Abstract
This study is based on the ink stick unearthed from the tombs of the Northern Song Dynasty (960 CE–1127 CE) in Xi ’an, Shaanxi Province. The sample was analyzed by Scanning electron microscopy (SEM), Attenuated Total Reflectance Fourier-Transform Infrared Spectroscopy (ATR-FTIR), Thermogravimetric analysis (TGA), Energy dispersive analysis (EDS) and Microscopic laser Raman spectroscopy (Raman). The sample was identified as pine-soot ink, and there is a possibility that animal glue was added during the production process. In addition, lime (CaCO3) for shade drying, lithargite (PbO) for insecticidal effect and white quartz (SiO2), which is used to increase the luster of the ink and remove moisture, were detected in both the ash and the ink stick. This study reveals the production process of pine-soot ink from an inorganic point of view and enriches the study of ancient Chinese ink sticks.
Similar content being viewed by others
Introduction
As an important writing material, ink plays a very important role in recording and transmitting world history. Unlike liquid ink commonly used in the West1,2,3,4,5, ink in ancient China was mostly solid, which is related to its production process. By adding glue to the soot particles and repeatedly pounding them to make them tightly bound, it finally took on a solid state. Because of this, ancient Chinese ink can be preserved to this day and is an important invention created by the ancient Chinese ancestors.
Ancient Chinese ink sticks were generally made of a combination of soot, animal glue and other additives6. Among them, soot was the main substance, and according to the different sources of soot, the ink can be categorized into two main groups: pine-soot ink and oil-soot ink. The soot of the former group was obtained by incomplete combustion of pine branches, while the soot of the latter group came from incomplete combustion of oils and fats7. In China, the earliest ink found archaeologically is a pine-soot ink stick from the late Warring States period (战国晚期) (306–221 BCE)8, before which naturally-obtained charcoal black was mostly used as a black pigment9. The ink sticks of this period were handmade, but the craftsmanship was relatively crude. By the Eastern Han Dynasty (东汉) (25–220 CE), with the widespread use of paper, the development of pine-soot ink had begun to take shape, and the shape of the ink stick was gradually regularized. During the Wei and Jin Dynasties (魏晋) (220–420 CE), pine-soot ink became the main ink product of the time, and the first ink recipe in Chinese history appeared during the Northern and Southern Dynasties (南北朝) (420–589 CE)10. Thereafter, the influence of the Tang Dynasty (唐) (618–907 CE) literati’s preference for writing books and the widespread use of printing during the Northern Song Dynasty (北宋) (960–1127 CE) further promoted the development of the ink-making industry. To the Song Dynasty (宋) (960–1279 AD), especially in the Northern Song Dynasty (北宋) (960–1127 CE), the production process of pine-soot ink has been very mature. However, due to the unavailability of pine wood, pine-soot ink was gradually replaced by oil-soot ink after the Song Dynasty (宋)7. Nonetheless, pine-soot ink has occupied China for nearly 2000 years, and was the beginning of manual ink-making in ancient China, providing a wealth of experience in the development of ancient oil-soot ink as well as modern ink-making processes.
Previously, some scholars have already studied the composition and process of ancient Chinese ink sticks11,12, however, since these samples are all relatively early in date, mainly focusing on the Han-Wei period (汉魏时期) (202 BCE–317 CE), they can only reflect the ink-making process in early ancient China. In addition, current research on ancient Chinese ink sticks mainly focuses on organic matter. For example, in 2012, Wei et al. used pyrolysis gas chromatography and mass spectrometry (Py-GC/MS) to analyze an ink stick unearthed from the Leitiao (雷鋽) tomb in the Eastern Jin (东晋) Dynasty in Nanchang (南昌), China, and detected organic additives such as borneol (冰片) and cedar oil13. In 2018, Guan et al. used infrared spectral analysis and gas chromatography-mass spectrometry (GC-MS) and other methods to analyze an ancient ink sample unearthed from the tomb of the Haihunhou (海昏侯) of the Western Han Dynasty (西汉) (202 BCE–8 CE) in Nanchang (南昌), Jiangxi (江西) Province, and proved that it was an early artificially produced pine-soot ink stick; they also compared it with the modern pine-soot ink, and deduced that animal glue might have been added to it14. In 2021, Yao et al. conducted scientific and technological analysis of an ink stick unearthed from a late Warring States period (战国晚期) (306–221 BCE) tomb in Jiudian (九店), Jiangling (江陵), Hubei (湖北), and combined infrared spectroscopy, transmission electron microscopy, and Py-GC/MS to comprehensively determine that the sample was a pine-soot ink, and camphor and cedar oil were detected15. As for the exploration of inorganic components in ancient ink sticks, as early as 1997, Cheng et al. had already found higher contents of Ca and Pb elements in ancient ink sticks by using proton induced X-ray emission (PIXE), but did not discuss them in depth16. In 2024, Gao et al. studied modern Chinese ink sticks by using thermogravimetric analysis (TGA) and scanning electron microscopy-energy dispersive spectroscopy (SEM-EDS), and also found a higher content of Ca element, which was thought to be caused by the addition of calcium carbonate (CaCO3) to the ink, but did not explain the reason for the presence of calcium carbonate in the ink17.
