Abstract
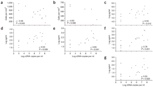
Avian influenza A (H5N1) viruses cause severe disease in humans1,2, but the basis for their virulence remains unclear. In vitro and animal studies indicate that high and disseminated viral replication is important for disease pathogenesis3,4,5. Laboratory experiments suggest that virus-induced cytokine dysregulation may contribute to disease severity6,7,8,9. To assess the relevance of these findings for human disease, we performed virological and immunological studies in 18 individuals with H5N1 and 8 individuals infected with human influenza virus subtypes. Influenza H5N1 infection in humans is characterized by high pharyngeal virus loads and frequent detection of viral RNA in rectum and blood. Viral RNA in blood was present only in fatal H5N1 cases and was associated with higher pharyngeal viral loads. We observed low peripheral blood T-lymphocyte counts and high chemokine and cytokine levels in H5N1-infected individuals, particularly in those who died, and these correlated with pharyngeal viral loads. Genetic characterization of H5N1 viruses revealed mutations in the viral polymerase complex associated with mammalian adaptation and virulence. Our observations indicate that high viral load, and the resulting intense inflammatory responses, are central to influenza H5N1 pathogenesis. The focus of clinical management should be on preventing this intense cytokine response, by early diagnosis and effective antiviral treatment.
This is a preview of subscription content, access via your institution
Access options
Subscribe to this journal
Receive 12 print issues and online access
$259.00 per year
only $21.58 per issue
Buy this article
- Purchase on SpringerLink
- Instant access to the full article PDF.
USD 39.95
Prices may be subject to local taxes which are calculated during checkout

Similar content being viewed by others
References
Tran, T.H. et al. Avian influenza A (H5N1) in 10 patients in Vietnam. N. Engl. J. Med. 350, 1179–1188 (2004).
Chotpitayasunondh, T. et al. Human disease from influenza A (H5N1), Thailand, 2004. Emerg. Infect. Dis. 11, 201–209 (2005).
Govorkova, E.A. et al. Lethality to ferrets of H5N1 influenza viruses isolated from humans and poultry in 2004. J. Virol. 79, 2191–2198 (2005).
Maines, T.R. et al. Avian influenza (H5N1) viruses isolated from humans in Asia in 2004 exhibit increased virulence in mammals. J. Virol. 79, 11788–11800 (2005).
Yen, H.L., Monto, A.S., Webster, R.G. & Govorkova, E.A. Virulence may determine the necessary duration and dosage of oseltamivir treatment for highly pathogenic A/Vietnam/1203/04 influenza virus in mice. J. Infect. Dis. 192, 665–672 (2005).
Seo, S.H., Hoffmann, E. & Webster, R.G. Lethal H5N1 influenza viruses escape host anti-viral cytokine responses. Nat. Med. 8, 950–954 (2002).
Cheung, C.Y. et al. Induction of proinflammatory cytokines in human macrophages by influenza A (H5N1) viruses: a mechanism for the unusual severity of human disease? Lancet 360, 1831–1837 (2002).
Lipatov, A.S. et al. Pathogenesis of Hong Kong H5N1 influenza virus NS gene reassortants in mice: the role of cytokines and B- and T-cell responses. J. Gen. Virol. 86, 1121–1130 (2005).
Chan, M.C. et al. Proinflammatory cytokine responses induced by influenza A (H5N1) viruses in primary human alveolar and bronchial epithelial cells. Respir. Res. 6, 135 (2005).
Smith, G.J.D. et al. Evolution and adaptation of H5N1 influenza virus in avian and human hosts in Indonesia and Vietnam. Virology 350, 258–268 (2006).
Obenauer, J.C. et al. Large-scale sequence analysis of avian influenza isolates. Science 311, 1576–1580 (2006).
Hatta, M., Gao, P., Halfmann, P. & Kawaoka, Y. Molecular basis for high virulence of Hong Kong H5N1 influenza A viruses. Science 293, 1840–1842 (2001).
Gabriel, G. et al. The viral polymerase mediates adaptation of an avian influenza virus to a mammalian host. Proc. Natl. Acad. Sci. USA 102, 18590–18595 (2005).
Salomon, R. et al. The polymerase complex genes contribute to the high virulence of the human H5N1 influenza virus isolate A/Vietnam/1203/04. J. Exp. Med. 203, 689–697 (2006).
Beigel, J.H. et al. Avian influenza A (H5N1) infection in humans. N. Engl. J. Med. 353, 1374–1385 (2005).
de Jong, M.D. et al. Fatal avian influenza A (H5N1) in a child presenting with diarrhea followed by coma. N. Engl. J. Med. 352, 686–691 (2005).
Chutinimitkul, S. et al. H5N1 influenza A virus and infected human plasma. Emerg. Infect. Dis. 12, 1041–1043 (2006).
