Abstract
Estrogen has anti-colorectal cancer effects which are thought to be mediated by mismatch repair gene (MMR) activity. Estrogen receptor (ER) expression is associated with microRNA (miRNA) expression in ER-positive tumors. However, studies of direct link between estrogen (especially estradiol E2), miRNA expression, and MMR in colorectal cancer (CRC) have not been done. In this study, we first evaluated the effects of estradiol (E2) and its antagonist ICI182,780 on the expression of miRNAs (miR-31, miR-155 and miR-135b) using COLO205, SW480 and MCF-7 cell lines, followed by examining the association of tissue miRNA expression and serum E2 levels using samples collected from 18 colorectal cancer patients. E2 inhibited the expressions of miRNAs in COLO205 cells, which could be reversed by E2 antagonist ICI 182.780. The expression of miR-135b was inversely correlated with serum E2 level and ER-β mRNA expression in CRC patients' cancer tissues. There were significant correlations between serum E2 level and expression of ER-β, miR-135b, and MMR in colon cancer tissue. This study suggests that the effects of estrogen on MMR function may be related to regulating miRNA expression via ER-β, which may be the basis for the anti-cancer effect in colorectal cells.
Similar content being viewed by others
Introduction
Colorectal cancer (CRC) is the fourth most common cause of death from cancer, affects around 1.2 million people world wide, with about 608,700 fatalities per year (Ferlay et al., 2010). Both the prevalence (Ries et al., 2000) and the lifetime risk of CRC (Froggatt et al., 1999) are significantly lower in females than in males. This is particularly true when comparing pre-menopausal women to age-matched men. The sex-specific difference in CRC incidence has been attributed to estrogen (Chlebowski et al., 2004). Estrogen exerts its effects mainly through two members of the estrogen receptor (ER) superfamily, ER-α and ER-β. ER-α expression is low in normal colonic mucosa and colon cancer cells, while ER-β is predominant in human colonic mucosal cells. ER-β is significantly decreased in colonic neoplasms compared to normal colonic mucosa. Decreased ER-β expression may lead to hyperproliferation, decreased differentiation, and decreased apoptosis of colonic epithelial cells (Maria and Paola, 2008), suggesting that ER-β is likely to be involved in the regulation of colonic tumor growth.
DNA mismatch repair (MMR) system plays an important role in maintaining genomic stability. The MMR gene alteration including genetic and sporadic mutations, commonly occur in the early stages of the neoplastic process. MMR dysfunction can cause microsatellite instability (MSI). It has been reported that estrogen is associated with MSI (Slattery et al., 2001). In our previous study, estradiol (E2) has shown to up-regulate major MMR gene (hMLH1) activity in colonic epithelial cells (Jin et al., 2010). These findings suggest that estrogen's anti-colorectal cancer effect may be mediated by MMR function in colonic cells. However, the pathway through which estrogen regulates MMR function is still not well understood.
MicroRNAs (miRNAs), a series of small noncoding RNAs of 19 to 22 nucleotides, are involved in many important cellular processes such as development, differentiation, proliferation, cell cycle progression, apoptosis, inflammation, and stress response (Lee and Dutta, 2009; Lu and Liston, 2009; Wang and Lee, 2009). Since expression alterations of some miRNAs are associated with a series of genetic events, their expression patterns may either have pro- or anti- cancer effects (He et al., 2005; Johnson et al., 2005; O'Donnell et al., 2005). Several miRNAs expression alterations have been reported in CRC, including miR-135b, miR-96, miR-183, miR-133a, miR-133b, miR-21, miR-31, miR-145, miR-203, miR-223, miR-155, etc (Bandres et al., 2006; Cummins et al., 2006; Volinia et al., 2006; Lanza et al., 2007; Sarver et al., 2009). However, the mechanism for miRNA change in CRC is not well understood. Recent studies have indicated that estrogens can regulate miRNAs expression in human breast cancer cells, endometrial stromal cells, and myometrial smooth muscle cells (Pan et al., 2007; Wickramasinghe et al., 2009). Therefore, we hypothesize that estrogen may have similar effects on miRNAs expression in colorectal epithelial cells.
In this study, we investigated the relationships of Estradiol, ER-β, and the expression of MMR genes (hMLH1 and hMSH2) and miRNA in cultured human colon cancer cells (COLO205 and SW480), human breast cancer cells (MCF-7) and patient tissue/serum samples. Our findings suggest that estrogen, through ER-β, regulates miRNA and MMR expression.
Results
Apoptosis induced by E2 in COLO205 and SW480
After treatment with different concentrations of E2 for 48 h, the apoptotic cells (Annexin-V+/PI-) were significantly increased in COLO205 (high levels of ER-β expression, and no ER-α expression cells) (Qiu et al., 2002) with a dose-dependent manner between 1 × 10-6 and 1 × 10-10 M of E2, and the effect was the strongest at 1 × 10-9 M of E2 (Figure 1A) (P < 0.001). Estrogen receptor antagonist, ICI182,780, inhibited E2-induced apoptosis in COLO205 cells (Figure 1B). However, the effect of E2 on apoptotic induction was not seen in SW480 which has very low levels of ER-β expression cells (Figure 1C) (Hartman et al., 2009). The finding shows that estrogen's apoptosis induction effect appears to be specifically in ER-β expression cells.
