Abstract
Drosophila simulans strains infected with three different Wolbachia strains were generated by experimental injection of a third symbiont into a naturally double-infected strain. This transfer led to a substantial increase in total Wolbachia density in the host strain. Each of the three symbionts was stably transmitted in the presence of the other two. Triple-infected males were incompatible with double-infected females. No evidence was obtained for interference between modification effects of the different Wolbachia strains in males. Some incompatibility was observed between triple-infected males and females. However, this incompatibility reaction is not a specific property of triple-infected flies, because it was also observed in double-infected strains.
Similar content being viewed by others
Introduction
Wolbachia are intracellular bacteria responsible for various modifications in the reproduction of their hosts, including feminization, parthenogenesis and cytoplasmic incompatibility (reviewed in Rigaud & Rousset, 1996; Werren, 1997). Cytoplasmic incompatibility is an embryonic mortality observed in crosses between infected males and uninfected females, as well as in some crosses between infected individuals (Hoffmann & Turelli, 1997).
In the latter case, it has been found that the infected insects harbour different Wolbachia strains, often within the same individual. With one exception (Culex mosquitoes; Guillemaud et al., 1997), incompatibility in reciprocal crosses between infected strains (bidirectional incompatibility) is caused by infections with Wolbachia strains that can be distinguished by available molecular markers (O'Neill et al., 1992; Perrot-Minnot et al., 1996; Zhou et al., 1998). Experiments with naturally occurring double infections in D. simulans (Merçot et al., 1995; Rousset & Solignac, 1995), Aedes albopictus (Sinkins et al., 1995a), Nasonia vitripennis (Perrot-Minnot et al., 1996) and experimentally established double-infected D. simulans strains (Sinkins et al., 1995a) have shown that double-infected males are incompatible with single-infected females, and double-infected females are compatible with single-infected males. Such results are expected if each sperm cell is independently modified by each symbiont, and both of these modifications can be ‘rescued’ in eggs produced by double-infected females (Sinkins et al., 1995a). As such, double-infected insects are expected to increase in frequency in a population of single-infected insects (Rousset & Solignac, 1995; Sinkins et al., 1995a). By the same logic, we would expect that triple infections would spread in double-infected, single-infected or uninfected populations. The simultaneous action of different modification/rescue effects by several Wolbachia strains within individual mosquitoes has also been proposed to explain the complex polymorphisms of incompatibility types found in the mosquito Culex pipiens (Hoffmann & Turelli, 1997). This hypothesis is based on the assumption that several Wolbachia strains infect the same mosquito and that several modification/rescue mechanisms may be acting simultaneously.
Despite the fact that triple infections should persist once established, they have not been described from natural populations to date. One possible explanation is that competition between different symbionts for a limiting host resource may keep total symbiont density to a fixed level and, hence, increase the probability that one symbiont is lost during oogenesis. In this scenario, inheritance of the triple infection may be unstable. Other competition effects might also occur at the molecular level of sperm cell modification and subsequent rescue in eggs. In this scenario, sperm imprinting may not be complete (or independent) for each of the different symbionts, the imprint of one strain dominating (‘modification interference‘) or, alternatively, a similar effect might occur during the rescue process in individual eggs (‘rescuing interference’). In the latter case, double-infected females might be unable to rescue doubly modified sperm completely.
This paper describes injection experiments conducted in Drosophila in order to test whether triple-infected lines could be established. Such strains were obtained and were used to test whether triple-infected males are incompatible with double-infected females, and whether there is a strong interference between Wolbachia strains that might affect both vertical transmission and modification of sperm cells.
Materials and methods
Microinjection
Embryos from 45 min egg collections were dechorionated in 2.6% sodium hypochlorite for 2 min, lined up on rubber cement-coated coverslips and covered with mineral oil. Cytoplasm was removed from the donor strain eggs by inserting a glass needle into the posterior end of the egg, and this was injected into the posterior end of eggs from the recipient strain. After injection, coverslips were transferred to Petri dishes containing water-saturated filter paper for 18 h, and hatched larvae were transferred to standard corn medium.
