Abstract
In this work, a high temperature THz detector based on a GaN high electron mobility transistor (HEMT) with nano antenna structures was fabricated and demonstrated to be able to work up to 200°C. The THz responsivity and noise equivalent power (NEP) of the device were characterized at 0.14 THz radiation over a wide temperature range from room temperature to 200 °C. A high responsivity Rv of 15.5 and 2.7 kV/W and a low NEP of 0.58 and 10 pW/Hz0.5 were obtained at room temperature and 200 °C, respectively. The advantages of the GaN HEMT over other types of field effect transistors for high temperature terahertz detection are discussed. The physical mechanisms responsible for the temperature dependence of the responsivity and NEP of the GaN HEMT are also analyzed thoroughly.
Similar content being viewed by others
Introduction
With the development of terahertz (THz) technologies, a compact, high speed, and highly sensitive detector working at sub-THz and THz ranges is highly desirable1,2,3,4,5,6. Field-effect transistors (FETs) have been used to fabricate THz detectors, benefiting from the nonlinear properties of the plasmonic excitations in the two-dimensional electron channels. Field-effect transistor THz detectors hold the advantages of high sensitivity, fast response, ability to operate at room temperature7. Different types of FETs, such as silicon metal-oxide-semiconductor FETs (MOSFETs), GaAs high electron mobility transistors (HEMTs), InP HEMTs, or GaN HEMTs have been reported with broadband responsivities for THz radiation8. For example, the responsivity of Si-FET integrated with a bow-tie antenna has reached 5 kV/W at 0.292 THz9. A very high responsivity of 22.7 kV/W at 0.2 THz has been demonstrated using an InP HEMT with an asymmetric dual-grating-gate7. GaN HEMTs integrated with a nano-antenna have shown a room temperature responsivity of 15 kV/W at 0.14 THz in our previous work10.
It is demanding to develop terahertz detectors with high sensitivity at elevated temperatures for applications in a harsh environment. The currently widely used terahertz detectors are the bolometer, the pyroelectric detector, the Schottky diode, and Golay cells. Bolometers only work well at low temperatures. The pyroelectric detector and Golay cells detect terahertz radiation up to room temperature11. This is due to their intrinsic limitation that detection is based on the induced temperature change by the absorption of terahertz photons and a higher temperature will increase the background noise and reduce sensitivity. Schottky diode or FET detectors made of Si, GaAs, or InP have different detection mechanisms and are able to work at room temperature. However, Si, GaAs, or InP has a relatively narrow band gap (1.12~1.42 eV), and thereby a high intrinsic carrier density that increases exponentially with temperature, which will enlarge the device leakage current and degrade the device performance. Therefore, it is difficult for Si, GaAs, or InP FET terahertz detectors to work at high temperatures.
As a wide-bandgap material, GaN has attracted much interest from both academia and industry for electronic12 and optoelectronic device applications13. GaN HEMTs have also shown excellent performance for sub-THz and THz detection. Panasonic Corp. has reported a detection responsivity of 1.1 kV/W at 1 THz using a GaN HEMT with 80 nm gate dipole antennas14. With a large bandgap of GaN at ~3.4 eV and thus lower intrinsic carrier density, GaN HEMTs are endowed with the potential to work well at high temperatures15.
In this paper, we report for the first time a THz detector based on GaN HEMT with the ability to work at high temperatures up to 200 °C. It is the first semiconductor device allowing terahertz detection that can operate at such a high temperature. The mechanisms inside the temperature dependence of the detection responsivity and the noise equivalent power (NEP) are also studied.
Advantages of GaN HEMTs for High Temperature Terahertz Detection
A fundamental theoretical description of the non-resonant THz detection in FETs has been given in the framework of the Dyakonov–Shur theory16. The induced terahertz detection signal ΔU can be found from

where s is the plasma wave velocity. The plasma wave velocity s is given by17

By adding intrinsic carrier density ni to the unified charge control model18, the electron density n in the 2DEG channel of a HEMT can be described by:

Here, V0 is the gate-to-channel voltage swing defined as V0 = Vg − Vth, C = en0/, Vth is the gate capacitance, η is the ideality factor, kB is the Boltzmann constant, T is the absolute temperature, and ni is the intrinsic carrier density of the semiconductor.