Effect of Estrogen (E2) on apoptosis induction in COLO205 and SW480 cells. Apoptosis was determined by FITC-conjugated Annexin-V/PI assay kit (Abcam) and flow cytometry. COLO205 cells treated with 10-6-10-10 M of E2 (A) and estrogen antagonist, ICI182,780, prior to incubation with E2 (B). SW480 cells treated with E2 (C). The cells sorted at the Annexin-V+/PI- fraction (bottom right quadrant) were early apoptotic cells. Mean ± SD from 3 independent experiments.
Effect of E2 on the expression of miRNAs in vitro
The expression levels of miR-31, miR-155, miR-135b, miR-203 and miR-223 in COLO205 cells were then determined before and after the treatment by E2, respectively. RT-qPCR results indicated that E2 decreased the levels of miR-31, miR-155 and miR-135b in a time-dependent manner (Figure 2A). To determine if the reduction of these miRNAs by E2 was mediated by estrogen receptor, COLO205 cells were pre-incubated with 100 nM estrogen antagonist ICI182,780 for 6 h, followed by E2 incubation. Our results indicated that ICI182,780 reversed E2-induced repression of miR-31, miR-155 and miR-135b (Figure 2B). E2 did not however affect miRNA expression in either SW480 cells, which is known to have very low levels of ER-β, or MCF-7 cells, in which ER-α represents the largely predominant form, while ER-β is only barely detectable (Figures 2C and 2D) (Perillo et al., 2000; Hartman et al., 2009; Wilkins et al., 2010). The findings suggest that the differential effect of E2 on miRNA expression in different cell lines relates to the ER-β, or the ratio of ER-β to ER-α.
Effect of Estrogen (E2) on inhibiting the expression of miR-31, miR-135b and miR-155. Quantitative RT-PCR analysis indicates that E2 induced the down-regulation of mature miR-31, miR-155, and miR-135b with time, but not miR-223 in COLO205 cells (A). ICI182,780 reversed E2-induced inhibition of miR-31, miR-155 and miR-135b of COLO205 cells (B). SW480 (C) and MCF7 (D) cells were treated with EtOH and E2 for 12 h, there were no significant changes in miR-31, miR-155 and miR-135b expression. Values presented were fold increase compared to EtOH for each miRNA and were calculated as described in 'Materials and Methods' section. Mean ± SD from 3 independent experiments. Significant differences between treated group versus EtOH control were calculated by ANOVA (*P < 0.05 and **P < 0.01).
Effect of E2 on the expression of ER-β, hMLH1 and hMSH2 in vitro
RT-qPCR and Western blotting showed that E2 increased the expression of ER-β and hMLH1, but at less degree of hMSH2, at both mRNA and protein levels in COLO205 cells, in a time and dose-dependent manners (Figures 3A and 3D). These effects were again inhibited by ICI182,780 (Figure 3B). No changes in the expression of hMLH1, hMSH2 and ER-β mRNA were seen in MCF-7 and SW480 cells (Figures 3C and 3D). The results suggest that E2, via ER-β, inhibits miRNA and increases hMLH1 expression in COLO205 cells.
Effects of Estrogen (E2) on the expression of MLH1, MSH2 and ER-β mRNA. MLH1 and ER-β mRNA determined by RT-qPCR in COLO205 cells (A) treated with EtOH or 10-9 M of E2 for 0 h, 6 h, 12 h and 24 h. MLH1 and ER-β mRNA determined by RT-qPCR in COLO205 cells (B) pre-treated with estrogen antagonist ICI 182.780 followed by EtOH or 10-9 M of E2 for 0 h and 12 h. Effects of E2 on MLH1, MSH2, and ER-β mRNA (C) measured by RT-qPCR in COLO205, SW480, and MCF7 cells. Cells were treated with EtOH, 10-10 and 10-9 M of E2 for 12 h. Mean ± SD from 3 independent experiments. Significant differences between treated group versus EtOH control were calculated by ANOVA (*P < 0.05 and **P < 0.01). Effects of E2 on protein level expression (D) of MLH1, MSH2 and ER-β in COLO205, SW480, and MCF7 cells.
Effect of E2 on MMR and several miRs in ER-β over-expression cells
To confirm the regulation effects of E2 on MMR and several miRs were mediated through ERbeta, we transfected ER-β plasma to up-regulate ER-β expression in SW480 cells. ERbeta protein expression was not up-regulated in vector transfected SW480 cells, whereas it was up-regulated in pRST7-ER-β transfected SW480 cells after 24 and 48 h of transfection by immunoblot (Figure 4A). RT-qPCR results indicated that E2 decreased the levels of miR-31, miR-155 and miR-135b in pRST7-ER-β transfected SW480 cells, but not in vector cells (Figure 4B). RT-qPCR and western blotting showed that E2 increased the expression of hMLH1, but at less degree of hMSH2, at both mRNA and protein levels in pRST7-ER-β transfected SW480 cells (Figures 4C and 4D).
Effect of Estrogen (E2) on MMR and several miRs in ER-β over-expression cells. ERbeta protein expression (A) was not up-regulated in vector transfected SW480 cells, whereas it was up-regulated in pRST7-ER-β transfected SW480 cells after 24 and 48 h of transfection. Quantitative RT-PCR analysis (B) indicates that E2 induced the down-regulation of mature miR-31, miR-155, and miR-135b in SW480-ERbeta cells, but not in vector transfected SW480 cells. Effects of E2 on MLH1 and MSH2 mRNA (C) measured by RT-qPCR in SW480-ERbeta and vector cells. Mean ± SD from 3 independent experiments. Significant differences between treated group versus EtOH control were calculated by ANOVA (*P < 0.05 and **P < 0.01). Effects of E2 on protein level expression (D) of MLH1 and MSH2 in SW480-ERbeta and vector cells.
