Abstract
Microbial deterioration poses a significant threat to the preservation of traditional Chinese papers. Conventional physical disinfection methods have proven ineffective, and chemical treatments carry potential risks to both human health and the environment. In this context, radiation technology emerges as a promising alternative due to its superior disinfection efficiency. This study examines five varieties of traditional Chinese paper: Xuan paper 1, Xuan paper 2, Bamboo paper 1, Bamboo paper 2, and Bark paper. Following electron beam irradiation, we evaluated tensile strength, polymerization, and color change in both fresh and aged samples. Our results indicate that while irradiation treatment has minor effects on tensile strength and color variability, it significantly reduces the degree of polymerization. In contrast, accelerated aging treatment negatively impacts nearly all parameters. Consequently, we propose that irradiation treatment exerts minimal influence on traditional paper, suggesting it could serve as an effective sterilization method for artifact preservation.
Similar content being viewed by others
Introduction
China’s ancient civilization, spanning over 5000 years, has produced a wealth of cultural legacies. One such invention is papermaking, recognized as one of the four great ancient Chinese innovations, which originated during the Han Dynasty (202 BC–220 AD). Since its inception in China and subsequent spread across the globe, paper has been an essential medium for recording information. As the demand for paper increased and the technology of papermaking evolved, a diverse range of paper types were developed throughout various periods in Chinese history. The process of papermaking utilized a variety of plants, including hemp, bark, rattan, bamboo, and grass1. In recognition of its cultural significance, United Nations Educational Scientific and Cultural Organization (UNESCO) today acknowledges China’s “Xuan paper traditional craft” as an intangible cultural treasure.
The primary constituents of paper—cellulose, hemicellulose, and lignin—also serve as nutrients for heterotrophic microorganisms under appropriate moisture conditions. When microorganisms degrade the cellulose in paper, its mechanical properties are compromised. Moreover, the organic acids and pigments produced by these microorganisms during their metabolic processes can alter the visual appearance of the paper2. Fungi, predominantly Penicillium spp. and Aspergillus spp., are the primary microorganisms responsible for paper decay globally due to their resilience in low-moisture environments3. Studies indicate that numerous cultural paper artifacts housed in museums and libraries across China have suffered extensive damage from microbial activity4. As such, effective disinfection methodologies are crucial for safeguarding these cultural treasures.
Effective conservation methods for paper cultural relics should possess characteristics such as high efficiency in microbial disinfection, non-destructiveness to both the treated materials and their environment, and a harmless impact on human health5,6.
Currently, the predominant means of preserving paper cultural relics involve chemical reagent disinfection and physical method control. While chemical reagents are effective in disinfection, they can generate drug resistance and pose potential health risks to workers7. Ethylene oxide (EtO) has very good sterilization effects due to its alkylating action and is effective against microorganisms, spores, and viruses, so it has been widely used for the disinfection of cultural relics and the sterilization of some medical instruments and heat-sensitive materials before8. But EtO has been proven to be highly toxic to the human body, with carcinogenicity, genetic, reproductive, and neurotoxicity, and has been classified as a class I carcinogen by the International Agency for Research on Cancer9, and its use has been prohibited in many countries (restricted use in the United States and some countries in the European Union). In 2024, the United States Environmental Protection Agency (EPA) has issued the standard document “National Standards for Hazardous Air Pollutants: Residual Risk and Technology Review of EtO Emission Standards for Sterilization Facilities”10. Some studies have shown that the physical and chemical properties of paper treated with EtO change, and the treated materials are more susceptible to microbial attack11,12. Consequently, ongoing research is being conducted into more effective chemical reagents. Emerging reagents, such as essential oils and nanomaterials, have demonstrated promising antibacterial capabilities with fewer side effects in recent years13,14. Menicucci, Felicia reviewed the scientific research literature on the use of different essential oil components for the preservation of cultural heritage paper documents, and revealed the advantages and disadvantages of these unique plant compounds15. The composite of nanocellulose with other functional materials greatly expands its application scope, and the superior performance has been emphasized in paper deacidification, consolidation, antimicrobial effect, antioxidation, UV resistance, self-cleaning, promotion of printing property, reduction in air permeability, and flame retardancy16. Jiang Guo et al. successfully applied a superhydrophobic transparent multifunctional coating based on stearic acid-modified silica (SiO₂) to the protection of paper cultural relics through a simple spraying method17. Zhang, Mingliang et al. proposed a highly secure and efficient method, utilizing Carbon dots films (CDFs) to protect paper from ultraviolet damage. The acidification, oxidation and photodegradation rates of the protected bamboo paper and Xuan paper were slowed down18. General physical methods, such as extreme temperatures and low oxygen environments, merely inhibit microbial growth, making them ideal for cultural heritage storage scenarios19,20.