In order to fully study the production process of ancient Chinese ink sticks, this study selected the ink stick unearthed from the Northern Song Dynasty (北宋) Tomb M23 at the Xi’an Archaeological Site in Shaanxi (陕西) Province for scientific and technological analysis. The Song Dynasty (宋) occupies a very important position in the history of China’s ink production process, and during this period, the development of ancient pine-soot ink reached its peak stage, which contains even more information about the process. The study intends to use scanning electron microscope to observe the micro-morphology of the sample, and Attenuated Total Reflectance Fourier-Transform Infrared Spectroscopy to detect the organic component in the sample. Thermogravimetric and Raman analyses will also be performed, in an attempt to combine organic and inorganic analytical methods to reveal information about the ancient Chinese ink-making process from multiple perspectives and to enrich the research in the field of ancient Chinese ink-making process.
Methods
Material
The sample is from the Northern Song Dynasty (北宋) Fanxiaochong (范孝充) Tomb M23 at the Shaanxi Normal University (陕西师范大学) archaeological site. The photograph of the sample is shown in Fig. 1. It can be observed that there are obvious cracks on the surface of the sample and the phenomenon of localized flaking, thus exposing the internal condition of the sample. Compared with the whitish surface color and the existence of different degrees of yellow cover, which may be caused by the contact between the sample surface and the soil in the tomb, the internal color of the sample is darker and very uniform, with no obvious contamination. The analyzed samples were taken from the uncontaminated interior of the ink stick.
a Panoramic view of the archaeological site, b Panoramic view of the burials, c Photographs of samples unearthed, d Photographs of samples: d1 front side of the sample, d2 back side of the sample.
Scanning electron microscope (SEM)
A high-resolution field emission scanning electron microscope, SU8010, manufactured by Hitachi, Japan, was used to observe the micro-morphological characteristics of the sample soot particles. Before the experiment, the sample was first embedded with resin, and then stuck on the conductive adhesive for observation after curing, without gold spraying and carbon spraying treatment. In addition, the modern pine-soot ink and modern oil-soot ink produced by Shanghai Ink Factory were also selected as the standard samples for this experiment for control. The test conditions were in scattering mode with an accelerating voltage of 3 kV, a magnification of 20.0 k× and a working distance of 9.2 mm.
Attenuated total reflectance fourier-transform infrared spectroscopy (ATR-FTIR)
The test was carried out in ATR mode using a LUMOS Fourier Transform Infrared Spectrometer manufactured by Bruker, Germany. Before testing, some of the contaminants were removed from the surface of the ink stick and a piece was taken from the uncontaminated area for analysis. The test was conducted by directly contacting the ATR crystal with the surface of the ink stick. The spectra were recorded using OPUS 7.5 software with 64 background scans, a wave number range of 4000~600 cm−1 and a resolution of 4 cm−1. Data processing and plotting were performed using Origin software.
Thermogravimetric analysis (TGA)
The sample was analyzed thermogravimetrically using a comprehensive thermal analyzer model SDT Q600 V20.9 Build 20 from TA Instruments, USA. Prior to analysis, a 5 mg sample was selected from the uncontaminated area inside the ink stick and ground into powder. The tests were carried out under air atmosphere using aluminum oxide crucible. The gas flow rate was 100 ml/min, the starting and stopping temperatures were from room temperature to 700 °C, and the heating rate was 5 °C/min. The data were exported and then plotted and analyzed as TG curves using Origin software.
Energy dispersive spectroscopy (EDS)
Using the X-ACT type X-ray spectrometer produced by Oxford Instrument Company in the United Kingdom, with the VEGA3-XMU scanning electron microscope produced by TESCAN Company in the Czech Republic to analyze the composition of the ash left behind after thermal gravimetric analysis of the ink stick samples. An appropriate amount of ash powder was taken and pasted on the conductive adhesive without gold spraying and carbon spraying. The analysis was carried out in scattering mode at an accelerating voltage of 10 kV, a magnification of 100× and a working distance of 19 mm.
Micro-laser Raman spectroscopy (Raman)
An in Via Qontor model micro confocal Raman spectrometer manufactured by Renishaw (UK) was used with an in Via microscope equipped with a 5–100× working distance objective lens and WiRE 5.5 software. The Raman spectrometer has three laser sources, 532 nm, 633 nm and 785 nm, and the 532 nm laser was used for all this analysis. The black pigment laser power was 0.5 mW, and the spectral range of acquisition was 110–3000 cm−1. The white and yellow particles laser power was 2.5 mW, and the spectral range of acquisition was 110–1500 cm−1. The magnification of the objective lens was 50× for both. Data processing and spectrogram plotting were performed with Origin software.
Results
Scanning electron microscope analysis results
Due to the differences in raw materials, the soot particles of pine-soot ink and oil-soot ink have different micro-morphological features, and scanning electron microscopy has now become an important method to determine the type of ink sticks18. In this study, modern ink sticks were used as a control to determine the type of sample based on the micro-morphological characteristics of the soot particles, and the magnification was 20.0k×. The micrographs are shown in Fig. 2. As can be seen from the figure, the shape of the sample soot particles is nearly spherical, with loose distribution and non-uniform size, and there is the phenomenon of some particles agglomerating and fusing. The size of the sample particles was measured to be around 100 nm on average.
a Sample, b Modern pine-soot ink, c Modern oil-soot ink.
At present, the existing studies have shown that the soot particles of pine-soot ink have the micro-morphological characteristics of nearly spherical, uneven size and loose distribution. The diameter of the particles is distributed around 100 nm. And there is a part of the particles melting phenomenon. The particles of oil-soot ink are irregular aggregates, the size of which is more uniform, and the particle size is around 30 nm12,19. In terms of particle morphology and size, the sample is closer to the characteristics of pine-soot ink. Therefore, the sample is judged to be pine-soot ink based on the scanning electron micrographs.