Correlations of serum E2 level with the expression of miRNA, ER-β, and MMR genes in human cancer tissue and adjacent non-cancer tissue
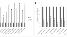
To extend the above in vitro findings to actual patient, a group of 18 CRC patients were recruited to study the relationships of serum E2 level with miRNA, and mRNA expression of MMR and ER-β. Of the 18 patients, the serum E2 levels were between 8.93 and 69.16 pg/ml with a mean of 28.08 pg/ml in the 9 male patients, while in the 9 female patients, the serum E2 levels were between 24.09 and 70.18 pg/ml with a mean of 38.09 pg/ml. Both cancerous tissues and adjacent non-cancerous tissues were analyzed for four miRNAs (miR-135b, miR-31, miR-155, and miR-203) expression, and mRNA levels of ER-β, and MMR (hMLH1 and hMSH2). In cancer tissue, ΔCt and ΔΔCt (non-cancerous tissue as control) values of miR-135b (R2 = 0.716, P = 0.001; R2 = 0.675, P = 0.002) (Figure 5A) and miR-31 (R2 = 0.567, P = 0.014; R2 = 0.561, P = 0.019) (Figure 5B) were significantly correlated with serum E2 concentrations, but this was not seen for miR-155 and miR-203 (R2 = 0.027, P = 0.515; R2 = 0.035, P = 0.459) (Figure 5C, respectively).
Correlations of serum Estrogen levels with miRNA and ER-β mRNA expression in CRC patients' tissues. Correlations of serum Estrogen levels with miRNA and ER-β mRNA expression in CRC patients' tissues. Serum Estrogen level was measured by ELISA assay whereas miRNA and ER-β mRNA was analyzed by RT-qPCR assay as described in Material and Methods. Correlation of serum estrogen concentrations with miR135b (A) in tumor ΔCt and ΔΔCt (tumor versus non-tumor). Correlation of serum estrogen concentrations with miR-31 (B) in tumor ΔCt and ΔΔCt. Correlation between the expression levels of miR-155 as well as miR-203 (C) in patients' cancer tissues and serum estrogen concentrations. Correlations of serum Estrogen concentrations with ER-β Mrna (D) in tumor ΔCt and ΔΔCt. Box plots with median, 25 th and 75 th percentiles, and range of expression levels of miR-31, miR-155, miR-135b, and miR-203 (E) in 18 tumor tissues relative to adjacent non-tumor tissue. Significant levels of differences were determined by ANOVA. Box plots with median, 25 th and 75 th percentiles, and range of expression levels of ER-β, hMLH1, hMLH2, (F) in 18 tumor tissues relative to adjacent non-tumor tissue. Significant levels of differences were determined by ANOVA (*P < 0.05 and **P < 0.01).
We also analyzed the correlations of E2 level with ER-β mRNA in the 18 CRC patients. In cancer tissue, the ΔCt and ΔΔCt (tumor versus non-tumor) values of ER-β mRNA were positively correlated (R2 = 0.583, P = 0.011; R2 = 0.525, P = 0.025) (Figure 5D) with serum E2 concentrations, but hMLH1 and hMSH2 (Figure not shown) mRNA were not correlated with serum E2 concentrations.
Since miR-155 has been shown to inhibit hMLH1 expression in cultured malignant colonic epithelial cells (24), we analyzed the correlation of miR-135b, miR-31 and miR-155 with hMLH1 in the 18 CRC patients. In cancer tissue, the ΔΔCt values of hMLH1 mRNA were negatively correlated with that of miR-135b and miR-155 (data not show). This was not seen for miR-31 (data not show). As in vitro study cited above showed that E2 down-regulates the expression of miR-31, miR-155 and miR-135b in COLO205 cells through ER-β, we analyzed the correlation of ER-β mRNA with the expression of three miRNAs in cancer tissue. Only the ΔΔCt value of miR-135b was correlated with the ΔΔCt values of ER-β mRNA (data not show).
Differential expression of miRNA and mRNA for ER-β and MLH1 in cancer versus adjacent non-cancer tissue from CRC patients
Finally, we analyzed the differential expression of miRNA in cancer versus adjacent non-cancer tissues. Interestingly, among the four tested miRNAs, miR-31, miR-155 and miR-135b (P < 0.05) were exhibited higher expressions, while there were no changes in miR-203 expression in cancer tissue compared with adjacent non-cancerous tissue (Figure 5E). Separate analyses of CRC patients showed that the ΔCt ± SD of miR-31 was 11.2 ± 2.1 in cancer tissue and 12.7 ± 1.9 in cancer-surrounding tissue (ANOVA, P = 0.032), the ΔCt ± SD of miR-155 was 9.8 ± 1.6 in cancer tissue and 11.2 ± 1.9 in cancer-surrounding tissue (ANOVA, P = 0.024), and the ΔCt ± SD of miR-135b was 9.5 ± 2.3 in cancer tissue and 11.1 ± 1.9 in cancer-surrounding tissue (ANOVA, P = 0.027). The results also indicated that the up-regulation of miR-135b was the most marked in cancer tissue (Figure 5E). Thus, miR-135b may be a potential marker for colorectal cancer.