The intrinsic carrier density ni of semiconductors can be determined by19:

It can be seen that the intrinsic carrier density is exponentially dependent on the bandgap, which is a huge difference for semiconductors. Nc and Nv are the effective density of states in the conduction band and the valence band. In a bulk semiconductor, Nc and Nv are proportional to T 3/2. In a 2DEG system, as the energy level s are quantized and most of the electrons (more than 80%) occupy the first level20, the influence of the temperature on Nc and Nv is very weak. Considering that the THz detection performance of a HEMT is much higher when it is operating in 2DEG depletion region than in accumulation region, we use 3D bulk temperature dependence for Nc which is approximately proportional to T 3/2, instead of the 2D temperature dependence.
The intrinsic carrier density for silicon is about ~1 × 1010 cm−3. For GaAs, it is about ~2 × 106 cm−3, while for InP, it is about 1 × 107 cm−3. However, for GaN, the intrinsic carrier density is extremely low (~1.9 × 10−10 cm−3) due to its wide bandgap, which will provide GaN unique properties for high temperature terahertz detection.
The temperature dependence of the band gap is calculated by the Varshni equation. Using Eqs (2) and (3), we get

Combining Eqs (1) and (5), the terahertz response ΔU can be expressed as

where VT = ηkBT/e and is related to the sub-threshold slope; n0 is the electron density in the channel (which is 1 × 1013 cm−2 for GaN HEMTs, 7 × 1011 cm−2 for GaAs HEMTs21, 1 × 1013 cm−2 for InP HEMTs22, and 3.5 × 1011 cm−2 for silicon MOSFET3); and Ua is the coupling efficiency of the incoming radiation to the antenna.
The normalized response degradation (ΔU(T) − ΔU(300 K))/ΔU(300 K) with temperature for GaN HEMTs, GaAs HEMTs, InP HEMTs, and silicon MOSFETs is plotted in Fig. 1. At room temperature, the intrinsic carrier concentration is negligible compared to n0 and the ratio ni/n0 « 1 for all the transistors. Therefore, the term Vth(ni/n0) is negligible and Eq. (6) is reduced to the well-established equation used at room temperature17. In a low temperature region, all types of transistors decrease with T−1, which is mainly a result of the VT increment. When the temperature >100 °C, the intrinsic carrier concentration ni in silicon MOSFETs starts to influence the device performance so that the response degradation for silicon MOSFET reduces faster than in other type of FETs. As the temperature increases, the degradation of GaAs HEMTs and InP HEMTs speed up as well. It can be seen GaN HEMTs perform the best over other transistors, even up to 1000 °C. At 1000 °C, the intrinsic carrier concentration in GaN is only 3.86 × 109 cm−2. It is still much lower than the channel concentration of 1 × 1013 cm−2, which indicates that the intrinsic carrier concentration little influence on GaN HEMTs. Another important finding is that the ultra-low intrinsic carrier concentration of GaN due to its 3.4 eV wide bandgap and its high channel carrier concentration of 1 × 1013 cm−2 make GaN HEMTs suitable for high temperature terahertz detection.
Another advantage of GaN HEMTs is their low subthreshold leakage at high temperature23. The subthreshold leakage is able to induce shot noise (Nshot = (2eIleakge)0.5) for the terahertz detector. The wide band gap helps to suppress subthreshold leakage for the GaN terahertz detector.
Demonstration of High Temperature GaN Terahertz Detector
The detector schematic is as shown in Fig. 2(a). The device fabricated is based on an Al0.25Ga0.75N/GaN heterostructure. The epilayers include a 3 nm unintentionally-doped (UID) GaN cap, a 20 nm UID Al0.25Ga0.75N barrier, a 1 nm AlN spacer, a 1.5 μm GaN buffer layer, and transition/seeding layers. The epilayers were grown on a 6-inch high-resistivity Si(111) substrate. The typical 2-dimensional electron gas (2DEG) mobility and density are ~2100 cm2/Vs and ~1.0 × 1013 cm−2, respectively, as measured by the Hall measurement.