Furthermore, ionizing radiation technology has also shown significant potential for application in the preservation of cultural relics. Ionizing radiation is widely used for the disinfection of food and medical products due to its strong sterilization effect21,22. Since the 80 s, taking advantage of its excellent disinfecting power without residual contamination, ionizing radiation has been used in the fumigation and disinfection of various cultural heritage objects. For example, the mummification of Ramses II and a mammoth from approximately 42,000 years23. The effectiveness of ionizing radiation has also attracted the attention of paper conservation scientists. In the wake of a flood disaster, about 56,000 boxes of contaminated documents in the National Archives were irradiated by ARC-Nucléart in France, and the archives material was found to be stable, even after exposure to 3–10 kGy of gamma rays24. Institutions in Croatia and Argentina have also acquired a lot of experience with the irradiation treatment of heritage objects2,25. The research results of Park, HaeJun et al. indicate that 15 kGy of gamma radiation can effectively preserve waterlogged traditional cultural heritage artifacts of Korea that have been affected by floods or other water-related disasters26.
The possible damage to paper products caused by ionizing radiation has been discussed as well. The main effects are the reduction of the degree of polymerization of cellulose and changes in the color of the paper27,28,29.
Existing research confirms the potential of radiation technology for cultural relic preservation. However, most studies on radiation effects have focused on “Whatman”, a pure cellulose paper, neglecting papers crafted using techniques historically employed in cultural artifacts. China, with its rich cultural heritage, boasts a diverse range of such historically used papers. This study aims to assess the impact of low-energy electron beam radiation on traditional Chinese paper. Given the natural aging process that occurs during the preservation of cultural relic paper, this study includes comprehensive research on paper subjected to accelerated aging treatments. The findings offer valuable insights and case studies for the application of radiation technology in preserving cultural heritage and aid in developing an effective radiation sterilization process for paper-based cultural relics.
Methods
The study focuses on the typical ancient paper-making technique selected from traditional Chinese papers. Since the Ming and Qing dynasties, Xuan paper has been highly respected by scholars and widely used by the general public. It plays a crucial role in traditional Chinese painting and calligraphy, and currently serves as the foundation for most cultural relic restoration work. Its production process includes soaking, boiling, rinsing, bleaching with sunlight, and pulping raw materials into finished products30. Accordingly, we selected five representative samples from three types and two varieties as our research subjects: Xuan paper 1 and 2, bamboo paper 1 and 2, and bark paper. All these papers were made using ancient techniques. Table 1 presents detailed information about these papers.
This study utilizes electron beam irradiation to examine its potential effects on paper. The majority of studies employ gamma rays for irradiation due to their excellent penetration capabilities and suitability for large-scale treatments. However, stringent radiation safety precautions are imperative when using gamma rays, and the low dosage rate often results in protracted irradiation durations. Consequently, we opted for a safer and more efficient electron accelerator with self-shielding capabilities for our irradiation processes. This electron accelerator was procured from Zhiyan Technology in China. It generates an electron beam with an energy range of 160–200 KeV, and a dose rate of 4000 kGy/h. The absorbed dose of items is accurately monitored using a B3 film dosimeter.
As recommended by the International Atomic Energy Agency (IAEA), irradiation treatment for cultural artifacts typically does not exceed a dose of 10 kGy, with rare exceptions allowing for doses up to 20 kGy31. In our study, each paper sample was subjected to irradiation at doses of 5, 10, and 15 kGy.