We also analyzed ER-β and MLH1 expression in cancer and adjacent non-cancer tissue. ΔCt ± SD of ER-β mRNA was 10.2 ± 1.4 in non- cancerous tissue and 8.9 ± 1.9 in cancer tissue (ANOVA, P = 0.009), the ΔCt ± SD of hMLH1 mRNA was 4.4 ± 1.5 in non-cancerous tissue and 3.8 ± 2.8 in cancer tissue (ANOVA, P = 0.436), the ΔCt ± SD of hMSH2 mRNA was 2.3 ± 1.5 in non-cancerous tissue and 1.3 ± 0.9 in cancer tissue (ANOVA, P = 0.086) (Figure 5F). Only ER-β showed significant changes (down-regulation) in cancerous versus adjacent non-cancerous tissue (Figure 5F).
Discussion
This study revealed that E2 increased hMLH1 expression in COLO205 cells, which could be inhibited by Estrogen antagonist ICI182,780. Previously we found that in healthy individuals, a strong positive correlation of E2 level with hMLH1 expression in normal colonic epithelial cell was observed when serum E2 level was > 45 pg/ml (Jin et al., 2010). Recent studies have indicated that estrogens can regulate miRNA expression in human breast cancer cells, endometrial stromal cells, and myometrial smooth muscle cells (Pan et al., 2007; Wickramasinghe et al., 2009). Based on these results, we hypothesize that E2 may regulate miRNA expression that may result in the regulation of hMLH1 expression in colonic epithelial cells.
In this study, COLO205, SW480 and MCF-7 cells were used. We found that E2 could induce apoptosis in ER-β expression COLO205 cells, but not in SW480 cells with very low levels of ER-β expression, and not in MCF-7 cells with high levels of ER-α expression. Further, in COLO205 cells E2 down-regulated the expression of miR-31, miR-155 and miR-135b and up-regulated mRNA and protein expression of ER-β and hMLH1, which were inhibited by ICI182,780. We also transfected the ER-β expressing plasmid to up-regulate ER-β expression in SW480 cells with very low levels of ER-β expression. In pRST7-ER-β transfected SW480 cells, E2 down-regulated the expression of miR-31, miR-155 and miR-135b and up-regulate mRNA and protein expression of hMLH were also observed. Therefore, we hypothesize that E2 may through ER-β to regulate MMR and miRNA expression. MiRNAs are reported to be able to down-regulate the core MMR heterodimer protein (Valeri et al., 2010a, 2010b). Therefore, E2 may up-regulate MMR gene through down-regulation of miR-31, miR-155 and miR-135b. Further, E2 appears to only up-regulate hMLH1 expression without the effect on the other core MMR gene, hMSH2, in COLO205 and transfected SW480 cells. Based on the data above, we hypothesize that during CRC carcinogenesis, E2 may through ER-β to inhibit miR-31, miR-155 and miR-135b expression, as a result leading to the up-regulation of MMR activity to prevent cancer progression (see Figure 6, hypothetical diagram).
A simplified hypothetical diagram of interrelationships between Estrogen, ER-β, miRNA, and MMR. Estrogen regulates miRNA expression through binding to ER-β. The resulted decreased miRNA expression may affect MMR function that eventually prevents the transformation of normal colonic epithelium to cancer. ICI - estrogen inhibitor.
To verify the relationship of E2 and miRNA expression in vivo, adjacent non-cancerous tissue, cancer tissue and serum samples from 18 CRC patients were analyzed. The results indicated that serum E2 levels were strongly and negatively correlated with miR-31 and miR-135b expression, but not for miR-155 expression in cancer tissue. We also found that in cancer tissue, hMLH1 mRNA levels were negatively correlated with that of miR-155 and miR-135b expression, whereas ER-β mRNA levels were positively correlated with serum E2 concentrations. Interestingly, only miR-135b has a significant correlation with serum E2 level, ER-β and hMLH1 expression. Thus, we hypothesize that during cancer progression, a decreased estrogen and/or reduced ER-β expression result in the increase of miR-135b, which contributes to MMR instability and eventually colorectal cancer carcinogenesis (Figure 6).
This study showed that there was no significant correlation between hMLH1 expression and serum E2 level in CRC patients. Our previous study showed that in normal individuals, only when serum E2 levels were higher than 45 pg/ml, a strong positive correlation of E2 with hMLH1 gene expression was observed; and there was no significant correlation between hMLH1 expression and serum E2 level when E2 levels were lower (E2, < 45 pg/ml) (Jin et al., 2010). In the current study of 18 CRC patients, only two patients' serum E2 levels were higher than 45 pg/ml (a male, E2 = 69.16 pg/ml; a femail, E2 = 70.18 pg/ml). Therefore, the E2 regulatory effects on MMR through ER-β and miRNA expression may be an important event that occurs early in tumorigenesis.
We observed that miR-135b expression was significantly higher in CRC tissues than in normal tissues, and miR-135b in exfoliated colonocytes isolated from feces was significantly higher in CRC patients than in healthy volunteers (Koga et al., 2010; Wu et al., 2011). The first intron of the LEM domain containing 1 (LEMD1) gene contains miR-135b. Although the function of this gene is unclear, it has been reported that it exhibits high expression in CRC tissue compared to normal tissue (Yuki et al., 2004). As miR-135b is located on 1q32.1 which frequently shows DNA copy number gain in CRC progression (Douglas et al., 2004; Jones et al., 2005), so the elevation of miR-135b level is common in CRC pathogenesis. The findings together may suggest that miR-135b could be a potential marker for CRC.
