation of spinel ZnCo2O4 during the calcination. Further, oxygen peaks in O 1 s spectrum showed three oxygen states, which were located at 529.6 eV for O2− 1 s, 531.1 eV for O− 1 s, and 532.5 eV for O2− 1 s, as shown in Fig. 4c. The O2− state is related to oxygen in ZnO and ZnCo2O4, and the O− and O2− state are originated from the chemisorbed oxygen species on the surface of Pd-ZnO/ZnCo2O4 HSs35. Pd atoms loaded on BM-ZIF/PS were also oxidized to PdO and PdO2 during the heat-treatment steps. Therefore, the chemical states of Pd were Pd2+ and Pd4+, corresponding to PdO and PdO2 respectively (Fig. 4d)38.
Gas sensing characteristics
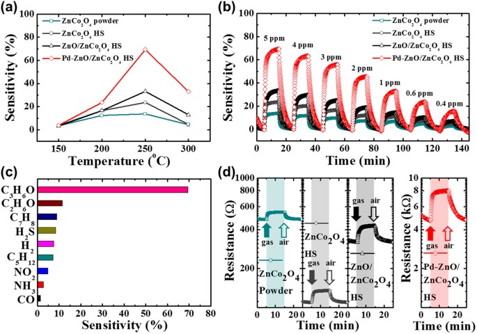
To evaluate the highly selective sensing properties of Pd-ZnO/ZnCo2O4 HSs, we prepared chemiresistive gas sensors using ZnCo2O4 powders, ZnCo2O4 HSs, ZnO/ZnCo2O4 HSs, and Pd-ZnO/ZnCo2O4 HSs. ZnCo2O4 powders were synthesized by the direct calcination of BM-ZIF as a control sample (Fig. S4). In addition, ZnCo2O4 HSs and ZnO/ZnCo2O4 HSs were prepared to demonstrate the effect of heterojunction and ultrasmall Pd NPs. The acetone gas (C3H6O), a biomarker in exhaled breath for diabetes39, sensing characteristics were investigated at a highly humid atmosphere (90% RH) to verify the potential application of early diagnosis of diabetes using exhaled breath analysis, which is a harsh sensing environment because the water vapor can decrease the sensing properties40. First of all, the sensitivity of acetone sensing was optimized toward the operating temperature (150–300 °C) and the concentration of catalyst (0.5–3.0 mg). Herein, sensitivity or response (S) was defined as (Rgas/Rair − 1) × 100. As a result, the acetone sensing response exhibited highest sensitivity at 250 °C (Fig. 5a). In addition, the Pd-ZnO/ZnCo2O4 HSs synthesized by using 2.0 mg of Pd precursors during a catalyst encapsulation step exhibited highest response in comparison with other samples (Fig. S5a). Then, the humidity effect of the sensors was investigated. The baseline resistance of Pd-ZnO/ZnCo2O4 HSs was increased at a higher humidity (Fig. S5b), because the adsorption of water vapor can donate the electrons to the sensing layers41 and these electrons are recombined with hole in the ZnCo2O4. Therefore, the hole accumulation layers decreased, leading to the decrease in the sensing properties (Fig. S5c). The dynamic acetone sensing characteristics were investigated for the concentration range of 0.4 ppm to 5 ppm at 250 °C (Fig. 5b). The Pd-ZnO/ZnCo2O4 HSs exhibited highest sensitivity (S = 69%) toward 5 ppm of acetone, while ZnCo2O4 powder (S = 14%), ZnCo2O4 HSs (S = 23%), and ZnO/ZnCo2O4 HSs (S = 33%) showed low sensitivity. In addition, Pd-ZnO/ZnCo2O4 HSs were detected at 400 ppb of acetone with noticeable sensitivity (S = 16%). The results showed that the functionalization of Pd NPs and ZnO on ZnCo2O4 HSs dramatically improved the response of acetone sensing. To investigate the selectivity of the Pd-ZnO/ZnCo2O4 HSs, we conducted additional sensing measurement toward various interfering gases such as ethanol (C2H6O), toluene (C7H8), hydrogen sulfide (H2S), hydrogen (H2), pentane (C5H12), nitrogen dioxide (NO2), ammonia (NH3), and carbon monoxide (CO) at 5 ppm level (Fig. 5c). The experimental results confirm that the Pd-ZnO/ZnCo2O4 HSs exhibited ultrahigh selectivity toward acetone (S = 69%) compared with other gases (S < 9%). Furthermore, the sensor showed stable response even during repeated measurements using Pd-ZnO/ZnCo2O4 HSs toward 5 ppm of acetone at 250 °C (Fig. S5d). The long term stability of Pd-ZnO/ZnCo2O4 HSs was also investigated by comparing the 6-month old samples with the 6-day old samples. Although the sensitivity of the sensors was decreased to 57% (Fig. S5e), the sensors showed stable sensitivity toward 5 ppm of acetone molecules during 20 cyclic measurements (Fig. S5f).