The scanning electron microscopy (SEM) image of the top view of the THz detector is shown in Fig. 2(b). An asymmetric nano antenna was placed near the gate of the HEMT. The gate length is 250 nm and the nano antenna has the dimension of 100 nm × 1 μm. The gap between the gate and the nano antenna is 200 nm. The source-drain distance is 14 μm. The nano-antenna was designed to improve the coupling between the incident THz radiation and the plasmons in the 2DEG channel10.
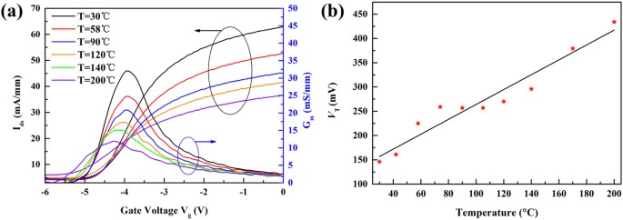
The transfer current-voltage characteristics were measured from room temperature to 200 °C, and they are shown in Fig. 3(a). The fabricated GaN devices exhibit good gate modulation and transfer properties. It can be seen that source-drain current decreases from 31 mA/mm at 30 °C to 17 mA/mm at 200 °C with Vg = 0 V and Vd = 1 V. This is mainly due to the mobility degradation at high temperature20. When the temperature is more than −173 °C, the 2DEG channel mobility is predominantly limited by the optical phonon scattering24. In addition, at higher temperature, the transconductance Gm is reduced, the curve of Gm versus Vg is broadened, and the Gm peak position is shifted. The broadening is due to the change of the thermal voltage VT, which has its relationship with temperature as shown in Fig. 3(b), and to the ideal factorη18. The threshold voltage Vth is −4.5 V at room temperature and it shifts to a more negative voltage of −5.5 V at 200 °C, which is a typical behavior for the GaN HEMT25.
The responsivity Rv as a function of the gate voltage (Vg) at different temperatures from room temperature to 200 °C is plotted in Fig 4(a). The sigmoid shapes of the responsivity versus gate bias are similar at all measured temperatures up to 200 °C. Rv starts to decrease when Vg > Vth, and it is close to zero when Vg > > Vth. When Vg decreases and enters the depletion regime (Vg = −3 to −5 V, around Vth), Rv starts to increase and saturates after the 2DEG channel is fully depleted (Vg < Vth).
As seen from Fig. 4(a), the responsivity decreases with the increase of temperature at all gate biases. The measured maximum responsivity at 0.14 THz was around 15 kV/W at room temperature, and it decreased by five times to 2.7 kV/W at 200 °C, as shown in Fig. 4(b). This decrease shows the excellent performance of the GaN HEMT to work as a THz detector at high temperatures. In addition, the position of the maximum THz responsivity negatively shifted as the temperature increased. This shift is due to the threshold voltage shift of the GaN HEMT, which is a typical behavior of a GaN HEMT25.
Without the influence of an intrinsic carrier, the term determining the maximum THz response for GaN HEMTs mainly includes the modified thermal voltage VT. As for the term VT, due to the temperature dependence of η, the relationship between VT and temperature T is not linear. The temperature dependence of VT can be seen from the sub-threshold slope of the transfer characteristics of the GaN HEMT26. By analyzing the experimental transfer characteristics (Fig. 3(a)), the temperature dependence of VT for our investigated transistor can be determined and plotted as shown in Fig. 3(b). It can be seen that the subthreshold slope decreases and the VT increases with increasing temperature. According to Eq. (6), the detected voltage ΔU is inversely proportional to VT, so it will become smaller at a higher temperature.