Strains
The different strains used in this work are described in Table 1 The triple-infected lines were obtained by transfer of cytoplasm from eggs of the M4 (wHa + wRi) double-infected strain to eggs from the Nou (wHa + wNo) double-infected strain. The two isofemale triple-infected lines were established from females injected with eggs that had been mated with Nou males. The strains were reared at low densities (100 eggs 60 mL–1 standard corn medium) to minimize crowding effects (Sinkins et al., 1995b; Hoffmann et al., 1998). To obtain the HNR2T strain, HNR2 larvae were raised in 0.03% tetracycline for three generations. This strain was reared for one more generation without antibiotics before being used in crosses.
Egg mortality
Egg mortality was measured in single-pair matings conducted in 1.5 mL microcentrifuge tubes, the caps of which were filled with 70 μL of a 2.4% agar–apple juice solution and a drop of autoclaved yeast suspension. Single pairs were established on the female's day of emergence (day 0) with 0- to 1-day-old males. A female was considered mated when there was either some embryo development in deposited eggs or her dissected spermathecae were found to contain sperm at day 5.
Flies were transferred to fresh tubes every day from day 2 onwards; eggs were counted and hatch rates measured 30 h later. In the course of these experiments, it was found that egg mortality increased sharply in crosses after day 4. Because this was observed in crosses between uninfected flies, it did not result from Wolbachia infection. Additional observations (data not shown) suggest that this effect is caused by moving the flies into fresh tubes every day. For this reason, only hatch rates from 2- and 3-day-old females are considered here. Because unmated females lay few eggs within this time, only pairs that laid at least 16 eggs were used in the analysis; pairs laying fewer eggs were discarded.
DNA extractions
For polymerase chain reaction (PCR) and dot blot experiments, individual flies or tissues were homogenized with a sterile polypropylene pestle in 50 μL of STE (100 mM NaCl, 10 mM Tris-HCl, 1 mM EDTA, pH 8.0), incubated with 2 μL of proteinase K (10 mg mL–1) for 30 min at 60°C followed by 10 min at 95°C. Samples were centrifuged briefly, and 1 μL was used as a template for PCR. For each blot, samples were DNA extracted blindly and in random order.
PCR and heteroduplex assays for infection
These were conducted using the gene for the Wolbachia outer surface protein (wsp). Partial sequences of this gene have been obtained previously for the three symbiont strains (Braig et al., 1998; Zhou et al., 1998). A primer specifically amplifying the wRi strain (5′-ATTGAAGGTATTGAATATAAAAAGGCCACAGACATTCATAAT; K. Bourtzis, pers. comm.) was used first to detect wRi in the experimental lines. A primer, Wsp395f (5′-TTGAAGATATGCCTATCACTCCA), was designed to amplify a short fragment of the wsp gene of the three Wolbachia strains when used in conjunction with the primer Wsp691R described by Zhou et al. (1998). The amplification conditions were 3 min at 94°C, five cycles of (1 min at 94°C, 1 min at 50°C, 3 min at 72°C), 25 cycles of (1 min at 94°C, 1 min at 50°C, 1 min at 72°C) and 10 min at 72°C.
Single, double and triple infections could be distinguished by the combination of size differences and by the formation of heteroduplexes between the different PCR products (see Results for details). PCR products generated using Wsp primers 395f and 691r were mixed with an equal volume of loading dye (95% formamide, 20 mM EDTA, 0.05% bromophenol blue, 0.05% xylene cyanol, 20 mM NaOH) and run on an 8% (29:1) acrylamide–bisacrylamide gel with 5% glycerol in 0.5 × TBE at 200 V for 1 h at room temperature, before being visualized by staining in ethidium bromide (0.5 μg mL–1) for 10 min.
In some cases, the wNo-specific fragment did not show up well on the gels, and the presence or absence of the wNo symbiont was independently tested by PCR using a wNo-specific primer (5′-TTTAAAACAAG-AATTGACGGCATTGAATATAAAAAAGGAACC-GAAG) in combination with the wsp691r primer.