However, more than a thousand years ago, science and technology were not advanced. The ancients needed a high level of craftsmanship to achieve the size of the soot particles in the ink stick to the nanometer level. This is inextricably linked to the process of taking materials, selecting soot and pounding in making ink stick. First of all, the choice of pine wood determines the quality of the soot, during the Eastern Han Dynasty (东汉), Shao Ying (应劭) wrote the book called “Han-Guan-Yi (汉官仪)”, which recorded that “the prime minister, the deputy prime minister, the secretary general and the drafter of documents are given one large ink and one small ink from Yu Mi every month (尚书令、仆、丞、郎月赐喻糜大墨一枚、小墨一枚).”20. The name “Yu Mi (喻糜)” refers to today’s Qianyang (千阳), Shaanxi (陕西) Province, China, which was an important source of fine pine wood at that time. This shows that as late as the Han Dynasty, the ancients already had a clear knowledge of the origin of fine pine wood7. Next is the collection of soot, in order to better enrich the soot particles, the firing is usually carried out in a closed soot kiln, which can be categorized into flat kiln and vertical kiln according to the different shapes. Due to the light weight of the soot particles, it will be attached to the kiln wall, and the top soot particles are smaller and lighter, therefore, the “far soot” and “top soot” particles in the kiln are the finest, and the quality of the ink stick made from this kind of soot is the best21. In the Ming Dynasty (明), the book “Tian-Gong-Kai-Wu (天工开物)” written by Yingxing Song (宋应星) also recorded that in the process of firing the soot, “the soot located in the last one or two sections is the purest, and is taken as the material for the finest ink stick (靠尾一二节者为清烟, 取入佳墨为料)”22.
In addition, pounding is also an important step in the ink stick production process. In ancient times, the production of ink sticks have “add a small amount of glue and pound tens of thousands of times (轻胶万杵)” said, only after repeated pounding, can make the soot particles and animal glue fully combined, the production of ink sticks will be tougher23. In the Northern Wei period (北魏时期) (386–534 CE), Sixie Jia (贾思勰) wrote the book “Qi-Min-Yao-Shu (齐民要术)”, which is one of the earliest surviving works on agriculture in China. The book recorded a large number of production methods and techniques, including the “Combined ink method (合墨法)”, mentioned before molding, ink needs to go through the process of “pounding 30,000 times, the more times more good (捣三万杵, 杵多益善)”24. Furthermore, in the “Tian-Gong-Kai-Wu (天工开物)”, Yingxing Song (宋应星) also pointed out that the ink “after adding the animal glue, the number of whacks determines the hardness of the ink stick (和胶之后, 以捶敲多寡分脆坚)”, reflecting the importance of whacks to the ink.
Attenuated total reflection Fourier transform infrared spectral analysis results
The results of ATR-FTIR analysis of the ink stick sample are shown in Fig. 3. The broad peak at 3213 cm−1 in the figure represents the vibrational stretching of the hydroxyl group -OH25. The peaks at positions 2946 cm−1 and 2893 cm−1 are formed by the stretching vibrations of the C-H bonds in -CH3 and -CH226. The sharp peak at 2360 cm−1 is the detected CO2 background in air. 1718 cm−1 from the C=O in the amide group of the protein (amide I) and 1558 cm−1 from the C-N-H bending vibration of the protein (amide II)27. 1395 cm−1 can be assigned to the C-O asymmetric stretching vibrations of carbonate CO32− 25,28,29. 1230 cm−1 is mainly a stretching vibration of the C-N bond and is known as the amide III band30. The peak at 1146 cm−1 belongs to the C-O-C stretching vibration31. 1001 cm−1 is due to the Si-O-Si asymmetric stretching vibration32.
ATR-FTIR analysis results of the sample.
The presence of the amide group indicates the presence of protein residues in the sample, and based on the fact that the ancients usually added animal glue to the ink sticks during the production process, this sample may have been made with animal glue as well. Animal glue is an adhesive, the main components of which are gelatin and residues of other proteins collagen, keratin or elastin. It can be made from bones, hides and the intestines of animals (fish, sheep, cattle, horses, etc.). Animal skins and bones are heated with hot water to gather the gelatine in them, cooled and dried to make animal glue33. Because of its easy accessibility, convenient processing and low cost, it was a commonly used type of glue by ancient Chinese artisans34. Among many animal glues, deer glue, cow glue, fish glue and egg glue were commonly used by ancient Chinese35. And depending on the actual situation, the ancients also mixed many kinds of animal glues36.
Glue also plays a very important role in the production of ink sticks. Jiyi Chao (晁季一), a scholar of the Song Dynasty, once wrote in his book “Mo-Jing (墨经)” that “for all ink sticks, glue is the most important. If you have the best soot but the glue method is not appropriate, the ink sticks will not be good. If you get the right glue method, even if you don’t have that good soot, you can make good ink sticks (凡墨, 胶为大。有上等煤而胶不如法, 墨亦不佳。如得胶法, 虽次煤能成善墨)”37. The addition of animal glue can not only coagulate the soot particles into a solid form of ink stick, which plays a role in molding, but also make the ink stick not easy to appear particles precipitation after grinding with water, which is convenient for writing. In addition, it can also enhance the bond between ink and paper, which is not easy to fall off after writing, and is conducive to the long-term preservation of calligraphy and painting works21. The ATR-FTIR analysis reveals that the sample may have been added with animal glue during the production process, which is an important reason why the ancient ink sticks can still maintain their original form after being buried in tombs for more than a thousand years.