(a) Temperature dependent acetone sensing characteristics to 5 ppm in a temperature range of 150–300 °C, and (b) dynamic acetone sensing transition in the concentration range of 0.4–5 ppm at 250 °C of ZnCo2O4 powders, ZnCo2O4 HSs, ZnO/ZnCo2O4 HSs, and Pd-ZnO/ZnCo2O4 HSs. (c) selective acetone detection characteristics of Pd-ZnO/ZnCo2O4 HSs, (d) dynamic resistance transition properties of ZnCo2O4 powders, ZnCo2O4 HSs, ZnO/ZnCo2O4 HSs, and Pd-ZnO/ZnCo2O4 HSs toward 5 ppm of acetone at 250 °C.
Gas sensing mechanism
The acetone sensing mechanism of chemiresistive gas sensors was discussed in the previous articles42,43,44. When ZnCo2O4 HSs are exposed to air, the oxygen (O2) molecules are chemisorbed on the surface of ZnCo2O4 HSs and transform to O2−, O−, and O2−. As the ZnCo2O4 is a p-type semiconductor, the chemisorption of oxygen molecules deprived the electron in ZnCo2O4 and created the hole accumulation layer in the surface of the ZnCo2O4 HSs. So, when ZnCo2O4 HSs are exposed to reducing gas such as acetone, the reducing gas reacts with chemisorbed oxygen species (O2−, O−, and O2−) on the surface of the ZnCo2O4 HSs. This surface reaction causes the transfer of electron toward sensing materials, so that the hole accumulation layer of ZnCo2O4 HSs decreases. As a result, the resistance of sensing materials increases as shown in Fig. 5d.
The high sensitivity of Pd-ZnO/ZnCo2O4 HSs toward acetone gas is ascribed by several factors. Firstly, hollow sphere structure is advantageous in comparison with powder structure from the gas diffusion aspects3. In case of ZnCo2O4 powder, the volatile organic compounds are difficult to diffuse into the sensing materials. On the contrary, in case of ZnCo2O4 HS, the analytic gases are easily diffused inside and outside of the sensing materials. Therefore, ZnCo2O4 HSs exhibited higher acetone sensing response (S = 14% to 5 ppm at 250 °C) than ZnCo2O4 powders (S = 23% to 5 ppm at 250 °C) because the reaction site increased (Fig. 5b). Secondly, the formation of p-n junction in the ZnCo2O4 HS enhanced sensing properties45. The separated n-type ZnO induced p-n junction in p-type ZnCo2O4, and the recombination between the electron in ZnO and the hole in ZnCo2O4 occurred. The recombination caused the decrease of hole concentration and the formation of depletion layer (Fig. 6), which increased the resistance of ZnO/ZnCo2O4 (Fig. 5d). When acetone molecules react with chemisorbed oxygen species on the surface of ZnO/ZnCo2O4, the effects of surface reactions are displayed in a different manner45. When ZnO/ZnCo2O4 is exposed to acetone, the ZnCo2O4 gains hole and the ZnO obtains electron from the surface reaction. The obtained electrons in the ZnO can recombine with holes in the ZnCo2O4 at the interface of ZnO and ZnCo2O4. This additional recombination causes the reduction of hole concentration in ZnCo2O4. Therefore, the resistance increase of ZnO/ZnCo2O4 HSs during the surface reaction is higher than that of ZnCo2O4 HSs (Fig. 5d). Lastly, the catalytic sensitization of Pd NPs dramatically improved the sensitivity of Pd-ZnO/ZnCo2O4 HSs. Pd is a well-known catalyst in chemiresisitve gas sensors as an electronic sensitizer3,46. The Pd