The study employs accelerated aging treatment to approximate the condition of cultural relics, thereby enhancing our understanding of the impact of radiation on paper artifacts. Half of the papers were subjected to this accelerated aging process in line with the Chinese standard: “Paper and Board - Accelerated Aging - Moist Heat Treatment at 80 °C and 65% Relative Humidity” for a duration of 144 h.
We examined the effects of aging, irradiation, etc. on the tensile strength of paper. The paper was cut into several pieces measuring 15 × 250 mm in both the machine and cross directions (CD) (Fig. 1). These samples were conditioned at 20 °C and 60% RH for a period of 24 h to achieve temperature and humidity equilibrium. The Instron Series 5500 tensile tester (Instron, USA) was employed to determine the paper’s tensile strength. A tensile rate of 20 mm/min was applied, with a 18 cm interval between the two grippers. A total of 12 parallel experiments were conducted for each sample.
Tensile strength data were analyzed in Microsoft Excel using the Data Analysis Toolpak. Statistical comparisons were made between the 0 kGy group and each of the other groups using one-way Analysis of Variance ANOVA and the Student’s t-test (two-tailed, α = 0.05)32.
Research has been conducted to examine the impact of aging, irradiation, and other factors on the degree of polymerization in paper. The characteristic viscosity of paper was determined using an Ubbelohde viscometer (SI Analytics, Germany), in accordance with the Chinese standard “GB/T 1548-2016 Pulps-Determination of limiting viscosity number in cupri-ethylenediamine (CED) solution.” Initially, each sample was tested for moisture content, which was found to be approximately 6 to 7%. The pulp concentration for untreated paper was set at 0.005 g/mL, while for aged and irradiated paper, it was set at 0.004 g/mL. The required sample weight was calculated based on the concentration and water content, and then dissolved in 30 ml of a cupri-ethylenediamine solution (0.5 mol/L). The intrinsic viscosity [η] was determined from the outflow time of the solution in the Ubbelohde viscometer. Subsequently, the degree of polymerization was calculated using the Mark-Houwink-Sakurada equation for cellulose, with k = 0.75 and α = 0.90533.
The alterations in paper chromaticity are thoroughly examined. The alterations in paper chromaticity are thoroughly examined. The color difference of paper was measured using an X-Rite colorimeter, which has a reflectance spectrum ranging from 400 to 700 nm and a resolution of 10 nm. The specular component included (SCI) method was chosen, with the combination illuminant/standard observer being D65/10°. The Color Tolerancing System CIE L*a*b* was employed for color evaluation. The values of L*, a*, and b* represent lightness on a scale from black (L * = 0) to white (L* = 100), red (+) and green (-), and yellow (+) and blue (-) respectively. The formula ΔE*97 was used to evaluate the impact of radiation on color. It is generally accepted that color differences below 1 can be disregarded, those between 1 and 3 are perceptible but acceptable, while discrepancies above 3 cannot be overlooked28.
Results
In this study, we conducted research on the irradiation of five distinct varieties of ancient Chinese paper. Additionally, we examined papers that were artificially aged before undergoing irradiation. We obtained a series of experimental samples for this purpose. The term ‘irradiated-0kGy’ denotes the original paper, while ‘original irradiated 5 ~ 15kGy’ signifies a paper that has been subjected to irradiation alone. It is important to note that, as cultural relics have naturally aged over centuries, the paper inherently exhibits certain degrees of damage. To accurately assess the impact of irradiation on the paper used in such cultural artifacts, a specific design was implemented for samples that were first artificially aged and then irradiated. The term ‘Aged irradiated -0kGy (Aged)’ represents samples that underwent only artificial aging, whereas ‘Aged irradiated 5 ~ 15kGy ‘ denotes paper samples that were both aged and subsequently irradiated. We conducted analyses on the strength, degree of polymerization, and color difference among samples from each group.
The mechanical strength of paper, a key factor in determining its lifespan, is one of its most important characteristics. Initial observations highlighted the inconsistency in outcomes due to cutting in both machine and CDs. As illustrated in Fig. 1, when using a paper cutter to slice in the machine and CDs, it becomes evident that the paper veins cut in the machine direction are more likely to be parallel. In contrast, achieving parallelism with the paper edge when cutting across is challenging. This observation suggests that the relative standard deviation (RSD) of CD may be higher than machine direction (MD) in almost all results. The raw data from the tension tester’s displacement load is shown in Fig. 2, comparing the machine and cross test results of paper under identical conditions. The tensile strength is represented by the average of multiple curves’ maximum values, each representing a repeated test. In the machine direction, paper exhibits higher tensile strength and a lower RSD. Leheny et al. (2021)34 achieved comparable findings by cutting the paper at varying angles to the veins, resulting in differing tensile strengths.