Thermogravimetric analysis results
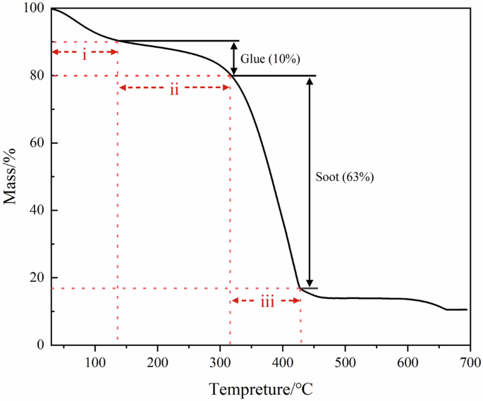
The ink sticks are mainly composed of soot and glue, which have large differences in thermal decomposition and weight loss temperatures. Therefore thermogravimetric analysis can reflect their compositional specific gravity38. According to the variation of the thermogravimetric curve, the weight loss process of the sample is roughly divided into three stages: i) loss of water; ii) thermal cracking of molecules such as glue material; iii) oxidative combustion of carbon particles17. The results of thermogravimetric analysis are shown in Fig. 4.
Thermogravimetric analysis results of the sample.
By calculating the weight percentages of the glue stage and the soot stage, the glue to soot ratio in the sample was estimated to be 0.16 (glue/soot = 10%/63% ≈ 0.16.). Based on ink-making monographs from the Northern Song Dynasty, such as the “Mo-Jing (墨经)”, the “Wen-Fang-Si-Pu (文房四谱)” and the “Mo-Pu-Fa-Shi (墨谱法式)”. These books recorded the methods and steps of the ancient method of ink production, and also mentioned the amount of glue and soot material many times. The proportion of glue used in different ancient ink-making methods is detailed in Table 1. Ancient Chinese weight units continued the weights and measures system of the Qin Dynasty (秦), with one catty (斤) being about sixteen taels (两), which can be converted to the glue to soot ratio of about 0.3 recorded in these monographs. In comparison, the proportion of glue to soot in the sample was significantly lower.
Written by Jisun Shen (沈继孙) in the Ming Dynasty (明), the “Mo-Fa-Ji-Yao (墨法集要)” mentioned that when adding the glue it can also “reduces the amount of glue. Because when there is less glue and more soot, the ink stick will be more black, this practice is called ‘qing-jiao (轻胶)’. Ink sticks that are black in color and pure in material will facilitate a quick sell-off (减斤两用墨。因胶少烟多, 固倍加黑, 名为轻胶。墨色黑且清利于速售)”39. Similarly, it is also recorded in the “Mo-jing (墨经)” that “ink sticks with more glue will last longer, while those with less glue will have a newer appearance when sold, and artisans prefer to use less glue when making them in order to sell them quickly (胶多利久, 胶少利新, 匠者以其速售, 故喜用胶少)”37. This may be one of the reasons why the sample contain less glue, indicating that ancient ink makers would adjust the proportion of glue used according to different usage needs and economic purposes, which could reflect information on the production economy of the Northern Song Dynasty.
In addition, the Ming Dynasty official Guandao Wang (汪贯道) wrote “Mo-shu (墨书)”, which mentioned that in the making of ink stick, “those who are adept at adding glue will adapt the process to different times and regions (善用胶者, 因乎时因乎地)”. Among them, “In the south (in China) there is plenty of water vapor resulting in high humidity, so the amount of glue in the ink sticks should be reduced. However, it is often windy in the north (in China) and the ink sticks are prone to cracking, so more glue is added. This is to adjust the production process according to different regions. (南方气蒸胶欲少, 北方风烈胶欲多, 此因乎地者也)”40. The ink stick for this study was excavated in Xi’an, Shaanxi Province, in northwest China. According to the regional differences recorded in the “Mo-shu (墨书)”, it is also possible that the sample was made with a higher amount of glue added at the beginning of its production. The lower percentage of glue to soot obtained from the thermogravimetric analysis may be due to the loss of organic glue in the sample through aging during long-term burial.
Energy dispersive spectroscopy analysis results
It can be observed from Fig. 4 that the sample still has about 17% residue at the end of thermogravimetric analysis. The residual weight in the sample is related to the impurities in the ink stick that are not easily combustible, since moisture, glue and soot can all be decomposed when heated in an air atmosphere17. The ancients would have added other additives to the ink-making process, and the study used energy dispersive spectroscopy to analyze the composition of the residual ash. At the same time, the original composition of the ink stick sample without thermogravimetric analysis was also analyzed, and the results can be used as a comparison of the ash elemental data, and the two corroborate each other, so as to reveal the elements other than C, H and N in the ink stick.
Take the appropriate amount of ash powder and ink stick internal uncontaminated sample pasted on the conductive adhesive, magnification 100× for testing. Elemental data were normalized as detailed in Table 2, the specific test points are shown in Fig. 5.
a Ash samples, b ink stick sample.