In summary, we found that E2 through ER-β down-regulates miRNAs expression, especially miR-135b that may result in up-regulaion of MMR activity. Additional studies are warranted to further examine the effect of these changes in colorectal carcinogenesis.
Methods
Cell culture and transfection
COLO205, SW480 and MCF-7 cells were purchased from ATCC, and cultured as previously described (Jin et al., 2010). COLO205 and SW480 cells were incubated in different concentrations of estradiol E2 (Sigma-Aldrich., St Louis, MO) for 48 h; 100 nM of estrogen receptor antagonist ICI182,780 (Sigma-Aldrich., St Louis, MO) was then added followed by Annexin-V apoptosis assay. COLO205 cells were treated with 10 nM E2 with a final volume of 0.01% ethanol for 0 h, 6 h, 12 h and 24 h to determine mRNA expression, or for 0 h, 24 h and 48 h to determine protein expression. SW480 and MCF-7 cells were treated with EtOH, 1 nM or 10 nM E2, for 12 h alone or in combination with 100 nM ICI182,780 for 12 h. For the indicated experiments, cells were pretreated with 100 nM ICI182,780 for 6 h prior to EtOH or E2 treatment. SW480 Cells were seeded in 6-well plates (Corning Costar Corp., Cambridge, MA) in a final volume of 3.0 ml of culture medium for 24 h before transfection. Cells grown to 70% confluence in tissue culture plates were transiently transfected with an empty pRST7 vector and pRST7-ER-β (Addgene., Cambridge, MA) using Lipofectamine (Invitrogen., Carlsbad, CA) as described by the manufacturer. The mammalian expression plasmid for ER-β (pRST7-ER-β) has been described previously (Hall and McDonnell, 1999). Western blotting was used to confirm the transfection efficiency after 24 h or 48 h of transfection. After 24 h of transfection, SW480 (pERβ) and SW480 (vector) were treated with EtOH or 10 nM E2 for 12 h. After incubation, cells were harvested and used for quantitative reverse transcription-PCR (RT-qPCR) and Western blotting.
Subjects
A total of 18 patients - 9 males (age ranged from 31 to 73 yr, with a mean age of 53 yr) and 9 females (age ranged from 44 to 79 yr, with a mean age of 62 yr) diagnosed with CRC by colonoscopy were enrolled in this study from Beijing Military General Hospital. These patients were randomly selected from patient pool of the hospital's Gastrointestinal clinic; none of the subjects had undergone estrogen replacement therapy. Clinicopathologic characteristics of the patients are presented (Supplemental Data Table S1). Blood was taken half an hour after colonoscopy for determining the serum E2 level. During colonoscopy, four or five samples from cancer tissues and adjacent non-cancer tissues, respectively, were obtained and stored in liquid nitrogen. The total RNA was isolated from frozen tissues with TRIzol (Invitrogen., Carlsbad, CA) according to the manufacture protocol. All tissue samples were reviewed and evaluated by a gastrointestinal pathological expert Sheng. In addition, the tissues used for RNA isolation were histologically identified to contain at least 70% of tumor tissue. The study was approved by ethics committee of the Beijing Military General Hospital. Informed consent was obtained from all study subjects.
Assessment of apoptosis by Annexin-V-FITC
E2-induced apoptosis was measured with FITC-conjugated Annexin-V/PI assay kit (Abcam., Cambridge, MA) and flow cytometry. Cells were seeded in a 6-well plate, and following pretreatment, incubated in serum-free medium containing different concentrations of E2 for 48 h. For estrogen receptor antagonist ICI182,780 inhibiting E2-induced apoptosis, COLO205 cells were pretreated with 100 nM of ICI182,780 for 6 h prior to EtOH or E2 treatment. 5 × 105 cells were briefly washed with ice cold phosphate buffer solution, resuspended in 100 µl of binding buffer, and stained with 5 µl of FITC-conjugated Annexin-V (10 mg/ml) and 10 µl of PI (50 mg/ml). The cells were incubated for 15 min at room temperature in the dark; 400 µl of binding buffer was then added followed by analysis with a FACScan flow cytometry (Becton--Dickinson).
Real-time PCR
The total RNA was extracted from cells of human cancer-surrounding tissue and cancer tissue with Trizol (Invitrogen., Carlsbad, CA). RNA concentrations were measured with a spectrophotometer (NanoDrop™ 2000) and RNA integrity was analyzed with gel electrophoresis. Before cDNA was synthesized with RevertAid™ First Strand cDNA Synthesis Kits (Fermentas., Vilnius, Lithuania), total RNA (one mg) was treated with DNase I (Invitrogen., Carlsbad, CA) to remove DNA contamination. The RT primers of miRNAs were as follows: miR-31RT, GTCGTATCCAGTGCAGGGTCCGAGGTATTCGCACTGGATACGACAGCTAT; miR-155RT, GTCGTATCCAGTGCAGGGTCCGAGGTATTCGCACTGGATACGACACCCCT; miR-135bRT, GTCGTATCCAGTGCAGGGTCCGAGGTATTCGCACTGGATACGACTCACAT; miR-203RT, GTCGTATCCAGTGCAGGGTCCGAGGTATTCGCACTGGATACGACCTAGTG; miR-223RT, GTCGTATCCAGTGCAGGGTCCGAGGTATTCGCACTGGATACGACTGGGGT.