Noise equivalent power is an important figure of merit for a THz detector. The dominant noise source in the GaN terahertz detector is the thermal noise from the GaN channel. Therefore, the NEP can be estimated by Eq. (7):

where Rds is the channel resistance. Rds can be determined from the static transfer characteristic shown in Fig. 3(a). Figure 5 shows the NEP value as a function of gate voltage from room temperature to 200 °C. Because of the additional factor Rds in Eq. (7), the shape of the NEP versus the gate voltage does not follow that of Rv. Due to the sharp rise of the channel resistivity, the NEP curve at Vg < Vth shows a valley as indicated in Fig. 5(a). The increase of temperature leads to the increase of the thermal noise and thus the NEP. A minimal NEP value of 0.58 pW/Hz0.5 is obtained at Vg = −4.2 V at room temperature, and 9.38 pW/Hz0.5 is obtained at Vg = −4.6 V at 200 °C. Fig. 5(b) shows the temperature dependence of the NEP at the fixed gate voltage Vg = −4.4 V. Compared with the degradation of the responsivity Rv at high temperatures, the physical mechanisms inside the degradation of the NEP include an extra factor of thermal noise, which is proportional to T 0.5. To achieve higher operation temperature, surface states of GaN HEMTs can be passivated to enhance device thermal stability27,28.
Conclusion
In conclusion, a THz detector working up to 200 °C was successfully demonstrated based on a nano-antenna GaN HEMT. A maximum responsivity 15 kV/W and 2.7 kV/W and a minimum NEP of 0.58 pW/Hz0.5 and 9.38 pW/Hz0.5 were achieved at 0.14 THz radiation at room temperature and 200 °C, respectively. The low intrinsic carrier concentration, high channel carrier concentration, and low subthreshold leakage were found to be advantages of the GaN terahertz detector at high temperatures. The excellent performance of the GaN THz detector manifests itself as a promising candidate for high temperature THz applications.
Methods
Device Fabrication
The fabrication process started from mesa patterning and isolation by Cl2 based plasma etching. Source and drain ohmic contacts were formed with Ti/Al/Ni/Au (20/120/40/50 nm) by e-beam evaporation followed by 850 °C annealing in an N2 atmosphere. The gate was realized by Ni/Au (20/80 nm) metallization. The surface was not passivated.
Experimental Setup
A 0.14 THz (full name) IMPATT diode was used as a continuous-wave (CW) sub-THz source with the output power of 0.1 mW, which was calibrated by a standard pyroelectric power meter. The THz radiation was focused onto the surface of the device with a beam spot size of around 1.5 mm in diameter by two off-axis parabolic mirrors. The drain terminal of the HEMT was not biased, and the gate terminal was biased through a DC power source (GWInstek GPD-3303S). The photovoltages ΔU generated at the drain-source terminal were read out by a SR830 lock-in amplifier. A 10 mm × 10 mm metal ceramic heater was attached on the backside of the device and a thermocouple was placed on the front side of the device to measure the device temperature. The responsivity Rv is defined as ΔU/Pd, where ΔU is the measured photovoltage and Pd is the radiation power on the detector.
Additional Information
How to cite this article: Hou, H. W. et al. High Temperature Terahertz Detectors Realized by a GaN High Electron Mobility Transistor. Sci. Rep. 7, 46664; doi: 10.1038/srep46664 (2017).
Publisher's note: Springer Nature remains neutral with regard to jurisdictional claims in published maps and institutional affiliations.
References
Ojefors, E., Pfeiffer, U. R., Lisauskas, A. & Roskos, H. G. A 0.65 THz Focal-Plane Array in a Quarter-Micron CMOS Process Technology. Solid-State Circuits, IEEE Journal of 44, 1968–1976, doi: 10.1109/JSSC.2009.2021911 (2009).
Watanabe, T. et al. InP- and GaAs-Based Plasmonic High-Electron-Mobility Transistors for Room-Temperature Ultrahigh-Sensitive Terahertz Sensing and Imaging. Sensors Journal, IEEE 13, 89–99, doi: 10.1109/JSEN.2012.2225831 (2013).