The results show that the composition of the ash is mainly Ca element and O element, which was related to the fact that a certain amount of CaCO3 was added to the ink stick during the preparation process, which was transformed into CaO after high-temperature decomposition17. In addition, a certain amount of carbon is present in the ash. During the heating process, limited by the reaction rate, element C may not be completely oxidized to CO2 at high temperatures, so a certain amount of element C remains17. The higher content of element Pb reflects the information about the sample making process. The presence of Fe and Cu elements is associated with metallic burial objects in tombs. However, it has also been shown that Cu can play a role in increasing the color in ancient ink sticks, and the Cu element in the sample may be related to this11. The ash also includes trace amounts of Al, Mg, and K. These elements are also found in the ink stick sample, which may be due to contact with the soil in the burial. Combined with the results of the ATR-FTIR analysis, the Si element may reflect the presence of certain silica-containing minerals in the sample. In addition, very trace amounts of S and Cl elements were detected in the ink stick, suggesting that the sample may have been affected by soluble salts in the burial environment.
Microscopic laser Raman spectroscopy analysis results
To further explore the information about the additives in the sample, the study utilized microscopic laser Raman spectroscopy for non-destructive analysis of ash samples and ink stick sample under the microzone. Under the microscopic view, it can be seen that there are distinct white particles and yellow particles interspersed in both the ash and the ink stick. These particles have regular shapes, clear boundaries, and uniform colors. Combined with the fact that ancient craftsmen often added other additives to the ink sticks, the study suggests that these particles were added artificially after grinding, which could reflect information on the process of making pine-soot ink. A 532 nm laser was used to test the particles of different colors with the following test points and results.
Limestone (CaCO3)
Raman results show that the white particles in the ash have obvious peak at 1086 cm−1; those of the ink stick also have peaks at 152 cm−1, 277 cm−1, 713 cm−1 and 1086 cm−1, which are characteristic peaks of limestone (CaCO3), as shown in Fig. 6. According to ancient ink-making monographs, the production of ancient ink sticks included the following steps: “selecting materials (选材), obtaining soot (取烟), sieving (罗筛), adding glue (和胶), adding herb (入药), steaming (蒸剂), pounding (杵捣), rolling into balls (擀丸), molding (制样) and shade-drying (荫干)”39. Among them, the lime used for shade drying is the main reason for the presence of calcium carbonate in the ink stick.
(RRUFFID = R150020).
In the process of making ink sticks, due to the water added to the decoction of glue, in order to avoid deformation and cracking in the drying process of the ink stick has been molded, the ancient craftsmen in the addition of glue will intentionally control the humidity of the ink, “rather dry than wet (宁干勿湿)”41. And will be put the ink stick into furnace ash, lime or wheat bran, these substances have hygroscopicity, the ancients took advantage of this property so that the ink sticks can slowly shade dry37, this step was also called “put into the ash (入灰)”. In the Ming Dynasty (明), “Fang-Shi-Mo-Pu (方氏墨谱)” also recorded that the ink stick “is put into the ash to remove the smell of glue, and has a beneficial effect on the color of the ink stick (纳之灰中能去胶气而益墨色)”, “dries easily in the ash without cracking (置灰中易干而不溃)”40.
After the ink stick was put into the ash, “it must not be exposed to the wind or it will break (不可见风, 见风墨断)”, the whole shade drying process needs to be carried out in a closed and windless environment. Then, after a period of time, “Through the ink sticks hit each other, if the sound is crisp and loud, it can be taken out of the ash (以墨相击, 其声干响, 方可出灰)”, and then use a brush to clean up the ash on the ink stick39. Accordingly, it can be inferred that the sample also went through the step of “put into the ash (入灰)”, and was shade-dried with lime. In the process of shade drying, due to the closed environment without wind, the lime powder will gradually penetrate into the ink stick, which leads to the presence of a high content of Ca and O elements in the sample.
White quartz (SiO2)
Another white particles in the ash and ink stick peaked at 124 cm−1, 200 cm−1, 263 cm−1, 354 cm−1, 395 cm−1, and 460 cm−1, all of which are characteristic peaks of quartz (SiO2), as shown in Fig. 7. This result is consistent with the Si-O-Si stretching vibrations obtained from the ATR-FTIR analysis of the sample. The peak at 1086 cm−1 is assigned to lime (CaCO3).
(RRUFFID = X080016).
The reason for the presence of quartz in the ink sticks, on the one hand, ancient craftsmen pursued a sense of luster when making ink sticks, believing that ink sticks “luster and color are both indispensable (光与色不可废一)”37. Dongpo Su (苏东坡), a litterateur of the Northern Song Dynasty, also wrote in his work “Shu-Huai-Min-Suo-Yi-Mo (书怀民所遗墨)” that “when people talk about ink stick, they are more interested in its blackness than in its luster. (世人论墨, 多贵其黑, 而不取其光)”, “if the ink stick is just very dark in color but without luster, it will appear to be devoid of brilliance, which is also useless. In comparison, it is important to make it bright but not gaudy, as limpid as a child’s eyes. The ink sticks made in this way are the best. (若黑而不光, 索然无神采, 亦复无用。要使其光清而不浮, 湛湛如小儿目精, 乃为佳也)”42. Quartz is also a mineral with a glassy luster and is much more common and readily available than the expensive gold leaf (金箔) and cinnabar (朱砂)39. So it’s possible that the quartz was also added to increase the luster of the ink.