To, K.F. et al. Pathology of fatal human infection associated with avian influenza A H5N1 virus. J. Med. Virol. 63, 242–246 (2001).
Peiris, J.S. et al. Re-emergence of fatal human influenza A subtype H5N1 disease. Lancet 363, 617–619 (2004).
Tumpey, T.M., Lu, X., Morken, T., Zaki, S.R. & Katz, J.M. Depletion of lymphocytes and diminished cytokine production in mice infected with a highly virulent influenza A (H5N1) virus isolated from humans. J. Virol. 74, 6105–6116 (2000).
Zhou, J. et al. Functional tumor necrosis factor-related apoptosis-inducing ligand production by avian influenza virus-infected macrophages. J. Infect. Dis. 193, 945–953 (2006).
Sauty, A. et al. The T cell-specific CXC chemokines IP-10, Mig, and I-TAC are expressed by activated human bronchial epithelial cells. J. Immunol. 162, 3549–3558 (1999).
Sousa, A.R. et al. Increased expression of the monocyte chemoattractant protein-1 in bronchial tissue from asthmatic subjects. Am. J. Respir. Cell Mol. Biol. 10, 142–147 (1994).
Jorens, P.G. et al. Interleukin 8 (IL-8) in the bronchoalveolar lavage fluid from patients with the adult respiratory distress syndrome (ARDS) and patients at risk for ARDS. Cytokine 4, 592–597 (1992).
Openshaw, P.J. What does the peripheral blood tell you in SARS? Clin. Exp. Immunol. 136, 11–12 (2004).
de Jong, M.D. et al. Oseltamivir resistance during treatment of influenza A (H5N1) infection. N. Engl. J. Med. 353, 2667–2672 (2005).
Boom, R. et al. Rapid and simple method for purification of nucleic acids. J. Clin. Microbiol. 28, 495–503 (1990).
Chen, H. et al. Establishment of multiple sublineages of H5N1 influenza virus in Asia: Implications for pandemic control. Proc. Natl. Acad. Sci. USA (2006).
Guan, Y. et al. Emergence of multiple genotypes of H5N1 avian influenza viruses in Hong Kong SAR. Proc. Natl. Acad. Sci. USA 99, 8950–8955 (2002).
Acknowledgements
We thank the medical and nursing staff of the Hospital for Tropical Disease, the Pediatric Hospital Number One and the Pediatric Hospital Number Two in Ho Chi Minh City for their help in this study and their care of patients suspected or diagnosed with influenza H5N1. This work was funded by the Wellcome Trust.
Author information
Authors and Affiliations
Contributions
The study was designed and analyzed by M.D.d.J., C.P.S., T.T.H. and J.F.; laboratory studies were performed by T.T.T., V.M.H., T.N.B.C., D.M.H. and D.Q.H.; sequence analyses were done by G.J.D.S., Y.G. and J.S.M.P.; clinical data collection was done by N.V.V.C., T.H.K., V.C.D., P.T.Q., B.V.C. and N.T.C.; M.D.d.J., C.P.S., J.S.M.P., T.T.H. and J.F. contributed to the writing of the paper.
Corresponding author
Ethics declarations
Competing interests
The authors declare no competing financial interests.
Supplementary information
Supplementary Fig. 1
Pharyngeal virus load in relation to onset of illness during H5N1 influenza and human influenza. (PDF 425 kb)
Supplementary Fig. 2
Nasal, pharyngeal and tracheal virus load during the course of illness in two H5N1 patients (PDF 650 kb)
Supplementary Table 1
Peripheral blood lymphocyte counts and CD4+/CD8+ ratios. (PDF 59 kb)
Supplementary Table 2
GenBank accession numbers of H5N1 viral sequences and clinical outcome of patients. (PDF 64 kb)
Rights and permissions
About this article
Cite this article
de Jong, M., Simmons, C., Thanh, T. et al. Fatal outcome of human influenza A (H5N1) is associated with high viral load and hypercytokinemia. Nat Med 12, 1203–1207 (2006). https://doi.org/10.1038/nm1477
Received:
Accepted:
Published:
Issue date:
DOI: https://doi.org/10.1038/nm1477
This article is cited by
-
Review of the potential pharmacological role of erucic acid: a monounsaturated omega-9 fatty acid
Naunyn-Schmiedeberg's Archives of Pharmacology (2024)
-
Ambient atmospheric PM worsens mouse lung injury induced by influenza A virus through lysosomal dysfunction
Respiratory Research (2023)
-
A potential Chinese medicine monomer against influenza A virus and influenza B virus: isoquercitrin
Chinese Medicine (2023)
-
Increased Fungal Infection Mortality Induced by Concurrent Viral Cellular Manipulations
Lung (2023)
-
Evolutionary characterization and pathogenicity of Getah virus from pigs in Guangdong Province of China
Archives of Virology (2023)