Quantification of Wolbachia
Wolbachia densities in gonads and remaining carcasses were compared by dot blot experiments. Dot-blotted membranes were hybridized with a random-labelled PCR product of the dnaA gene (Bourtzis et al., 1994) according to the protocol of Bourtzis et al. (1996). Blots were exposed to Transcreen MS film with an appropriate intensifying screen (Kodak). Autoradiograms were scanned and analysed using the NIH IMAGE package (version 1.61). Qualitative comparisons were conducted within each autoradiogram for DNA samples extracted simultaneously.
Results
Injections
The successful transfer of the wRi symbiont into Noumea was first detected by PCR with the wRi-specific primer in sons of females that had developed out of Nou (wNo + wHa) eggs injected with M4 (wRi + wHa) cytoplasm. A heteroduplex assay (Sorrentino et al., 1991; White et al., 1992) was then developed to distinguish triple-infected individuals from single- and double-infected individuals (Fig. 1). Eight isofemale sublines, HNR1 to HNR8, were started, four from each of two independently derived triple-infected lines, and one son and one daughter of each of them were tested for triple infection. These 16 flies were all triple infected. The HNR2 and HNR5 strains were kept for further analysis.
Heteroduplex assay. Lanes 1 and 12, ‘1 kb’ ladder (Gibco). Lanes 2–4 contain products from single Wolbachia strains: wHa (DSH) in lane 2; wNo (R3A) in lane 3 and wRi (DSR) in lane 4. Lanes 5–9 each contain products from two strains, either from double-infected flies or obtained as mixtures of PCR products: wHa + wNo (DSH + R3A in lane 5 and Nou in lane 6); wHa + wRi (DSH + DSR in lane 7 and M4 in lane 8); wNo + wRi (R3A + DSR) in lane 9. Products of the three Wolbachia strains are shown in lanes 10 (DSH + R3A + DSR) and 11 (HNR2). The wHa and wRi products form an obvious pair of heteroduplexes in lanes 7, 8, 10 and 11. The wNo product forms heteroduplexes with either wHa or wRi in lanes 4, 5, 9, 10 and 11. As the wHa and wRi wsp sequences are more similar to each other than to wNo (Zhou et al., 1998), the heteroduplexes involving wNo products have lower electrophoretic mobility and are formed in lower amounts than the wHa + wRi heteroduplexes.
Transmission efficiency
The infection frequency was estimated in flies from the triple-infected strains. All 65 flies tested (51 from HNR2 and 14 from other HNR sublines) were triple infected. Offspring of HNR2 × HNR2T crosses were also tested, and all 61 such offspring were also triple infected. Therefore, the probability that offspring of HNR2 females were triple infected was at least 0.973 (lower values being rejected at the 5% level).
Incompatibility
Incompatibility assays are presented in Tables 2 and Tables 3 The comparison of the incompatibility relationships of the triple-infected lines with those of the Nou strain with the same nuclear background shows that triple-infected males are incompatible with double-infected females. Therefore, both the wNo and wRi strains can modify sperm independently in triple-infected males. The wHa modification was not studied, because a double-infected (wNo + wRi) strain was not available.
In both double- and triple-infected lines, a high (0.23–0.46) intrastrain mortality was observed. This mortality was, if anything, higher in crosses between the two independently established triple-infected lines HNR2 and HNR5 (0.46–0.49) than within each of them, showing that this was not a consequence of inbreeding within the triple-infected lines. In addition, this mortality would also be expected to occur in HNR2T derived from HNR2 by tetracycline treatment, if it was the result of inbreeding. On the contrary, mortality within HNR2T was much lower (0.089 for HNR2T vs. 0.361 for Nou, 0.236 for HNR2 and 0.46 for HNR5; all comparisons P< 0.001). Embryo mortality in the HNR2 × male HNR2T cross was similar to mortality within HNR2T (0.089 vs. 0.07; P =0.91), showing that the presence of Wolbachia in females caused little or no additional mortality. Egg mortality was higher within the Nou and HNR lines than in HNR2 × HNR2T, showing that the presence of Wolbachia in males is necessary for this mortality to occur. Thus, the high intrastrain mortality appears to result from the expression of cytoplasmic incompatibility (CI) in these strains. This is supported further by the observation that unhatched eggs often die after some development in a manner typical of D. simulans eggs expressing CI.