NPs loaded in ZnO/ZnCo2O4 HSs can be oxidized to PdO and PdO2 in air, as shown in XPS analysis. When PdO and PdO2 NPs are exposed to acetone, the PdO and PdO2 NPs are reduced to Pd by donating electron back to ZnO/ZnCo2O4 HSs (Fig. 6). In addition, the Pd catalyst can promote the surface reaction by lowering the activation energy, with the following reactions (CH3COCH3 + O− CH3COC+H2 + OH− + e− or CH3COCH3 + 2O− CH3O− + C+H3 + CO2 + 2e−)44. These additional electrons are recombined with hole in Pd-ZnO/ZnCo2O4 HSs, and the hole accumulation layer was remarkably decreased. Therefore, the acetone sensing response is dramatically increased by Pd catalyst (Fig. 5d). From the above reasons, the Pd-ZnO/ZnCo2O4 HSs exhibited high sensitivity and selectivity toward acetone. These superior chemical gas sensing results confirm the future possibility of early diagnosis of diabetes.
Conclusions
In this work, the ultrasmall Pd NPs were effectively functionalized on the TMO HSs by the templating route using PS sphere and BM-MOF. The proposed Pd-ZnO/ZnCo2O4 HSs have a high surface area and gas permeability which come from the hollow structure. In addition, heterojunctions are created in the Pd-ZnO/ZnCo2O4 HSs by intentionally separating the ZnO phase. Furthermore, the very small and well-dispersed NPs can act as an effective catalyst for the surface reaction of ZnO/ZnCo2O4 HSs. For the potential applications, the chemical sensing properties of Pd-ZnO/ZnCo2O4 HSs were evaluated, and the results confirmed the remarkable sensitivity (S = 69% to 5 ppm at 250 °C) and outstanding selectivity toward acetone. The Pd-ZnO/ZnCo2O4 HSs exhibited high sensitivity toward acetone even in low ppm (S = 16% to 0.4 ppm at 250 °C). Moreover, the Pd-ZnO/ZnCo2O4 HSs can be used for the detection of acetone gas, with high stability even after a number of trials. These results demonstrate that MOF templated ultrasmall catalyst loaded TMO HS proves the possibility of high performance chemical gas sensors. In addition, the nanostructure of the proposed design concept can be also applicable to other devices requiring a high surface area and catalytic activity, such as oxygen evolution/reduction reaction catalysts, hydrogen evolution reaction catalysts, and Li-air batteries.
Methods
Materials
Cobalt nitrate hexahydrate (Co(NO3)2·6H2O), methanol (MeOH, 99.9%), ethanol (EtOH, 99.5%), and potassium tetrachloropalladate(II) (K2PdCl4) were purchased from Sigma-Aldrich. Zinc nitrate hexahydrate (Zn(NO3)2·6H2O, 98%), and 2-methylimidazole (Hmin, 99.0%) were purchased from Aldrich. PS latex microspheres (1 μm) dispersed in deionized (DI) water were purchased from Alfa Aesar. All chemicals were used without further purification.
Synthesis of ZnCo2O4 powder
The Co and Zn based BM-ZIFs were firstly synthesized by mixing metal ions and Hmin at RT. 60 mg of Zn precursors and 180 mg of Co precursors were dissolved in 20 mL of MeOH. 540 mg of Hmin was also dissolved in 20 mL of MeOH. The solution was rapidly merged and stirred for 5 h in RT. Then, the mixed solution was purified by centrifugation and washed with EtOH. The obtained BM-ZIFs were calcined at 450 °C for 1 h with the ramping rate of 10 °C min−1.