On the other hand, it may be related to the “adding herb (入药)” step in the production process. Different additives have different properties and all have advantages and disadvantages on the ink stick quality. In the “Mo-Fa-Ji-Yao (墨法集要)”, Jisun Shen(沈继孙) believed that “herbs, there are benefits and drawbacks, when adding must know the reason (药, 有益有损, 须知其由)” and “can not rely entirely on additives (不可全藉乎药也)”, for example, musk (麝香) in the increase in the ink stick aroma at the same time will also introduce moisture. And “In ancient times, there were often black but not luster ink sticks, which were caused by too much moisture during steaming (古墨多有有色而无光者, 盖因蒸湿败之使然)”39. In this case, it is necessary to add gleditsiae sinensis fructus (皂角), which can “removes dampness”41. In the “Shen-Nong-Ben-Cao-Jing (神农本草经)”, which was completed in the Eastern Han Dynasty (东汉), recorded that white quartz (白石英) can be used as a herb to “remove the pain of paralysis caused by wind and dampness (除风湿痹)”43. Therefore, the addition of white quartz may have been a measure taken by the ancient craftsmen to better control the humidity or to reduce the effect of humidity on the ink stick during the ink production process.
Lithargite (PbO)
It can be observed from Fig. 8 that the main peaks of the yellow particles are all located near 145 cm−1, indicating that their main component is lead oxide (PbO)44, which is also which is also known as “lithargite (密陀僧)”. In addition, the yellow particles in the ash also show peaks at 200 cm−1, 290 cm−1, 397 cm−1, 508 cm−1 and 635 cm−1 corresponding to lead dioxide (PbO2)45. This is due to the fact that the thermogravimetric analysis was carried out in an air atmosphere and the lead oxide particles in the ink stick were gradually oxidized to lead dioxide during the slow heating process.
(RRUFFID = R060959).
Lead was one of the first few metals recognized by mankind, and in the process of smelting lead, the ancient Chinese smelted artificial compounds of lead such as lead tetroxide (铅丹) and lithargite (密陀僧)46. Lithargite is lead oxide (PbO), because its color is generally yellow, so it is also known as “lead yellow (铅黄)”, in cultural relics are mainly used as yellow pigments47. The famous Tang Dynasty(唐) medical book “Xin-Xiu-Ben-Cao (新修本草)” recorded the source of lithargite in ancient China, and believed that before the Tang Dynasty, lithargite “came from the country of Persia (出波斯国)”48. However, archaeological data show that as early as the Qin Dynasty (秦), ancient Chinese were able to synthesize lead oxide artificially and used it as pigment to paint the surface of terracotta figurines49. By the Tang Dynasty (唐), the use of lithargite as a color pigment had become very common46. Therefore, it is no coincidence that lithargite appears in the ink stick of the Song Dynasty (宋).
The “Xin-Xiu-Ben-Cao (新修本草)” also recorded that lithargite had insecticidal and fungistatic properties, and that it could be used in herb to “treat sores and subdue swellings and poisons”48. In ancient times, in order to further improve the performance of ink sticks, craftsmen would add medicinal herbs and spices, which was called “adding herb (入药)”. For example, the addition of borneol (龙脑) and musk (麝香) can increase the aroma of ink stick; the addition of gleditsia sinensis (皂角) can help remove moisture and the addition of dioscorea bulbifera (黄药) can make the ink stick grinding soundless41. Among them, borneol is also called “bing piàn (冰片)”, which was documented in the “Ben-Cao-Gang-Mu (本草纲目)” as having antimicrobial properties. In 2011, Wei et al. detected it in ink stick excavated from Leitiao (雷鋽) tomb in the Eastern Jin Dynasty (东晋) using pyrolysis gas chromatography and mass spectrometry (Py-GC/MS) and concluded that it was added to prevent biological attack50. Therefore, the addition of lithargite, which also has an insecticidal effect, to the ink stick was also to prevent the ink stick from being attacked by organisms and to facilitate its long-term preservation.
Discussion
Based on the scanning electron microscope results, it can be determined that the sample is pine-soot ink. By utilizing the ATR-FTIR analysis method, clues to animal glue and inorganic minerals were detected in the sample. Since the weight loss stage of the sample is distinct in the air atmosphere, by calculating the weight percentage of the glue stage and the soot stage, it can be concluded that the glue to soot ratio of the sample is 0.16, which is lower than that of the ratio of 0.3 recorded in the ancient books, provides information on the process of making and preserving the samples. To further explore the production process, the composition of the ash and ink stick was analyzed using energy dispersive spectroscopy and microscopic laser raman spectroscopy. Particles of various minerals such as lime (CaCO3), lithargite (PbO), and quartz (SiO2) were detected in the sample, which have dehumidifying, insecticidal, and luster-enhancing effects, respectively. The presence of these substances provides more possibilities about the ancient process of making pine-soot ink sticks. The study fully reveals the production process of pine-soot ink stick in the Northern Song Dynasty mainly from the inorganic perspective, proving that craftsmen of this period not only mastered the ink-making process, but also could achieve different economic purposes and use purposes by adjusting the types of materials. This sample exemplifies the development of the Song dynasty’s pine-soot ink production process to its peak. The study is the first time to conduct scientific and technical analysis on the ash content of the ink stick after thermogravimetry, and dig deeper into the information of inorganic components. It corroborates and supplements the records on ink in ancient literature, provides new data for the study of the production process of pine-soot ink, and enriches the research related to the ink sticks in ancient China, thus promoting the continuation and development of the traditional Chinese craftsmanship.
Data availability
Data is provided within the manuscript or supplementary information files.
References
Rasmussen, K. L. et al. The constituents of the ink from a Qumran inkwell: new prospects for provenancing the ink on the Dead Sea Scrolls. J. Archaeol. Sci. 39, 2956–2968 (2012).
Duran, A., López-Montes, A., Castaing, J. & Espejo, T. Analysis of a royal 15th century illuminated parchment using a portable XRF-XRD system and micro-invasive techniques. J. Archaeol. Sci. 45, 52–58 (2014).