This incompatibility might be explained by an unequal transmission of some of the symbionts to the embryos. However, the transmission data show that the triple infection was transmitted to at least 97.3% of offspring in the HNR2 strain. Therefore, the high incompatibility levels must have been caused by incomplete rescuing in eggs, despite the presence of all three symbionts in the embryo (rescuing interference).
Is this incomplete rescue effect increased by the coexistence of three symbionts? This question could, in principle, be answered by the comparison of mortalities in the different crosses with mortalities expected in the absence of interactions between the different symbionts. In a cross within a single-infected strain, let 1 − d be the fraction of embryos that die from causes other than incompatibility and let 1 − ci be the fraction of embryos dying as a result of incomplete rescue by symbiont i among embryos that do not die from another cause. The different effects on fitness would be multiplicative in the absence of interference: survival = dci in a single-infected strain. If there is no interference between modification effects or between rescuing effects, the total survival in the triple-infected line will be d c1 c2 c3, and in a cross of triple-infected females with males infected by symbionts 1 and 2, survival will be d c1 c2. The data clearly do not fit this model, because sets of crosses that should exhibit survival rates d cwHa cwNo cwRi are significantly heterogeneous: the mortality in HNR2 × HNR2 was lower than in other crosses between triple-infected flies. Also, sets of crosses that should exhibit similar egg survival rates d cwHa cwNo had significantly different ones (HNR2 × Nou vs. HNR5 × Nou, P =0.014; HNR2 × Nou vs. Nou × Nou, P =0.001; HNR5 × Nou vs. Nou × Nou, not significant, P =0.46).
The presence of wRi in HNR2 females, and to a lesser extent in HNR5, makes them more compatible than Nou females when crossed with Nou males. These results suggest that there is rescuing interference in double-infected females, which is stronger than in triple-infected females. This is also the case with M4 males, but to a lesser extent (HNR2 × M4 vs. M4 × M4, P =0.038; HNR5 × M4 vs. M4 × M4, not significant, P =0.46; HNR2 × M4 vs. HNR5 × M4, P =0.20). The comparison of crosses between HNR2 females and M4 and Nou males suggests that interference against wHa and wNo is not very strong in HNR2 females and points to wRi as a weak rescuer in the HNR2 females. Single-infected strains with each of the three symbionts in a Nou nuclear background would be necessary to investigate the interaction of these strains further.
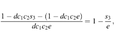
Given that there is no increased interference between the rescuing effects of symbionts in triple- than in double-infected lines, the amount of mortality, 1−swNo, that is attributable to the wNo modification in HNR males can be estimated. If there was no rescuing interference, the mortality in the HNR × M4 cross is (1 − d cwHa cwRi), and the mortality in the reciprocal cross M4 × HNR would be (1 − d cwHa cwRi swNo). As

we would find that (0.727 − 0.259)/(1 − 0.259) = 63.1% of the eggs die from sperm modification by the wNo symbiont. From the crosses between HNR5 and M4, another estimate of this quantity would be 89.3%. These two estimates bracket an independent estimate of 0.743 for 1–swNo, given by the mortalities in the crosses HNR2T × HNR2T and HNR2T × R3A (the latter estimate is based on the assumption that there is no effect of the differences between male genomes in these crosses). Likewise, the comparison of HNR lines with Nou would give estimates of 1–swRi in HNR males, of 0.969 for HNR2 and 0.999 for HNR5. Thus, there would be no notable modification interference acting against wRi in these lines. If, as noted above, there is more rescuing interference in double-infected flies than in triple-infected ones, so that the survival of eggs of double-infected females is d c1 c2 e for some e < 1, then we are estimating

which is lower than the mortality we wish to estimate. The above estimates of mortalities may, therefore, be underestimates of the mortality caused by the third symbiont, particularly for HNR2.