Synthesis of ZnCo2O4 HSs and ZnO/ZnCo2O4 HSs
As a sacrificial template, 0.9 mL of DI water containing 2.5 wt% PS spheres (1 μm) was dispersed in 20 mL of MeOH. Then, 60 mg of Zn precursors and 180 mg of Co precursors were added in the PS dissolved solution. After 30 min later, 20 mL MeOH containing 540 mg of Hmin was also poured into the PS sphere solution. The mixed solution was stirred using magnetic bar and precipitated for 5 h. The BM-ZIF/PS were obtained by the purification of the mixed solution. Finally, ZnCo2O4 HSs were synthesized by the calcination of the BM-ZIF/PS at 450 °C for 1 h (10 °C min−1). To synthesize ZnO/ZnCo2O4 HSs, 90 mg of Zn precursors was dissolved in the MeOH during the synthesis process of BM-ZIF/PS. The other experimental conditions are the same.
Synthesis of Pd-ZnO/ZnCo2O4
To synthesize the Pd-ZnO/ZnCo2O4, we added the infiltration process of Pd ions before the calcination. 0.9 mL of PS sphere dispersed DI-water (2.5 wt%) and 540 mg of Hmin were dissolved separately in 20 mL MeOH. Then, 90 mg of Zn precursors and 180 mg of Co precursors were dissolved in the PS sphere solution. After 30 min, the two solutions were mixed and stirred for 5 h. The BM-ZIF/PS were purified using centrifugation and washing. The purified BM-ZIF/PS were added to 0.5–3.0 mg of K2PdCl4 dissolved DI-water (40 mL). The Pd metal ions in the cavity of BM-ZIF were reduced by NaBH4 solution (1.5 mg mL−1). Then, the Pd-BM-ZIF/PS were purified using centrifugation and washing in the same manner. Finally, Pd-ZnO/ZnCo2O4 HSs were synthesized by high-temperature heat-treatment using same calcination conditions.
Sensor fabrication and gas sensing measurement
To evaluate the sensing performance of the synthesized product, we dispersed ZnCo2O4 powders, ZnCo2O4 HSs, ZnO/ZnCo2O4 HSs, and Pd-ZnO/ZnCo2O4 HSs in EtOH, respectively. These dispersed solutions were drop-coated on the sensor substrate (Al2O3, area: 2.5 mm × 2.5 mm, thickness 0.2 mm), respectively. Two parallel Au electrodes (width: 25 μm, gap size: 70 μm) were patterned on the front side and a Pt micro-heater on the back side of the sensor substrate. Gas sensing performances were investigated toward various analytic gases in the temperature range of 150–300 °C. To stabilize the sensor, the air was injected for 10 min in the chamber. Then, the sensor was exposed to analytic gas for 10 min. The concentration of gas was controlled to 400 ppb to 5 ppm, and the humidity was maintained at 90% RH. The selectivity toward target gas was investigated by the calculating the resistance changes of the sensors using acquisition system (34972, Agilent). The operating temperature was modulated by controlling the voltage of the Pt micro-heater patterned on the backside of the sensors using DC power supply (E3647A, Agilent).
Characterization
The morphologies of samples were analyzed by field emission scanning electron microscopy (Nova230, FEI). The microstructure was investigated by field emission transmission electron microscopy (Tecnai G2 F30 S-Twin, FEI). The crystal structure was examined by powder X-ray diffraction (D/MAX-2500, Rigaku) analysis using Cu Kα radiation (λ = 1.5418 Å). The X-ray photoelectron spectroscopy (Sigma Probe, Thermo VG Scientific) analysis was conducted to investigate the chemical binding states. To confirm the pore distribution and the Brunauer–Emmett–Teller (BET) surface area, N2 adsorption/desorption isotherms (Tristar 3020, Micromeritics) were conducted at 77 K. Thermal gravimetric analysis (Labsys Evo, Setaram) was carried out to analyze the thermal behavior.