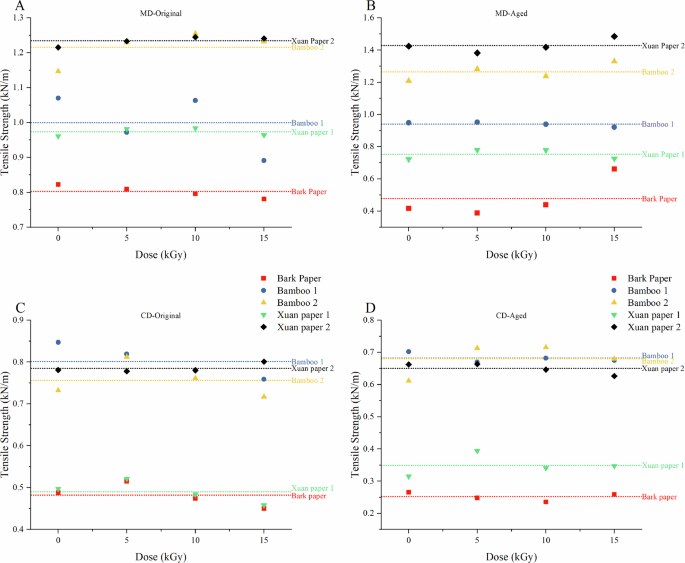
The tensile strength results are summarized in Table 2. Prior to the refinement of the cutting procedure, which did not account for precision along the paper veins, the RSD between the machine direction and CD for irradiated samples showed no significant difference. Subsequent to meticulous cutting along the veins, a significant reduction in the RSD was evident for the machine direction samples. The results of the t-tests demonstrate that Bamboo 2 experienced the most significant effect from irradiation among the five paper types.
Figure 3 plots the tensile strength (machine direction) of directly irradiated and aged-then-irradiated papers against the mean value of the four tests (0 ~ 15 kGy). Changes in tensile strength due to irradiation were generally not significant, with the notable exceptions of the two directly irradiated bamboo papers and the aged-then-irradiated bark paper (machine direction), all of which showed marked deviations from the mean. The tensile test data of the paper, as depicted in Table 2 and Fig. 3, exhibit noticeable fluctuations. These are primarily due to the uneven texture of the handmade paper and deviations arising during the cutting process, which subsequently impact the tensile strength values35,36. The Bark paper exhibits a significant increase in tensile strength after exposure to the highest radiation dose. The paper appears to become harder and more brittle over the course of the experiment. While there is no concrete explanation for this phenomenon, it could potentially be attributed to cellulose crosslinking or the inherent instability of the paper itself37. This perspective is shared by several previous studies, which posited that irradiation wouldn’t significantly impact tensile strength38,39. Additionally, the inherent instability of handmade paper can be attributed to factors such as production methods, cutting techniques, ambient temperature, and humidity40,41.
(The straight line represents the average intensity at the four doses, while the various points represent the actual values. A and C are, respectively, the five types of paper after irradiation in the machine direction and cross direction. B and D are respectively the five types of paper after aged-irradiation in the machine direction and cross direction).
Following the irradiation treatment, a decrease in the degree of polymerization was observed across all five paper types as the irradiation dose increased. Prior research has documented radiation-induced random degradation of cellulose chains, an effect that has been leveraged to modify cellulose and pretreat specific processes42,43. The degree of polymerization of cellulose exhibited an exponential decline post-irradiation, resulting in a nonlinear fit, as depicted in Fig. 4.
Furthermore, the alteration curves for similar paper types, such as Bamboo 1 and 2, nearly coincide and exhibit analogous trends. Xuan papers 1 and 2, possessing identical compositions, also demonstrate identical trends.