These minimum estimates of mortality caused by either wRi or wNo among embryos that do not die from other causes are minimum frequencies of modification of sperm cells in triple-infected males. They are close to the death rates in crosses between single-infected flies and uninfected females, indicating that the frequency of modification is not much reduced below this level (at most by 1 − 0.631/0.743 = 15% for wNo in HNR2). Therefore, there is little or no evidence for modification interference. Furthermore, we can estimate the frequency of double modification by wNo and wRi of sperm cells in HNR flies. If there is no modification interference between the two symbionts, a minimum estimate of this frequency is 0.631 × 0.969 = 0.611 for HNR2 and 0.892 for HNR5. If there is maximal negative interference, these estimates are 0.631 + 0.969 − 1 = 0.60 for HNR2 and 0.892 for HNR5. If there is maximal positive interference, this is simply the lowest modification frequency, 0.631 or 0.893.
Wolbachia densities in double-and triple-infected flies
Dot blot assays with the dnaA probe show that, in 5-day-old flies, Wolbachia densities are larger in HNR2 than in Nou testes (25 individuals of each strain; P< 0.001). The density was higher in M4 testes than in HNR2 testes, but not significantly different (11 individuals of each strain; P =0.18). In 5-day-old ovaries (11 individuals per strain), M4 was more heavily infected than HNR2 (P =0.002), which, in turn, was more heavily infected than Nou (P =0.013). Among comparisons of series of five samples of ovaries, testes and carcasses of 2-week-old M4, Nou and HNR2 flies (Fig. 2), there are significant differences in Wolbachia densities for male carcasses (Nou lower than each of the other two strains; P =0.009), female carcasses (Nou lower than each of the other two strains; P =0.009) and testes [HNR2 higher than Nou (P =0.009) and M4 (P =0.028)]. Overall, the addition of the wRi symbiont in the Nou background resulted in an increase in Wolbachia densities to levels close to that of the M4 strain, perhaps higher in 2-week-old testes.
Discussion
Triple-infected D. simulans lines were obtained in the laboratory and it was shown that males from these lines are incompatible with double-infected females. The simultaneous action of different modification/rescue effects by different Wolbachia strains within individual mosquitoes has been proposed to explain the complex polymorphisms of incompatibility types found in the mosquito Culex pipiens (Hoffmann & Turelli, 1997), and the present results are consistent with this explanation. It is also possible that each Culex mosquito is infected by only one Wolbachia strain, but that each Wolbachia strain may be responsible for several modification/rescue mechanisms. This would occur if modification/rescue genes were present as multiple copies of a CI gene family. In addition, the triple infection was stably maintained and transmitted under laboratory conditions. Thus, there is no obvious obstacle to the establishment of triple infections in natural populations. However, no triple infection has yet been described. This may result from insufficient variability of the molecular markers used previously to detect multiple infections, or from the scarcity of triple infections in nature. Such scarcity could result from several causes. To some extent, it is expected that triple infections would be rare if each infection invades a host population independently of the former infection(s) of that population by another Wolbachia strain. Then, the number of infections in individuals of a randomly chosen species would follow a Poisson distribution, so that, if all populations of 15% of insect species were infected by at least one symbiont, 13.8% would contain only one, 1.1% would contain two, 0.06% would contain three, and so on. Obviously, we do not expect such a simple pattern. It is likely that different hosts have different susceptibilities to infection, so that even if a third symbiont is as likely to spread into a double-infected population as a symbiont is to spread into an initially uninfected one, the frequency of double infections will be larger than expected under the Poisson distribution. This appears to be the case (Werren et al., 1995), and we may expect a larger frequency of triple infections as well.