Lisauskas, A. et al. Rational design of high-responsivity detectors of terahertz radiation based on distributed self-mixing in silicon field-effect transistors. Journal of Applied Physics 105, 114511; doi: http://dx.doi.org/10.1063/1.3140611 (2009).
Drexler, C. et al. Helicity sensitive terahertz radiation detection by field effect transistors. Journal of Applied Physics 111, 124504, doi: http://dx.doi.org/10.1063/1.4729043 (2012).
Sakowicz, M. et al. Polarization sensitive detection of 100 GHz radiation by high mobility field-effect transistors. Journal of Applied Physics 104, 024519, doi: http://dx.doi.org/10.1063/1.2957065 (2008).
Blin, S. et al. Plasma-Wave Detectors for Terahertz Wireless Communication. Electron Device Letters, IEEE 33, 1354–1356, doi: 10.1109/LED.2012.2210022 (2012).
Kurita, Y. et al. Ultrahigh sensitive sub-terahertz detection by InP-based asymmetric dual-grating-gate high-electron-mobility transistors and their broadband characteristics. Applied Physics Letters 104, 251114, doi: http://dx.doi.org/10.1063/1.4885499 (2014).
Knap, W. et al. Field Effect Transistors for Terahertz Detection: Physics and First Imaging Applications. Journal of Infrared, Millimeter, and Terahertz Waves 30, 1319–1337, doi: 10.1007/s10762-009-9564-9 (2009).
Schuster, F. et al. Broadband terahertz imaging with highly sensitive silicon CMOS detectors. Optics express 19, 7827–7832, doi: 10.1364/OE.19.007827 (2011).
Haowen, H., Zhihong, L., Jinghua, T., Tomás, P. & Soo-Jin, C. A sub-terahertz broadband detector based on a GaN high-electron-mobility transistor with nanoantennas. Applied Physics Express 10, 014101 (2017).
Tonouchi, M. Cutting-edge terahertz technology. Nat Photon 1, 97–105, doi: 10.1038/nphoton.2007.3 (2007).
Mishra, U. K., Parikh, P. & Yi-Feng, W. AlGaN/GaN HEMTs-an overview of device operation and applications. Proceedings of the IEEE 90, 1022–1031, doi: 10.1109/JPROC.2002.1021567 (2002).
Nakamura, S., Pearton, S. & Fasol, G. The blue laser diode: the complete story(Springer Science & Business Media), doi: 10.1007/978-3-662-04156-7 (2013).
Tanigawa, T., Onishi, T., Takigawa, S. & Otsuji, T. In Device Research Conference (DRC), 167–168, doi: 10.1109/DRC.2010.5551895 (2010).
Medjdoub, F. et al. In 2006 International Electron Devices Meeting. 1–4, doi: 10.1109/IEDM.2006.346935 (2006).
Dyakonov, M. & Shur, M. Detection, mixing, and frequency multiplication of terahertz radiation by two-dimensional electronic fluid. IEEE Transactions on Electron Devices 43, 380–387, doi: 10.1109/16.485650 (1996).
Knap, W. et al. Nonresonant detection of terahertz radiation in field effect transistors. Journal of Applied Physics 91, 9346–9353, doi: http://dx.doi.org/10.1063/1.1468257 (2002).
Shur, M., Fjeldly, T. A., Ytterdal, T. & Lee, K. Unified MOSFET model. Solid-State Electronics 35, 1795–1802, doi: http://dx.doi.org/10.1016/0038-1101(92)90263-C (1992).
Sze, Simon M. & Kwok, K. Ng. Physics of semiconductor devicesJohn wiley & sons, doi: 10.1002/0470068329 (2006).
Liu, Z. H., Arulkumaran, S. & Ng, G. I. Temperature dependence of Ohmic contact characteristics in AlGaN/GaN high electron mobility transistors from −50 to 200 °C. Applied Physics Letters 94, 142105, doi: http://dx.doi.org/10.1063/1.3114422 (2009).