Irradiation can decrease the degree of cellulose polymerization, with the extent of this reduction being influenced by the irradiation conditions, dose, and the inherent properties of the paper44. Experiments conducted by Adamo et al. (1998)38 on Whatman paper using gamma irradiation showed a direct correlation between radiation exposure and a decrease in cellulose polymerization. Similarly, Drabkova et al.5 subjected Whatman paper and two varieties of handmade paper to gamma irradiation at doses ranging from 2 to 19 kGy. They observed a significant reduction in polymerization across all test papers, even at the lowest dose of 2 kGy. Remarkably, a dose of 4.7 kGy led to a nearly 50% reduction in the polymerization of Whatman paper, while the handmade paper exhibited an approximate decrease of 25%.
Despite a substantial reduction in the degree of polymerization, it does not directly influence the mechanical attributes of the paper. Research indicates that a decrease in the polymerization degree of Whatman paper by 58% or even 76% does not significantly alter its mechanical properties45,46. Moise et al. (2014)47 utilized thermogravimetric and calorimetric analyses to examine structural modifications in cellulosic materials post-irradiation. They concluded that at low doses (10 kGy), although there is a reduction in the degree of polymerization, the mechanical properties of the irradiated cellulose paper remain unchanged due to the preservation of the original hydrogen bonding structure within the paper.
Figure 5 illustrates the color differential of the paper subsequent to the three distinct treatments. Here, “ Original-20 kGy “ symbolizes irradiation of the original paper, “Aged” signifies the aging of the paper, and “Aged-20 kGy “ indicates that aging treatment is carried out first, followed by 20 kGy irradiation. The outcomes reveal a markedly greater color transformation following the aging treatment compared to the irradiation treatment, the latter of which induces a color change that is essentially negligible. Table 3 allows for the inference that all color shifts associated with aging are characterized by a reduction in the L* value, signaling a diminishment in brightness, coupled with an elevation in the b* value. This suggests a yellowing tendency, findings that align with the experimental results reported by Piantanida et al. (2005)48. In Adamo et al. (1998)38 investigation, Whatman paper was subjected to irradiation ranging from 0 to 20 kGy alongside rapid aging, with the majority of color alterations manifesting subsequent to accelerated aging.
The measurement data obtained from the colorimeter were used to simulate the tested colors. Figure 6 illustrates a positive correlation between the color differences and their corresponding values. Among the samples, Bamboo 2 paper exhibited the least degree of color alteration, whereas Bark paper and Bamboo 1 paper demonstrated the most significant color discrepancies.
The discoloration of paper is purportedly linked to the formation of carbonyl groups during treatment, which subsequently associate with the generation of free radicals during irradiation49. The carbonyls produced through irradiation typically exist at low concentrations, within the range of μ mol /g. As a result, they cannot be identified using conventional methods such as IR, Raman, UV or NMR spectroscopy. More precise chemical analysis techniques are required for their detection, such as the fluorescent labeling method devised by Röhrling et al. (2002)50. Multiple studies have documented an increase in the carbonyl content of paper post-irradiation, without any significant observed changes in color33,37.
Discussion
In our study, we examined the alterations in the properties of five distinct Chinese ancient papers when subjected to irradiation up to 15 kGy. Additionally, we assessed the cumulative changes in paper attributes following accelerated aging treatments subsequent to irradiation. It was observed that irradiation treatments do not significantly influence the tensile strength of paper, with the primary factor in this evaluation being the uncertainty of the test. On the other hand, accelerated aging treatments were found to diminish the tensile strength of Bark paper and Xuan papers 1 & 2, and also led to noteworthy color modifications. Both aging treatment and irradiation treatment resulted in a reduction in the degree of polymerization. However, the decrease was more pronounced in the case of irradiation treatment. Radiation is acceptable to use as a conservation process, since aging (which is unavoidable) has a bigger effect than radiation.
Based on the current findings, it is evident that the accelerated aging treatment has a more pronounced effect on tensile strength and color than the irradiation treatment, while also causing less loss in the degree of polymerization. Given that degradation due to aging is inevitable, irradiation treatment can be viewed as a method to reduce microbial contamination at the expense of premature aging, thereby offering an alternative means of preservation. This lays the groundwork for specific scenarios where artifacts require immediate disinfection. In contexts where aging effects are deemed acceptable, eliminating the microbial threat takes precedence. In certain instances, such as when paper archives have been exposed to flooding or water leakage, radiation treatment becomes an appropriate method for disinfection.