Additional Information
How to cite this article: Koo, W.-T. et al. Metal-Organic Framework Templated Synthesis of Ultrasmall Catalyst Loaded ZnO/ZnCo2O4 Hollow Spheres for Enhanced Gas Sensing Properties. Sci. Rep. 7, 45074; doi: 10.1038/srep45074 (2017).
Publisher's note: Springer Nature remains neutral with regard to jurisdictional claims in published maps and institutional affiliations.
References
Zhao, Z. et al. Structure, synthesis, and applications of TiO2 nanobelts. Adv. Mater. 27, 2557–2582 (2015).
Wagner, T. et al. Mesoporous materials as gas sensors. Chem. Soc. Rev. 42, 4036–4053 (2013).
Yamazoe, N., Sakai, G. & Shimanoe, K. Oxide semiconductor gas sensors. Catal. Surv. Asia 7, 63–75 (2003).
Lee, J. H. Gas sensors using hierarchical and hollow oxide nanostructures: Overview. Sens. Actuators B 140, 319–336 (2009).
Jang, J. S. et al. I. D. Thin-walled SnO2 nanotubes functionalized with Pt and Au catalysts via the protein templating route and their selective detection of acetone and hydrogen sulfide molecules. Nanoscale 7, 16417–16426 (2015).
Liu, J. Y. et al. Enhanced gas sensing properties of SnO2 hollow spheres decorated with CeO2 nanoparticles heterostructure composite materials. ACS Appl. Mater. Interfaces 8, 6669–6677 (2016).
Koo, W. T. et al. Catalyst-decorated hollow WO3 nanotubes using layer-by-layer self-assembly on polymeric nanofiber templates and their application in exhaled breath sensor. Sens. Actuators B 223, 301–310 (2016).
Choi, S. J. et al. Catalyst-loaded porous WO3 nanofibers using catalyst-decorated polystyrene colloid templates for detection of biomarker molecules. Chem. Commun. 51, 2609–2612 (2015).
Choi, S. J. et al. WO3 nanofiber-based biomarker detectors enabled by protein-encapsulated catalyst self-assembled on polystyrene colloid templates. Small 12, 911–920 (2016).
Righettoni, M., Amann, A. & Pratsinis, S. E. Breath analysis by nanostructured metal oxides as chemo-resistive gas sensors. Mater. Today 18, 163–171 (2015).
Kundu, S. K., Bruzek, J. A., Nair, R. & Judilla, A. M. Breath acetone analyzer: diagnostic tool to monitor dietary fat loss. Clin. Chem. 39, 87–92 (1993).
Zhu, Q. L. & Xu, Q. Metal–organic framework composites. Chem. Soc. Rev. 43, 5468–5512 (2014).
Furukawa, H., Cordova, K. E., O’Keeffe, M. & Yaghi, O. M. The chemistry and applications of metal-organic frameworks. Science 341, 1230444 (2013).
Li, H., Eddaoudi, M., O’Keeffe, M. & Yaghi, O. M. Design and synthesis of an exceptionally stable and highly porous metal-organic framework. Nature 402, 276–279 (1999).
Lee, J. et al. Metal–organic framework materials as catalysts. Chem. Soc. Rev. 38, 1450–1459 (2009).
Horcajada, P. et al. Metal–organic frameworks in biomedicine. Chem. Rev. 112, 1232–1268 (2012).
Xia, W., Mahmood, A., Zou, R. Q. & Xu, Q. Metal–organic frameworks and their derived nanostructures for electrochemical energy storage and conversion. Energy Environ. Sci. 8, 1837–1866 (2015).
Pimentel, B. R. et al. Zeolitic imidazolate frameworks: Next-generation materials for energy-efficient gas separations. ChemSusChem 7, 3202–3240 (2014).
Zhang, Z. J., Yao, Z. Z., Xiang, S. C. & Chen, B. L. Perspective of microporous metal–organic frameworks for CO2 capture and separation. Energy Environ. Sci. 7, 2868–2899 (2014).
Li, J. R., Kuppler, R. J. & Zhou, H. C. Selective gas adsorption and separation in metal–organic frameworks. Chem. Soc. Rev. 38, 1477–1504 (2009).