Expression of mRNA and mature miRNAs was determined with the SYBR Green PCR Master Mix (TaKaRa., Dalian, China). miRNA expression was normalized according to U6-snRNA of the 2-ΔΔCT-method (Pfaffl et al., 2001) and mRNA expression according to β-Actin. PCR was carried out in a volume of 20 µl, and PCR conditions were as following: denaturing at 95℃ for 30 s; denaturing at 95℃ for 5 s, reannealing at 60℃ for 34 s, elongation at 72℃ for 30 s, 40 cycles; finally elongation at 72℃ for 5 min. Primers used in this study were as follows: miR-31, sense, 5'-caAGGCAAGATGCTGGC-3'; miR-155, sense, 5'-cccTTAATGCTAATCGTGA-3'; miR-135b, sense, 5'-gctTATGGCTTTTCATTCCT-3'; miR-203, sense, 5'-ccaGTGAAATGTTTAGGAC-3'; miR-223, sense, 5'-cccTGTCAGTTTGTCAAAT-3'; miRNAs, anti-sense, 5'-GTGCAGGGTCCGAGGT-3'; U6, sense, 5'-GCTTCGGCAGCACATATACTAA-3'; anti-sense, 5'-AACGCTTCACGAATTTGCGT-3'; hMLH1, sense, 5'-TTCGTGGCAGGGGTTATTCG-3'; antisense, 5'-GCCTCCCTCTTTAACAATCACTT-3'; hMSH2, sense, 5'-GCTGGAAATAAGGCATCCAAGG-3'; anti-sense, 5'-CACCAATGGAAGCTGACATATCA-3'; β-actin, sense, 5'-CATGTACGTTGCTATCCAGGC-3'; anti-sense, 5'-CTCCTTAATGTCACGCACGAT-3'.
Real-time quantification was performed on 5 microRNAs (miR-31, miR-135b, miR-155, miR-203 and miR-223) with an Applied Biosystems 7500 Sequence detection system. These 5 candidate miRNAs were selected because 1) they exhibited high expression in cancer tissue compared with normal tissue (Sarver et al., 2009; Wu et al., 2011), 2) their high expressions (miR-155, -223,-31) were significantly associated with MSI-H status in CRC patient (Earle et al., 2010), 3) they (miR-155) proved to regulate MMR genes (Valeri et al., 2010a), and 4) their expressions (miR-135b) in exfoliated colonocytes isolated from feces were significantly higher in CRC patients than in healthy volunteers (Koga et al., 2010). All RT-qPCRs were performed in triplicates. The differences in tissue samples between groups are presented with ΔCt or ΔΔCt (normal tissue as control), indicating the differences between the Ct values of the interested miRNA and the serum E2 concentrations (Link et al., 2010).
Western blotting
Cells were washed with phosphate-buffered saline, and then lysed in extraction-buffer (Biosource, Camarillo, CA). Protein concentration was determined with BCA (Pierce, Rockford, IL). An aliquot of sample (25 mg) was separated on a 10% SDS-PAGE, and then transferred to a nitrocellulose membrane. The membrane was first incubated with the specific primary antibodies, ER-β, hMLH1 and hMSH2 (Proteintech Group., Chicago, IL) followed by incubation with horseradish-peroxidase linked by immunoglobulin G, and then visualized with chemiluminescence. The bands detected in Western blotting were analyzed with the Totallab 2.0 software.
Statistical analysis
Data analysis was performed with SPSS 11.5 software. The differences between two groups were analyzed with Student's t test, whereas the differences between multiple groups (more than two) were analyzed with ANOVA test. Correlation analyses between serum E2 level and miRNA expression, serum E2 level and mRNA expression, and miRNA and mRNA expression were performed with Pearson's test, and logarithmic regression was used to calculate the R2 and to create a regression equation. There is a strong correlation if the Pearson's P is < 0.5. R2 value > 0.3 was regarded as the fitting model. Two-sided P < 0.05 was considered significant.