We have shown that any modification interference in males is weak. There may be some rescuing interference in females, but it leads to less rescuing in double-infected females than in triple-infected ones. Therefore, this is not simply a consequence of putting more symbiont strains in competition with each other. In tetracycline-treated Nasonia, Breeuwer & Werren (1993) found that an egg could be rescued despite the absence of symbionts in the eggs, suggesting that Wolbachia determine the status of the egg while it matures, not by their mere presence in the mature egg. We have found that an egg may not be rescued in spite of the presence of the symbionts in the eggs, which may be caused by a similar phenomenon. Alternatively, there may not be enough symbionts of each strain in some eggs to ensure complete rescuing.
It is also possible that some interference occurs between symbionts in natural populations. The various possible forms of interaction between symbionts might increase or reduce the probability that a triple infection would spread in natural populations. Modification interference can reduce this probability. Alternatively, one symbiont strain could weaken the immune defence of its host, allowing an increase in the density of other strains. In a panmictic double-infected population, this spread depends mainly on the relative fitnesses of the triple- × double-infected and the double- × double-infected crosses, because Wolbachia is transmitted maternally, and females mate mostly with double-infected males when the triple infection is rare. Could the incompatibility patterns observed in such crosses lead to an absence of triple-infected flies in nature? Comparisons of the relative fitnesses of triple × double and double × double crosses lead to the opposite conclusion. The triple infection would be favoured in a wHa + wNo double-infected population, because mortality in the HNR2 × Nou is much lower than in the Nou × Nou cross (the trend is the same for HNR5 but less marked). The triple infection would also be favoured in a wHa + wRi (but the triple × double and double × double crosses compared in the latter case are in different genomic backgrounds).
In these experiments, the flies were raised at low densities. Rearing conditions may affect Wolbachia densities (Sinkins et al., 1995b; Perrot-Minnot et al., 1996; Hoffmann et al., 1998) and competition effects between different Wolbachia strains. In addition, the relative densities of the three different Wolbachia strains may differ slightly in the HNR2 and HNR5 strains. This could explain the significant differences between these two strains in crosses, including the high interstrain egg mortalities (HNR2 × HNR5 and reciprocal cross). If the density of some Wolbachia strain(s) was close to the minimum required for rescuing CI and slightly variable from individual to individual, this could also explain the high levels of CI within double- and triple-infected strains. More sensitive molecular tools would be necessary to investigate these differences. The magnitude of these interactions would be affected by natural conditions, because Wolbachia densities may differ in natural and laboratory conditions (Turelli & Hoffmann, 1995) and, for a given Wolbachia strain, the level of cytoplasmic incompatibility may depend on the Wolbachia density (Binnington & Hoffmann, 1989; Boyle et al., 1993; Bressac & Rousset, 1993; Merçot et al., 1995; Sinkins et al., 1995b).
The dot blot experiments show that the addition of the wRi symbiont results in an increase in Wolbachia densities, particularly in carcasses. Therefore, the host strain does not maintain Wolbachia densities at a fixed level independent of the Wolbachia strain(s) present. Rather, there are different regulation mechanisms for the different Wolbachia strains. wHa is also present at lower densities than wRi in different strains (Rousset & de Stordeur, 1994; Sinkins et al., 1995b; Bourtzis et al., 1996). As the wHa and wNo infections are probably old (0.5 Myr or more; Rousset & Solignac, 1995) and the wRi infection may be much more recent because it is associated with a specific mitochondrial DNA subtype (Hale & Hoffmann, 1990; Turelli et al., 1992), the different densities of Wolbachia strains may be the result of an evolved specific response to wHa and wNo infections by D. simulans or an evolution of the symbionts themselves towards less virulence (Turelli, 1994).
From an applied perspective, the observation that triple infections can be generated in the laboratory and are maintained in a stable manner without high levels of interference between strains suggests that it may be possible to use Wolbachia to sweep foreign genes into pest populations repeatedly (Sinkins et al., 1997). The upper limit on the number of different infections an insect host can maintain remains to be determined, but would appear to be greater than three.