Christiansen, T. et al. Chemical characterization of black and red inks inscribed on ancient Egyptian papyri: The Tebtunis temple library. J. Archaeol. Sci. Rep. 14, 208–219 (2017).
Darzi, M., Stern, B., Edwards, H. G. M., Surtees, A. & Rachti, M. L. A study of colourant uses in illuminated Islamic manuscripts from the Qājār period (1789-1925 C.E), early modern Iran. J. Archaeol. Sci. Rep. 39, 103119 (2021).
Díaz Hidalgo, R. J. et al. The making of black inks in an Arabic treatise by al-Qalalūsī dated from the 13th c.: reproduction and characterisation of iron-gall ink recipes. npj Herit. Sci. 11, 7–21 (2023).
Perruchini, E., Michelin, A., Laclavetine, K., Pinault, G. J. & Sablier, M. Ink in secular and religious documents from the Pelliot collection (BnF, Paris): a study of ingredients and uses of ink in1st millennium Tocharian, Sanskrit and Chinese manuscripts from the Kucha and Dunhuang regions. J. Archaeol. Sci. Rep. 53, 104327 (2024).
Wang, W. Researches on traditional Chinese techniques of ink stick production (University of Science and Technology of China, 2010).
The second industrial and agricultural archaeological training course in Kaogan area, Hubei Province. A brief report on the excavation of eleven Qin tombs in Yunmeng Hudi, Hubei Province. Cult. Relics. 9, 51–62+108–109 (1976).
Zhao, J. L. The discovery of late Yangshao geoglyphs in Dadiwan Site. Cult. Relics. 2, 13–15+100 (1986).
Cao, X. J. The study on the traditional Chinese pinewood-soot ink stick and oil-soot ink stick (University of Chinese Academy of Sciences, 2011).
Huang, H., Qin, Y. & Liu, J. S. Analysis of ancient ink unearthed from the tomb of the Three Kingdoms in Caiyue, Xiangfan. Acta Archaeologica Sin. 3, 426–429 (2013).
Cao, X. J., Yang, J., Fang, X. Y. & Wang, C. S. Analysis of ink stick unearthed from Leitiao tomb in Nanchang, Jiangxi. Cult. Relics South. Chin. 2, 154–157 (2011).
Wei, S. Y. et al. Identification of the materials used in an Eastern Jin Chinese ink stick. J. Cult. Herit. 13, 448–452 (2012).
Guan, L., Ren, M., Xu, C. Q., Yang, J. & Yang, Y. M. Scientific and technological analysis on the ancient ink unearthed in the Tomb of Haihunhou, in the Western Han Dynasty. Nanchang. Cult. Relics South. Chin. 2, 131–134 (2018).
Yao, N., Chen, Z. F., Zhao, X. & Wei, S. Y. Scientific research on Warring States ink unearthed from Jiangling Jiudian tomb in Hubei Province. Spectrosc. Spect. Anal. 41, 3418–3423 (2021).
Cheng, H. S. et al. A study on the elemental compositions of ancient and modern Chinese inks. Sci. Conserv. Archaeol. 9, 16–19 (1997).
Gao, Z. G. et al. Testing and analysis of neoteric and modern Chinese traditional ink-sticks. Sci. Conserv. Archaeol. 36, 57–64 (2024).
Swider, J. R., Hackley, V. A. & Winter, J. Characterization of Chinese ink in size and surface. J. Cult. Herit. 4, 175–186 (2003).
Guo, Y. J., Zheng, Z. & Feng, Y. L. HRTEM observation of turpentine soot and China wood oil soot. Mineral. Petrol. 4, 18–20 (2003).
Sun, X. Y. Han Guan Liu Zhong (Zhong Hua Book Company, 2008).
Wang, W. & Fang, X. Y. Origin of pine smoke ink production in ancient China. Pub. Print. 1, 21–25 (2010).
Song, Y. X. Tian Gong Kai Wu (Zhong Hua Book Company, 2021).
Zhang, W., Liu, H. B. & Guo, S. Q. A study of the manufacture and conservation of ancient ink-stick. Sci. Conserv. Archaeol. 1, 21–27 (1995).
Jia, S. X. Qi Min Yao Shu (Shanghai Classics Publishing House, 2020).
Hussein, A. M. & Ewais, A. Y. An integrated scientific analysis of a Graeco-Roman Cartonnage mask from Saqqara, Egypt. npj Herit. Sci. 13, 104 (2025).
Shi, S. X. et al. Identification of laccol as a paint binder in Neolithic pottery from China. J. Archaeol. Sci. 173, 106119 (2025).
Ploeger, R., Scalarone, D. & Chiantore, O. Non-invasive characterisation of binding media on painted glass magic lantern plates using mid-infrared fibre-optic reflectance spectroscopy. J. Cult. Herit. 11, 35–41 (2010).
Wang, Z. et al. In-situ non-invasive analysis of conservation materials on mural paintings: a systematic approach in Dahuting Han Dynasty Tomb. npj Herit. Sci. 12, 51 (2024).
Cortea, I. M., Ghervase, L., Ratoiu, L., Dinu, M. & Rădvan, R. Uncovering hidden jewels: an investigation of the pictorial layers of an 18th-century Taskin harpsichord. npj Herit. Sci. 8, 55 (2020).
Zhang, J. Y., Sun, L. J. & Chen, Y. T. Quantitative assessment of hardened leather artifact deterioration using infrared spectroscopy. npj Herit. Sci. 12, 426 (2024).