Abbreviations
- BCA:
-
bicinchoninic acid
- CRC:
-
colorectal cancer
- E2:
-
estradiol
- ER:
-
estrogen receptor
- miRNA:
-
microRNA
- MMR:
-
mismatch repair gene
- MSI:
-
microsatellite instability
- QRT-PCR:
-
quantitative reverse transcription-PCR
References
Bandres E, Cubedo E, Agirre X, Malumbres R, Zárate R, Ramirez N, Abajo A, Navarro A, Moreno I, MonzóM, García-Foncillas J . Identification by Real-time PCR of 13 mature microRNAs differentially expressed in colorectal cancer and non-tumoral tissues . Mol Cancer 2006 ; 5 : 29
Chlebowski RT, Wactawski-Wende J, Ritenbaugh C, Hubbell FA, Ascensao J, Rodabough RJ, Rosenberg CA, Taylor VM, Harris R, Chen C, Adams-Campbell LL, White E . Estrogen plus Progestin and colorectal cancer in postmenopausal women . N Engl J Med 2004 ; 350 : 991 - 1004
Cummins JM, He Y, Leary RJ, Pagliarini R, Diaz LA, Sjoblom T, Barad O, Bentwich Z, Szafranska AE, Labourier E, Raymond CK, Roberts BS, Juhl H, Kinzler KW, Vogelstein B, Velculescu VE . The colorectal microRNAome . Proc Natl Acad Sci USA 2006 ; 103 : 3687 - 3692
Douglas EJ, Fiegler H, Rowan A, Halford S, Bicknell DC, Bodmer W, Tomlinson IP, Carter NP . Array comparative genomic hybridization analysis of colorectal cancer cell lines and primary carcinomas . Cancer Res 2004 ; 64 : 4817 - 4825
Earle JS, Luthra R, Romans A, Abraham R, Ensor J, Yao H, Hamilton SR . Association of microrna expression with microsatellite instability status in colorectal adenocarcinoma . J Mol Diagn 2010 ; 12 : 433 - 440
Ferlay J, Shin HR, Bray F, Forman D, Mathers C, Parkin DM . Estimates of worldwide burden of cancer in 2008: GLOBOCAN 2008 . Int J Cancer 2010 ; 127 : 2893 - 2917
Froggatt NJ, Green J, Brassett C, Evans DGR, Bishop DT, Kolodner R, Maher ER . A common MSH2 mutation in English and North American HNPCC families: origin, phenotypic expression, and sex specific differences in colorectal cancer . J Med Genet 1999 ; 36 : 97 - 102
Hall JM, McDonnell DP . The estrogen receptor beta-isoform (ERbeta) of the human estrogen receptor modulates ERalpha transcriptional activity and is a key regulator of the cellular response to estrogens and antiestrogens . Endocrinology 1999 ; 140 : 5566 - 5578
Hartman J, Edvardsson K, Lindberg K, Zhao C, Williams C, Ström A, Gustafsson JA . Tumor repressive functions of estrogen receptor B in SW480 colon cancer cells . Cancer Res 2009 ; 69 : 6100 - 6106
He L, Thomson JM, Hemann MT, Hernando-Monge E, Mu D, Goodson S, Powers S, Cordon-Cardo C, Lowe SW, Hannon GJ, Hammond SM . A microRNA polycistron as a potential human oncogene . Nature 2005 ; 435 : 828 - 833
Jin P, Lu XJ, Sheng JQ, Fu L, Meng XM, Wang X, Shi TP, Li SR, Rao J . Estrogen Stimulates the Expression of Mismatch Repair Gene hMLH1 in Colonic Epithelial Cells . Cancer Prev Res (Phila) 2010 ; 3 : 910 - 916
Jones AM, Douglas EJ, Halford SE, Fiegler H, Gorman PA, Roylance RR, Carter NP, Tomlinson IP . Array-CGH analysis of microsatellite-stable, near-diploid bowel cancers and comparison with other types of colorectal carcinoma . Oncogene 2005 ; 24 : 118 - 129
Johnson SM, Grosshans H, Shingara J, Byrom M, Jarvis R, Cheng A, Labourier E, Reinert KL, Brown D, Slack FJ . RAS is regulated by the let-7 microRNA family . Cell 2005 ; 120 : 635 - 647
Koga Y, Yasunaga M, Takahashi A, Kuroda J, Moriya Y, Akasu T, Fujita S, Yamamoto S, Baba H, Matsumura Y . MicroRNA expression profiling of exfoliated colonocytes isolated from feces for colorectal cancer screening . Cancer Prev Res (Phila) 2010 ; 3 : 1435 - 1442
Lanza G, Ferracin M, Gafa R, Veronese A, Spizzo R, Pichiorri F, Liu CG, Calin GA, Croce CM, Negrini M . mRNA/microRNA gene expression profile in microsatellite unstable colorectal cancer . Mol Cancer 2007 ; 6 : 54
Lee YS, Dutta A . MicroRNAs in cancer . Annu Rev Pathol 2009 ; 4 : 199 - 227
Link A, Balaguer F, Shen Y, Nagasaka T, Lozano JJ, Boland CR, Goel A . Fecal MicroRNAs as novel biomarkers for colon cancer screening . Cancer Epidemiol Biomarkers Prev 2010 ; 19 : 1766 - 1774
Lu LF, Liston A . MicroRNA in the immune system, microRNA as an immune system . Immunology 2009 ; 127 : 291 - 298
Marino M, Galluzzo P . Estrogen receptor mediates the protective effects of estrogen in colon cancer . Cancer Therapy 2008 ; 6 : 149 - 162
O'Donnell KA, Wentzel EA, Zeller KI, Dang CV, Mendell JT . c-Myc-regulated microRNAs modulate E2F1 expression . Nature 2005 ; 435 : 839 - 843
Pan Q, Luo X, Toloubeydokhti T, Chegini N . The expression profile of micro-RNA in endometrium and endometriosis and the influence of ovarian steroids on their expression . Mol Hum Reprod 2007 ; 13 : 797 - 806
Perillo B, Sasso A, Abbondanza C, Palumbo G . 17β-estradiol inhibits apoptosis in MCF-7 cells, inducing bcl-2 expression via two estrogen-responsive elements present in the coding sequence . Mol Cell Biol 2000 ; 20 : 2890 - 2901