Xu, X. B., Zhang, Z. C. & Wang, X. Well-defined metal–organic-framework hollow nanostructures for catalytic reactions involving gases. Adv. Mater. 27, 5365–5371 (2015).
Lee, H. J., Cho, W. & Oh, M. Advanced fabrication of metal–organic frameworks: template-directed formation of polystyrene@ZIF-8 core–shell and hollow ZIF-8 microspheres. Chem. Commun. 48, 221–223 (2012).
Zhang, F. et al. Hollow zeolitic imidazolate framework nanospheres as Highly Efficient Cooperative Catalysts for [3+3] Cycloaddition Reactions. J. Am. Chem. Soc. 136, 13963–13966 (2014).
Pang, M. L. et al. Synthesis and integration of Fe-soc-MOF cubes into colloidosomes via a single-step emulsion-based approach. J. Am. Chem. Soc. 135, 10234–10237 (2013).
Carne-Sanchez, A., Imaz, I., Cano-Sarabia, M. & Maspoch, D. A spray-drying strategy for synthesis of nanoscale metal–organic frameworks and their assembly into hollow superstructures. Nat. Chem. 5, 203–211 (2013).
Hu, M. et al. Synthesis of prussian blue nanoparticles with a hollow interior by controlled chemical etching. Angew. Chem. Int. Ed. 124, 1008–1012 (2012).
Hermes, S. et al. Metal@MOF: loading of highly porous coordination polymers host lattices by metal organic chemical vapor deposition. Angew. Chem. Int. Ed. 44, 6237–6241 (2005).
Lu, G. et al. Imparting functionality to a metal–organic framework material by controlled nanoparticle encapsulation. Nat. Chem. 4, 310–316 (2012).
Wu, R. B. et al. Porous spinel ZnxCo3–xO4 Hollow polyhedra templated for high-rate lithium-ion batteries. ACS Nano 8, 6297–6303 (2014).
Barsan, N. et al. Modeling of sensing and transduction for p-type semiconducting metal oxide based gas sensors. J. Electroceram. 25, 11–19 (2010).
Caruso, F., Caruso, R. A. & Mohwald, H. Nanoengineering of inorganic and hybrid hollow spheres by colloidal templating. Science 282, 1111–1114 (1998).
Gross, A. F., Sherman, E. & Vajo, J. J. Aqueous room temperature synthesis of cobalt and zinc sodalite zeolitic imidizolate frameworks. Dalton Trans. 41, 5458–5460 (2012).
Jiang, H. L. et al. Synergistic catalysis of Au@Ag core−shell nanoparticles stabilized on metal−organic framework. J. Am. Chem. Soc. 133, 1304–1306 (2011).
Peterson, J. D., Vyazovkin, S. & Wight, C. A. Kinetics of the thermal and thermo-oxidative degradation of polystyrene, polyethylene and poly(propylene). Macromol. Chem. Phys. 202, 775–784 (2001).
Chen, R. et al. Controlled synthesis of carbon nanofibers anchored with ZnxCo3–xO4 nanocubes as binder-free anode materials for lithium-ion batteries. ACS Appl. Mater. Interfaces 8, 2591–2599 (2016).
Zhang, R. P., Liu, J., Guo, H. G. & Tong, X. L. Rational synthesis of three-dimensional porous ZnCo2O4 film with nanowire walls via simple hydrothermal method. Mater. Lett. 115, 208–211 (2014).
Luo, W., Hu, X. L., Sun, Y. M. & Huang, Y. H. Electrospun porous ZnCo2O4 nanotubes as a high-performance anode material for lithium-ion batteries. J. Mater. Chem. 22, 8916–8921 (2012).
Yamamoto, Y. et al. Catalysis and characterization of Pd/NaY for dimethyl carbonate synthesis from methyl nitrite and CO. J. Chem. Soc. Faraday Trans. 93, 3721–3727 (1997).
Broza, Y. Y. & Haick, H. Nanomaterial-based sensors for detection of disease by volatile organic compounds. Nanomedicine-Uk 8, 785–806 (2013).