Luo, Y. B., Chen, J. L., Yang, C. & Huang, Y. F. Analyzing ancient Chinese handmade Lajian paper exhibiting an orange-red color. npj Herit. Sci. 7, 61 (2019).
Golovanova, L., Kostina, J. & Doronichev, V. The first identification of composite paints with proteinaceous binder in Upper Palaeolithic (31–23 ka) organic decorations. J. Archaeol. Sci. 162, 105920 (2024).
Derrick, M. R., Stulik, D. & Landry, J. M. Infrared Spectroscopy in Conservation Science (Getty Publications, 1999).
Fu, Y. C. et al. Identification of organic binding media in ancient architectural decoration by THM-Py-GC/MS. J. Cult. Herit. 67, 421–429 (2024).
Rao, H. Y. et al. Proteomic identification of adhesive on a bone sculpture-inlaid wooden artifact from the Xiaohe Cemetery, Xinjiang, China. J. Archaeol. Sci. 53, 148–155 (2015).
Mai, H. J., Yang, Y. M., Jiang, H. G., Wang, B. & Wang, C. S. Investigating the materials and manufacture of Jinzi: The lining of Futou (Chinese traditional male headwear) from the Astana Cemeteries, Xinjiang, China. J. Cult. Herit. 27, 116–124 (2017).
Chao, J. Y. Mo Jing (Guangling Publishing House, 2024).
Li, Y. F., Zhao, L. Y. & Fang, X. Y. Characterization and properties of gelatin as a kind of conservation material for painted cultural relics. J. Northwest Norm. Univ. Nat. Sci. 57, 70–76+83 (2021).
Shen, J. S. Mo Fa Ji Yao (Zhejiang People’s Fine Arts Publishing House, 2013).
Fang, Y. L. Fang Shi Mo Pu (Tianjin Ancient Books Publishing House, 2008).
Li, X. M. Mo Pu Fa Shi (Zhejiang People’s Fine Arts Publishing House, 2013).
Su, S. Su Dong Po Quan Ji (Zhonghua Book Company, 2021).
Yi M. Shen Nong Ben Cao Jing (Guangdong Science and Technology Press, 2022).
Wang, X. et al. Micro-Raman, XRD and THM-Py-GC/MS analysis to characterize the materials used in the Eleven-Faced Guanyin of the Du Le Temple of the Liao Dynasty, China. Microchem. J. 171, 106828 (2021).
Burgio, L., Clark, R. J. H. & Firth, S. Raman spectroscopy as a means for the identification of plattnerite (PbO2), of lead pigments and of their degradation products. Analyst 126, 222–227 (2001).
Wang, J. Y. Challenge of Lithargyrum’s Extraterritorial Introduction. Chin. Med. Cult. 17, 216–225 (2022).
Yuan, Y. L. & Wang, J. Scientific analysis of the mural pigments from Xu Xianxiu’s tomb of the Northern Qi Dynasty. Sci. Conserv. Archaeol. 32, 16–25 (2020).
Su, J. Xin Xiu Ben Cao (Guizhou Science and Technology Press, 2017).
Zhang, Z. J. & Braensdorf, C. Analysis and study on the yellow pigment of Qin Terracotta Warriors. In Chronicle of Conservation and Restoration of Cultural Relics-The Eighth National Academic Conference on Archaeology and Conservation of Cultural Relics (Chemistry). 25–29 (2004).
Wei, S. Y., Fang, X. Y., Cao, X. J. & Schreiner, M. Characterization of the materials used in Chinese ink sticks by pyrolysis-gas chromatography–mass spectrometry. J. Anal. Appl. Pyrolysis 91, 147–153 (2011).
Su, Y. J. Wen Fang Si Pu (Guangling Publishing House, 2017).
Acknowledgements
Thanks to Shaanxi Academy of Archaeology for providing the sample. This work has been supported by the National Natural Science Foundation of China (NO. 22101226), 111 project (D18004).
Author information
Authors and Affiliations
Contributions
Daishi Qi performed all experimental tests, interpreted the data, and wrote the manuscript. Feng Sun provided support and guidance for this study. Xuwei Chen provided the sample used in the study. All authors read and approved the final version.
Corresponding author
Ethics declarations
Competing interests
The authors declare no competing interests.
Additional information
Publisher’s note Springer Nature remains neutral with regard to jurisdictional claims in published maps and institutional affiliations.
Supplementary information
Rights and permissions
Open Access This article is licensed under a Creative Commons Attribution-NonCommercial-NoDerivatives 4.0 International License, which permits any non-commercial use, sharing, distribution and reproduction in any medium or format, as long as you give appropriate credit to the original author(s) and the source, provide a link to the Creative Commons licence, and indicate if you modified the licensed material. You do not have permission under this licence to share adapted material derived from this article or parts of it. The images or other third party material in this article are included in the article’s Creative Commons licence, unless indicated otherwise in a credit line to the material. If material is not included in the article’s Creative Commons licence and your intended use is not permitted by statutory regulation or exceeds the permitted use, you will need to obtain permission directly from the copyright holder. To view a copy of this licence, visit http://creativecommons.org/licenses/by-nc-nd/4.0/.
About this article
Cite this article
Qi, D., Sun, F. & Chen, X. Study of Ink stick unearthed from the tomb of Fan Xiaochong in Shaanxi Province. npj Herit. Sci. 13, 396 (2025). https://doi.org/10.1038/s40494-025-01976-5
Received:
Accepted:
Published:
Version of record:
DOI: https://doi.org/10.1038/s40494-025-01976-5