In conclusion, while we anticipate the early adoption of this technology in the preservation of cultural artifacts in China, there is a clear need for additional research. For example, future studies could investigate the effects of irradiation followed by aging on the longevity of preserved paper. As it stands, only the effects of irradiation under specific aging conditions have been assessed. Further research should delve into the changes in paper quality post-irradiation across varying aging degrees. Such endeavors will undoubtedly bolster the broader application of electron beam irradiation in preserving paper-based cultural heritages.
Data availability
All data relevant to the current study, including tensile strength, degree of polymerization, and color change metrics, are presented within this article.
References
Brown, N., Lichtblau, D., Fearn, T. & Strlič, M. Characterisation of 19th and 20th century Chinese paper. Herit. Sci. 5, 1–14 (2017).
Carmen Calvo, A. M., Docters, A., Miranda, M. V. & Saparrat, M. C. N. The use of gamma radiation for the treatment of cultural heritage in the argentine national atomic energy commission: past, present, and future. Applications of Radiation Chemistry in the Fields of Industry, Biotechnology and Environment, 227-247 (CNEA, 2017).
Melo, D., Sequeira, S. O., Lopes, J. A. & Macedo, M. F. Stains versus colourants produced by fungi colonising paper cultural heritage: a review. J. Cult. Herit. 35, 161–182 (2019).
Zhen, C. & Zhao, D. Research progress on biological diseases of paper cultural relics. J. Beijing Inst. Print. 027, 32–37 (2019).
Drabkova, K., Durovic, M. & Kucerova, I. Influence of gamma radiation on properties of paper and textile fibres during disinfection. Radiat. Phys. Chem. 152, 75–80 (2018).
Paolino, B., Sorrentino, M. C. & Pacifico, S. Greener solutions for biodeterioration of organic‑media cultural heritage: where are we? Herit. Sci. 12, 334 (2024).
Sequeira, S., Cabrita, E. J. & Macedo, M. F. Antifungals on paper conservation: an overview. Int. Biodeter. Biodegr. 74, 67–86 (2012).
Mendes, G. C. C., Brandao, T. R. S. & Silva, C. L. M. Ethylene oxide sterilization of medical devices: a review. Am. J. Infect. Control 35, 574–581 (2007).
Grosse, Y. et al. Carcinogenicity of 1,3-butadiene, ethylene oxide, vinyl chloride, vinyl fluoride, and vinyl bromide. Lancet Oncol. 8, 679–680 (2007).
National Emission Standards for Hazardous Air Pollutants: Ethylene Oxide Emissions Standards for Sterilization Facilities Residual Risk and Technology Review; Final Rule. A Rule by the Environmental Protection Agency on 04/05/2024. https://www.federalregister.gov/.
Ponce-Jiménez, M. D. P., Toral, F. A. L. & Forune, E. D. 2002. Antifungal protection and sizing of paper with chitosan saltsand cellulose ethers. Part 1, physical effects. Journal of the American Institute for Conservation. 41, 243-254.
Valentin, N. Biodeterioration of library materials disinfection methods and new alternatives. Pap. Conservator 10, 40–45 (1986).
Čabalová, I. et al. The influence of selected efficient compounds of essential oils for paper protection. J. Cult. Herit. 37, 148–154 (2019).
Franco-Castillo, I., Hierro, L., de la Fuente, J. M., Seral-Ascaso, A. & Mitchell, S. G. Perspectives for antimicrobial nanomaterials in cultural heritage conservation. Chem 7, 629–669 (2021).
Menicucci, F., Palagano, E., Michelozzi, M. & Ienco, A. Essential oils for the conservation of paper items. Molecules 28, 5003 (2023).
Jiang, M. et al. Recent advances in paper conservation using nanocellulose and its composites. Molecules 30, 417 (2025).
Jiang, G. et al. Superhydrophobic and transparent multifunctional coating based on stearic acid modified silica for paper relics conservation. J. Cult. Herit. 76, 184–194 (2025).
