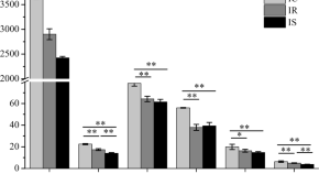
Cao, Li, et al. sequence 13 perennial woody plant species of Lycium, and specifically provide a draft assembly of L. ruthenicum and a chromosome-level assembly of L. barbarum, the wolfberry or Goji berry. From a phylogenetic tree the authors identify an ancient hexaploidization event, and report the evolution of gene families including fruit ripening, fruit coloration, polysaccharide synthesis and self-incompatibility within Solanaceae and the general biogeography of L. barbarum.
- You-Long Cao
- Yan-long Li
- Zhong-Jian Liu