Preu, S. et al. Ultra-fast transistor-based detectors for precise timing of near infrared and THz signals. Optics express 21, 17941–17950, doi: 10.1364/OE.21.017941 (2013).
Kurita, Y. et al. Ultrahigh sensitive sub-terahertz detection by InP-based asymmetric dual-grating-gate high-electron-mobility transistors and their broadband characteristics. Applied Physics Letters 104, 251114, doi: 10.1063/1.4885499 (2014).
Neudeck, P. G., Okojie, R. S. & Liang-Yu, C. High-temperature electronics - a role for wide bandgap semiconductors? Proceedings of the IEEE 90, 1065–1076, doi: 10.1109/JPROC.2002.1021571 (2002).
Dang, X. Z. et al. Measurement of drift mobility in AlGaN/GaN heterostructure field-effect transistor. Applied Physics Letters 74, 3890–3892, doi: http://dx.doi.org/10.1063/1.124214 (1999).
Gaska, R. et al. High-temperature performance of AlGaN/GaN HFETs on SiC substrates. Electron Device Letters, IEEE 18, 492–494, doi: 10.1109/55.624930 (1997).
Klimenko, O. A. et al. Temperature enhancement of terahertz responsivity of plasma field effect transistors. Journal of Applied Physics 112, 014506, doi: http://dx.doi.org/10.1063/1.4733465 (2012).
Zhang, X. et al. Adhesion and thermal stability enhancement of IZO films by adding a primer layer on polycarbonate substrate. physica status solidi (a) 212, 831–839, doi: 10.1002/pssa.201431685 (2015).
Huang, S., Jiang, Q., Yang, S., Zhou, C. & Chen, K. J. Effective Passivation of AlGaN/GaN HEMTs by ALD-Grown AlN Thin Film. IEEE Electron Device Letters 33, 516–518, doi: 10.1109/LED.2012.2185921 (2012).
Acknowledgements
This research was supported by the National Research Foundation Singapore through the Singapore MIT Alliance for Research and Technology’s LEES IRG research programme. Tomás Palacios would like to acknowledge partial support from the ONR PECASE and the ONR FATE MURI programs.
Author information
Authors and Affiliations
Contributions
H.W. Hou and Z. Liu constructed the original idea and designed the experiments; H.W. Hou carried out experiments and wrote the manuscript; J.H. Teng, T. Palacios and S.J. Chua analyzed the experimental data, discussed the results and revised the manuscript. All authors reviewed the manuscript.
Corresponding author
Ethics declarations
Competing interests
The authors declare no competing financial interests.
Rights and permissions
This work is licensed under a Creative Commons Attribution 4.0 International License. The images or other third party material in this article are included in the article’s Creative Commons license, unless indicated otherwise in the credit line; if the material is not included under the Creative Commons license, users will need to obtain permission from the license holder to reproduce the material. To view a copy of this license, visit http://creativecommons.org/licenses/by/4.0/
About this article
Cite this article
Hou, H., Liu, Z., Teng, J. et al. High Temperature Terahertz Detectors Realized by a GaN High Electron Mobility Transistor. Sci Rep 7, 46664 (2017). https://doi.org/10.1038/srep46664
Received:
Accepted:
Published:
DOI: https://doi.org/10.1038/srep46664
This article is cited by
-
Electron–Phonon Monte Carlo Simulations on Electron Pulse Propagation and its Thermal Effects in a GaN Channel
Journal of Electronic Materials (2025)
-
Impact of device resistances in the performance of graphene-based terahertz photodetectors
Frontiers of Optoelectronics (2024)
-
Tunnel field-effect transistors for sensitive terahertz detection
Nature Communications (2021)
-
Plasmonic semiconductor nanogroove array enhanced broad spectral band millimetre and terahertz wave detection
Light: Science & Applications (2021)
-
Improving Thermal Effects and Reduction of Self-heating Phenomenon in AlGaN/GaN/Si Based HEMT
Journal of Electronic Materials (2021)