Zhang, M. et al. Preventive conservation of paper-based relics with visible light high-transmittance ultraviolet blocking film based on carbon dots. J. Colloid Interface Sci. 678, 593–601 (2025).
Jing, T., Xiaohang, F., Yujing, L., Biao, C. & Yanwei, D. Investigating the moisture sorption behavior of naturally and artificially aged bamboo paper with multi-analytical techniques. J. Cult. Herit. 61, 65–75 (2023).
Mehrabova, M. A. et al. The influence of some environmental factors on temporary degradation of organic components of paper pulp and writing compositions. Nat. Products J. 15, e22103155322800 (2025).
Burg, K. J. L. & Shalaby, S. W. Radiation sterilization of medical devices and pharmaceuticals, irradiation of polymers, 240-245 (American Chemical Society, 1996).
Pedreschi, F. & Mariotti-Celis, M. S. Chapter 10 - Irradiation kills microbes: Can it do anything harmful to the food?, in: Andersen, V. (Ed.), Genetically Modified and Irradiated Food, 233-242 (Academic Press, 2020).
Głuszewski, W., Zagórski, Z. P., Tran, Q. K. & Cortella, L. Maria Skłodowska Curie—the precursor of radiation sterilization methods. Anal. Bioanal. Chem. 400, 1577–1582 (2011).
Cortella, L., Albino, C., Tran, Q.-K. & Froment, K. 50 years of French experience in using gamma rays as a tool for cultural heritage remedial conservation. Radiat. Phys. Chem. 171, 108726 (2020).
Katušin-Ražem, B., Ražem, D. & Braun, M. Irradiation treatment for the protection and conservation of cultural heritage artefacts in Croatia. Radiation Phys. Chem. 78, 729–731 (2009).
Park, H. & Oh, J. Gamma and electron beam irradiation use in the control of a radiation-resistant fungus (Epicoccum nigrum) for preservation of contaminated organic artefacts of traditional heritage. Radiat. Phys. Chem. 205, 110723 (2023).
Bouchard, J., Methot, M. & Jordan, B. The effects of ionizing radiation on the cellulose of woodfree paper. Cellulose 13, 601–610 (2006).
Coppola, F., Fiorillo, F., Modelli, A., Montanari, M. & Vandini, M. Effects of γ-ray treatment on paper. Polym. Degrad. Stab. 150, 25–30 (2018).
Hwang, Y., Park, H., Potthast, A. & Jeong, M. Evaluation of cellulose paper degradation irradiated by an electron beam for conservation treatment. Cellulose 28, 1071–1083 (2021).
Luo, Y., Cigić, I. K., Wei, Q. & Strlič, M. Characterisation and durability of contemporary unsized Xuan paper. Cellulose 28, 1011–1023 (2021).
Ponta, C. & Havermans, J. Effects of ionizing radiation on materials. Chapter 7, uses of ionizing radiation for tangible cultural heritage conservation, 61-63 (IAEA, 2017).
Hans, B. Comparison of the effects of x-ray and gamma irradiation on engineering thermoplastics. Radiat. Phys. Chem. 193, 109999 (2022).
Bicchieri, M., Monti, M., Piantanida, G. & Sodo, A. Effects of gamma irradiation on deteriorated paper. Radiat. Phys. Chem. 125, 21–26 (2016).
Leheny, S. et al. Directional dependence of the mechanical properties of aged paper. Mech. Mater. 162, 104036 (2021).
Ioan, V. M. et al. Establishing the irradiation dose for paper decontamination. Radiat. Phys. Chem. 81, 1045–1050 (2012).
Maria, L. O. D. Patrícia de Souza Medeiros Barbosa., Marcelo, F. G. B., Sueli, I. B., 2009. Radiation effects on the integrity of paper. Radiation Physics and Chemistry. 78, 489-492.
Moise, I. V. et al. The crosslinking behaviour of cellulose in gamma irradiated paper. Polym. Degrad. Stab. 160, 53–59 (2019).
Adamo, A. M. et al. Effect of gamma rays on pure cellulose paper as a model for the study of a treatment of “biological recovery” of biodeteriorated books. Restaurator 19, 41–59 (1998).