References
Binnington, K. C. and Hoffmann, A. A. (1989). Wolbachia-like organisms and cytoplasmic incompatibility in Drosophila simulans. J Invert Pathol, 54: 344–352.
Bourtzis, K., Nirgianaki, A., Onyango, P. and Savakis, C. (1994). A prokaryotic dnaA sequence in Drosophila melanogaster: Wolbachia infection and cytoplasmic incompatibility among laboratory strains. Insect Mol Biol, 3: 131–142.
Bourtzis, K., Nirgianaki, A., Markakis, G. and Savakis, C. (1996). Wolbachia infection and cytoplasmic incompatibility in Drosophila species. Genetics, 144: 1063–1073.
Boyle, L., O'Neill, S. L., Robertson, H. M. and Karr, T. L. (1993). Interspecific and intraspecific horizontal transfer of Wolbachia in Drosophila. Science, 260: 1796–1799.
Braig, H. R., Zhou, W. G., Dobson, S. L. and O'Neill, S. L. (1998). Cloning and characterization of a gene encoding the major surface protein of the bacterial endosymbiont Wolbachia pipientis. J Bacteriol, 180: 2373–2378.
Breeuwer, J. A. J. and Werren, J. H. (1993). Cytoplasmic incompatibility and bacterial density in Nasonia vitripennis. Genetics, 135: 565–574.
Bressac, C. and Rousset, F. (1993). The reproductive incompatibility system in Drosophila simulans: DAPI-staining analysis of the Wolbachia symbionts in sperm cysts. J Invert Pathol, 61: 226–230.
Guillemaud, T., Pasteur, N. and Rousset, F. (1997). Contrasting levels of variability between cytoplasmic genomes and incompatibility types in the mosquito Culex pipiens. Proc R Soc B, 264: 245–251.
Hale, L. R. and Hoffmann, A. A. (1990). Mitochondrial DNA polymorphism and cytoplasmic incompatibility in natural populations of Drosophila simulans. Evolution, 44: 1383–1386.
Hoffmann, A. A. and Turelli, M. (1997). Cytoplasmic incompatibility in insects. In: O'Neill, S. L., Hoffmann, A. A. and Werren, J. H. (eds) Influential Passengers: Inherited Microorganisms and Arthropod Reproduction, pp. 42–80. Oxford University Press, Oxford.
Hoffmann, A. A., Turelli, M. and Simmons, G. M. (1986). Unidirectional incompatibility between populations of Drosophila simulans. Evolution, 40: 692–701.
Hoffmann, A. A., Hercus, M. and Dagher, H. (1998). Population dynamics of the Wolbachia infection causing cytoplasmic incompatibility in Drosophila melanogaster. Genetics, 148: 221–231.
Merçot, H., Llorente, B., Jacques, M., Atlan, A. and Montchamp-Moreau, C. (1995). Variability with the Seychelles cytoplasmic incompatibility system in Drosophila simulans. Genetics, 141: 1015–1023.
O'Neill, S. L. and Karr, T. L. (1990). Bidirectional incompatibility between conspecific populations of Drosophila simulans. Nature, 348: 178–180.
O'Neill, S. L., Giordano, R., Colbert, A. M. E., Karr, T. L. and Robertson, H. M. (1992). 16S rRNA phylogenetic analysis of the bacterial endosymbionts associated with cytoplasmic incompatibility in insects. Proc Natl Acad Sci USA, 89: 2699–2702.
Perrot-Minnot, M., Guo, L. R. and Werren, J. H. (1996). Single and double infections with Wolbachia in the parasitic wasp Nasonia vitripennis: effects on compatibility. Genetics, 143: 961–972.
Rigaud, T. and Rousset, F. (1996). What generates the diversity of Wolbachia–arthropod interactions? Biodiv Conserv, 5: 999–1013.
Rousset, F. and de Stordeur, E. (1994). Properties of Drosophila simulans strains experimentally infected by different clones of the bacterium Wolbachia. Heredity, 72: 325–331.