Kim, H. J. & Lee, J. H. Highly sensitive and selective gas sensors using p-type oxide semiconductors: Overview. Sens. Actuators B 192, 607–627 (2014).
Yoon, J. W. et al. A New Strategy for humidity independent oxide chemiresistors: Dynamic self-refreshing of In2O3 sensing surface assisted by Layer-by-Layer coated CeO2 nanoclusters. Small 12, 4229–4240 (2016).
Choi, S. J. et al. Selective diagnosis of diabetes using Pt-functionalized WO3 hemitube networks as a sensing layer of acetone in exhaled breath. Anal. Chem. 85, 1792–1796 (2013).
Shin, J. et al. Thin-wall assembled SnO2 fibers functionalized by catalytic Pt nanoparticles and their superior exhaled-breath-sensing properties for the diagnosis of diabetes. Adv. Funct. Mater. 23, 2357–2367 (2013).
Choi, S. J. et al. Fast responding exhaled-breath sensors using WO3 hemitubes functionalized by graphene-based electronic sensitizers for diagnosis of diseases. ACS Appl. Mater. Interfaces 6, 9061–9070 (2014).
Miller, D. R., Akbar, S. A. & Morris, P. A. Nanoscale metal oxide-based heterojunctions for gas sensing: A review. Sens. Actuators B 204, 250–272 (2014).
Koo, W. T. et al. Heterogeneous sensitization of metal−organic framework driven metal@metal oxide complex catalysts on an oxide nanofiber scaffold toward superior gas sensors. J. Am. Chem. Soc. 138, 13431−13437 (2016).
Acknowledgements
This work was supported by Wearable Platform Materials Technology Center (WMC) funded by the National Research Foundation of Korea (NRF) Grant of the Korean Government (MSIP) (no. 2016R1A5A1009926). This work was also supported by the center for Integrated Smart Sensors funded by the Ministry of Science, ICT and Future Planning as a Global Frontier Project (CISS-2011-0031870).
Author information
Authors and Affiliations
Contributions
W.T.K. performed the material experiments. S.J.C. assisted the experiments and edited the manuscript. W.T.K. and J.S.J. carried out the measurement of gas sensing properties of Pd-ZnO/ZnCo2O4 HSs. I.D.K. generated the idea and designed the experiments. All authors reviewed the manuscript.
Corresponding author
Ethics declarations
Competing interests
The authors declare no competing financial interests.
Supplementary information
Rights and permissions
This work is licensed under a Creative Commons Attribution 4.0 International License. The images or other third party material in this article are included in the article’s Creative Commons license, unless indicated otherwise in the credit line; if the material is not included under the Creative Commons license, users will need to obtain permission from the license holder to reproduce the material. To view a copy of this license, visit http://creativecommons.org/licenses/by/4.0/
About this article
Cite this article
Koo, WT., Choi, SJ., Jang, JS. et al. Metal-Organic Framework Templated Synthesis of Ultrasmall Catalyst Loaded ZnO/ZnCo2O4 Hollow Spheres for Enhanced Gas Sensing Properties. Sci Rep 7, 45074 (2017). https://doi.org/10.1038/srep45074
Received:
Accepted:
Published:
DOI: https://doi.org/10.1038/srep45074
This article is cited by
-
Review: nanostructured zinc cobaltite resistive gas sensors
Journal of Materials Science (2025)
-
Electrical and magnetic properties of double perovskite Y2-xCaxCoMnO6 (x = 0.1, 0.2, 0.5)
Journal of Materials Science: Materials in Electronics (2024)
-
Revealing significant changes in electronic energy configurations via cation atom positions in Co(Gaₓ,Al1-x)₂O₄ spinel oxides
Applied Physics A (2024)
-
Metal organic framework derived NaCoxOy for room temperature hydrogen sulfide removal
Scientific Reports (2021)
-
Computational characterization of halogen vapor attachment, diffusion and desorption processes in zeolitic imidazolate framework-8
Scientific Reports (2020)