D’Almeida, M. L. O., Barbosa, P. D. M., Boaratti, M. F. G. & Borrely, S. I. Radiation effects on the integrity of paper. Radiat. Phys. Chem. 78, 489–492 (2009).
Axelsson, A. Fibre based models for predicting tensile strength of paper (Springer, 2009).
Sampson, W. W. Materials properties of paper as influenced by its fibrous architecture. Int. Mater. Rev. 54, 134–156 (2009).
Ershov, B. G. Radiation technologies: Their possibilities, state, and prospects of application. Her. Russian Acad. Sci. 83, 437–447 (2013).
Sung, Y. J. & Shin, S.-J. Compositional changes in industrial hemp biomass (Cannabis sativa L.) induced by electron beam irradiation Pretreatment. Biomass-. Bioenergy 35, 3267–3270 (2011).
Gonzalez, M. E., Calvo, A. M. & Kairiyama, E. Gamma radiation for preservation of biologically damaged paper. Radiat. Phys. Chem. 63, 263–265 (2002).
Calvini, P. & Santucci, L. Alcuni dati sugli effetti dell’irradiazione gamma sulla carta. Boll. dell’Istituto Cent. Per la Patologia del. Libro Alfonso Gallo 35, 55–62 (1978).
Phillips, G., Arthur Jr, J. Effects of high-energy radiation on physical and chemical properties of purified fibrous cellulose. Cellulose Chemistry and its Applications. 290-311 (Ellis Horwood Ltd., 1995).
Moise, I. V., Stanculescu, I. & Meltzer, V. Thermogravimetric and calorimetric study of cellulose paper at low doses of gamma irradiation. J. Therm. Anal. Calorim. 115, 1417–1425 (2014).
Piantanida, G., Bicchieri, M. & Coluzza, C. Atomic force microscopy characterization of the ageing of pure cellulose paper. Polymer 46, 12313–12321 (2005).
Ahn, K. et al. Yellowing and brightness reversion of celluloses: CO or COOH, who is the culprit? Cellulose 26, 429–444 (2019).
Röhrling, J. et al. A novel method for the determination of carbonyl groups in cellulosics by fluorescence labeling. 1. method development. Biomacromolecules 3, 959–968 (2002).
Acknowledgements
This research was supported by the National Natural Science Foundation of China (NSFC, grant number 12175260) and the National Key Research Program Projects of China (grant number 2019YFC1520700).
Author information
Authors and Affiliations
Contributions
M.L. carried out the experiments, processed the data, and wrote the manuscript. Z.W. assisted in conducting the experiments and processing the data. Y.S. and L.M. supervised the experimental process, while S.L. contributed to the experimental work. X.F. provided financial support. H.S., G.Z., and D.X. supervised the completion of the paper, including the final review and editing. D.X. also provided financial support. All authors reviewed and approved the manuscript.
Corresponding authors
Ethics declarations
Competing interests
The authors declare no competing interests.
Additional information
Publisher’s note Springer Nature remains neutral with regard to jurisdictional claims in published maps and institutional affiliations.
Rights and permissions
Open Access This article is licensed under a Creative Commons Attribution-NonCommercial-NoDerivatives 4.0 International License, which permits any non-commercial use, sharing, distribution and reproduction in any medium or format, as long as you give appropriate credit to the original author(s) and the source, provide a link to the Creative Commons licence, and indicate if you modified the licensed material. You do not have permission under this licence to share adapted material derived from this article or parts of it. The images or other third party material in this article are included in the article’s Creative Commons licence, unless indicated otherwise in a credit line to the material. If material is not included in the article’s Creative Commons licence and your intended use is not permitted by statutory regulation or exceeds the permitted use, you will need to obtain permission directly from the copyright holder. To view a copy of this licence, visit http://creativecommons.org/licenses/by-nc-nd/4.0/.
About this article
Cite this article
Luo, M., Wang, Z., Shao, Y. et al. Effect of electron beam irradiation on China traditional paper. npj Herit. Sci. 13, 575 (2025). https://doi.org/10.1038/s40494-025-02153-4
Received:
Accepted:
Published:
Version of record:
DOI: https://doi.org/10.1038/s40494-025-02153-4