Rousset, F. and Solignac, M. (1995). Evolution of single and double Wolbachia symbioses during speciation in the Drosophila simulans complex. Proc Natl Acad Sci USA, 92: 6389–6393.
Sinkins, S. P., Braig, H. R. and O'Neill, S. L. (1995a). Wolbachia superinfections and the expression of cytoplasmic incompatibility. Proc R Soc B, 261: 325–330.
Sinkins, S. P., Braig, H. R. and O'Neill, S. L. (1995b). Wolbachia pipientis: bacterial density and unidirectional cytoplasmic incompatibility between infected populations of Aedes albopictus. Exp Parasitol, 81: 284–291.
Sinkins, S. P., Curtis, C. F. and O'Neill, S. L. (1997). The potential application of inherited symbiont systems to pest control. In: O'Neill, S. L., Hoffmann, A. A. and Werren, J. H. (eds) Influential Passengers: Inherited Microorganisms and Arthropod Reproduction, pp. 165–175. Oxford University Press, Oxford.
Sorrentino, R., Iannicola, C., Costanzi, S., Chersi, A. and Tosi, R. (1991). Detection of complex alleles by direct analysis of DNA heteroduplexes. Immunogenetics, 33: 118–123.
Turelli, M. (1994). Evolution of incompatibility-inducing microbes and their hosts. Evolution, 48: 1500–1513.
Turelli, M. and Hoffmann, A. A. (1995). Cytoplasmic incompatibility in Drosophila simulans: dynamics and parameter estimates from natural populations. Genetics, 140: 1319–1338.
Turelli, M., Hoffmann, A. A. and McKechnie, S. W. (1992). Dynamics of cytoplasmic incompatibility and mtDNA variation in natural Drosophila simulans populations. Genetics, 132: 713–723.
Werren, J. H. (1997). Biology of Wolbachia. Ann Rev Entomol, 42: 587–609.
Werren, J. H., Zhang, W. and Guo, L. R. (1995). Evolution and phylogeny of Wolbachia: reproductive parasites of arthropods. Proc R Soc B, 261: 55–63.
White, M. B., Carvalho, M., Derse, D., O'Brien, S. J. and Dean, M. (1992). Detecting single base substitutions as heteroduplex polymorphisms. Genomics, 12: 301–306.
Zhou, W.-G., Rousset, F. and O'Neill, S. L. (1998). Phylogeny and PCR based classification of Wolbachia strains using wsp gene sequences. Proc R Soc B, 265: 509–515.
Acknowledgements
We thank K. Bourtzis, S. L. Dobson and W.-G. Zhou for technical advice, and H. Merçot and D. Poinsot for providing the R3A strain. This work was supported by grants from the National Institute of Health (AI 40620), the UNDP/World Bank/WHO Special programme for Research and Training in Tropical Diseases and a NATO research grant to F.R. Publication ISEM no. 98–155.
Author information
Authors and Affiliations
Corresponding author
Rights and permissions
About this article
Cite this article
Rousset, F., Braig, H. & O'Neill, S. A stable triple Wolbachia infection in Drosophila with nearly additive incompatibility effects. Heredity 82, 620–627 (1999). https://doi.org/10.1046/j.1365-2540.1999.00501.x
Received:
Accepted:
Published:
Issue date:
DOI: https://doi.org/10.1046/j.1365-2540.1999.00501.x
Keywords
This article is cited by
-
A Wolbachia triple-strain infection generates self-incompatibility in Aedes albopictus and transmission instability in Aedes aegypti
Parasites & Vectors (2018)
-
Superinfection of cytoplasmic incompatibility-inducing Wolbachia is not additive in Orius strigicollis (Hemiptera: Anthocoridae)
Heredity (2011)
-
Genome-wide analysis of the interaction between the endosymbiotic bacterium Wolbachia and its Drosophila host
BMC Genomics (2008)
-
Multiple infections and diversity of cytoplasmic incompatibility in a haplodiploid species
Heredity (2005)
-
Wolbachia variant that induces two distinct reproductive phenotypes in different hosts
Heredity (2005)