Pfaffl MW . A new mathematical model for relative quantification in real-time RT-PCR . Nucleic Acids Res 2001 ; 29 : e45
Qiu Y, Waters CE, Lewis AE, Langman MJ, Eggo MC . Oestrogen induced apoptosis in colonocytes expressing oestrogen receptor β . J Endocrinol 2002 ; 174 : 369 - 377
Ries LA, Wingo PA, Miller DS, Howe HL, Weir HK, Rosenberg HM, Vernon SW, Cronin K, Edwards BK . The annual report to the nation on the status of cancer . Cancer 2000 ; 88 : 2398 - 2424
Sarver AL, French AJ, Borralho PM, Thayanithy V, Oberg AL, Silverstein KA, Morlan BW, Riska SM, Boardman LA, Cunningham JM, Subramanian S, Wang L, Smyrk TC, Rodrigues CMP, Thibodeau SN, Steer CJ . Human colon cancer profiles show differential microRNA expression depending on mismatch repair status and are characteristic of undifferentiated proliferative states . BMC Cancer 2009 ; 9 : 401
Slattery ML, Potter JD, Curtin K, Edwards S, Ma KN, Anderson K, Schaffer D, Samowitz WS . Estrogens reduce and withdrawal of estrogens increase risk of microsatellite instability-positive colon cancer . Cancer Res 2001 ; 61 : 126 - 130
Valeri N, Gasparini P, Braconi C, Paone A, Lovat F, Fabbri M, Sumani KM, Alder H, Amadori D, Patel T, Nuovo GJ, Fishel R, Croce CM . MicroRNA-21 induces resistance to 5-fluorouracil by down-regulating human DNA MutS homolog 2 (hMSH2) . Proc Natl Acad Sci U S A 2010a ; 107 : 21098 - 21103
Valeri N, Gasparini P, Fabbri M, Braconi C, Veronese A, Lovat F, Adair B, Vannini I, Fanini F, Bottoni A, Costinean S, Sandhu SK, Nuovo GJ, Alder H, Gafa R, Calore F, Ferracin M, Lanza G, Volinia S, Negrini M, McIlhatton MA, Amadori D, Fishel R, Croce CM . Modulation of mismatch repair and genomic stability by miR-155 . Proc Natl Acad Sci U S A 2010b ; 107 : 6982 - 6987
Volinia S, Calin GA, Liu CG, Ambs S, Cimmino A, Petrocca F, Visone R, Iorio M, Roldo C, Ferracin M, Prueitt RL, Yanaihara N, Lanza G, Scarpa A, Vecchione A, Negrini M, Harris CC, Croce CM . A microRNA expression signature of human solid tumors defines cancer gene targets . Proc Natl Acad Sci USA 2006 ; 103 : 2257 - 2261
Wang Y, Lee CG . MicroRNA and cancer-focus on apoptosis . J Cell Mol Med 2009 ; 13 : 12 - 23
Wickramasinghe NS, Manavalan TT, Dougherty SM, Riggs KA, Li Y, Klinge CM . Estradiol downregulates miR-21 expression and increases miR-21 target gene expression in MCF-7 breast cancer cells . Nucleic Acids Res 2009 ; 37 : 2584 - 2595
Wilkins HR, Doucet K, Duke V, Morra A, Johnson N . Estrogen prevents sustained COLO-205 human colon cancer cell growth by inducing apoptosis, decreasing c-myb protein, and decreasing transcription of the anti-apoptotic protein bcl-2 . Tumour Biol 2010 ; 31 : 16 - 22
Wu WK, Law PT, Lee CW, Cho CH, Fan D, Wu K, Yu J, Sung JJ . MicroRNA in colorectal cancer: from benchtop to bedside . Carcinogenesis 2011 ; 32 : 247 - 253
Yuki D, Lin YM, Fujii Y, Nakamura Y, Furukawa Y . Isolation of LEM domain-containing 1, a novel testisspecific gene expressed in colorectal cancers . Oncol Rep 2004 ; 12 : 275 - 280
Acknowledgements
This work was supported by grants from National Natural Science Foundation of China (no. 81072041).
Author information
Authors and Affiliations
Corresponding authors
Additional information
Supplementary Information accompanies the paper on the Experimental & Molecular Medicine website
Supplementary information
Rights and permissions
This is an Open Access article distributed under the terms of the Creative Commons Attribution Non-Commercial License (http://creativecommons.org/licenses/by-nc/3.0/) which permits unrestricted non-commercial use, distribution, and reproduction in any medium, provided the original work is properly cited.
About this article
Cite this article
He, Yq., Sheng, Jq., Ling, Xl. et al. Estradiol regulates miR-135b and mismatch repair gene expressions via estrogen receptor-β in colorectal cells. Exp Mol Med 44, 723–732 (2012). https://doi.org/10.3858/emm.2012.44.12.079
Accepted:
Published:
Issue date:
DOI: https://doi.org/10.3858/emm.2012.44.12.079
Keywords
This article is cited by
-
Assessments of dietary intake and polygenic risk score in associations with colorectal cancer risk: evidence from the UK Biobank
BMC Cancer (2023)
-
MiR-6511b-5p suppresses metastasis of pMMR colorectal cancer through methylation of CD44 by directly targeting BRG1
Clinical and Translational Oncology (2022)
-
Estrogen receptor beta enhances chemotherapy response of GBM cells by down regulating DNA damage response pathways
Scientific Reports (2019)
-
Identification of reference miRNAs in plasma useful for the study of oestrogen-responsive miRNAs associated with acquired Protein S deficiency in pregnancy
BMC Research Notes (2017)
-
Insight On Colorectal Carcinoma Infiltration by Studying Perilesional Extracellular Matrix
Scientific Reports (2016)








