Abstract
In the context of global urban renewal, historic urban areas (HUAs) face the challenge of balancing heritage preservation with sustainable development. Heritage tourism is a key pathway to achieve this balance. The emotional responses and behaviors of heritage tourists, shaped by perception, influence the directions of renewal. Related studies rely on single-modal data and lack an in-depth exploration of tourists’ perceptual dimensions and intuitive emotions. This study examines historic urban areas of Ganzhou and develops a multimodal framework comprising “text topic mining, visual element extraction, and emotional mechanism modeling” to reveal tourists’ perceptual dimensions and how spatial elements influence emotion. Findings revealed that tourists focus on three thematic areas: history and culture, historic cityscape, and leisure experience. Natural and facility-related elements positively impact tourist emotion, whereas architecture, road, and vegetation show a negative correlation. This study offers theoretical support for the transformation of HUAs from static heritage preservation to living heritage.
Similar content being viewed by others
Introduction
In the context of global diversified urban renewal, historic urban areas (HUAs) have garnered significant attention as key objects of renewal practices due to their role in bearing and reflecting urban cultural heritage and traditional values1. However, during the revitalization, these historic areas face the challenge of balancing cultural heritage preservation and urban sustainable development2. Heritage tourism, as an effective path to coordinate both, leverages tourism to stimulate the economy by protecting historical heritage, thereby promoting the sustainable development of HUAs3. Within the scenarios of heritage tourism, tourists’ perception is a key link connecting heritage value and tourist experience4. The emotional responses and behavioral patterns formed based on perception subtly influence the directions of renewal in HUAs5. Therefore, in-depth research on tourists’ perception and emotion in heritage tourism scenarios within HUAs is urgently needed.
HUAs serve not only as physical space for urban development, characterized by a distinctive urban fabric and traditional spatial patterns, but also as repositories of cultural memory and social identity, encompassing both tangible and intangible cultural heritage6,7,8,9. The systematic understanding of HUAs began in the 20th Century, with the international community gradually constructing a framework for their protection and development. The Venice Charter (1964) expanded the concept of historic monuments10. The Washington Charter (1987) first defined the scope of protection for HUAs11. The Recommendation on the Historic Urban Landscape (2011, HUL) proposed holistic conservation, broading urban context and its geographical setting12. It not only laid the cognitive foundation for HUAs but also highlighted their significant differences from other urban areas. These unique cultural resources make HUAs a vital component of the broader heritage landscape13.
However, precisely because of uniqueness, HUAs face the challenge of balancing cultural heritage preservation and urban sustainable development during the renewal2. Historically, three main approaches have been used to renew areas. The first approach, demolition and reconstruction, involves the large-scale removal and complete rebuilding of the urban fabric. Although this method can rapidly unlock land value, it has devastating consequences for local communities, the urban environment, and historical heritage14. The irreversible destruction of the historical street layout has resulted in permanent damage to the traditional character of old towns15. In some cases, these projects also involved the forced relocation of residents, significantly disrupting social life. The second approach is known as static protection or “freezing protection”. Involves designating “restricted zones” within historic urban areas. In these zones, development activities are strictly prohibited, and only limited repairs are permitted. Although this approach allows for the intact preservation of material heritage, it significantly limits residents’ opportunities to improve their living space and conditions through reconstruction initiatives. Moreover, in the absence of supporting industries, it is difficult for old towns to maintain their vibrancy and economic vitality16. The third approach, cultural and tourism development, marks a shift from static conservation toward an integrated model that combines heritage preservation with cultural and tourism-based revitalization. This strategy seeks to actively utilize cultural resources, thereby addressing the development demands of modern cities and contributing to the spatial revaluation of the historical area. However, in certain renewal projects, cultural and tourism developments within historic urban areas have often failed to integrate meaningfully with local culture17. This disconnect has led to the homogenization of the urban landscape and the erosion of the authenticity that defines historic urban environments6.
Among the approaches discussed, tourism has emerged as a crucial engine for revitalizing the economies of aging urban areas through heritage revitalization, spatial function replacement, and the integration of cultural and tourism industries. It contributes to environmental, functional, and socio-economic renewal, safeguards local culture, and promotes sustainable social development18. In historic urban areas, where preservation and development must be integrated, heritage tourism is increasingly regarded as a dynamic solution to achieve this balance. It has emerged as a central industry for revitalizing historic districts and stimulating urban economic growth3. Heritage tourism consists of visits to places that embody the past and/or to places related to intangible heritage manifestations19. The strategy converts the cultural capital of historic urban areas into economic benefits by targeting heritage tourists as a distinct market segment. Through activities such as sightseeing and cultural immersion, these tourists develop emotional connections with heritage sites, which, in turn, become a catalyst for urban functional renewal, business upgrading, and the revitalization of heritage assets.
Heritage tourism presents both opportunities and notable challenges as a distinct sub-sector of the tourism industry. It seeks to balance physical heritage assets with intangible cultural elements by dynamically integrating them, thereby creating new possibilities for revitalizing historic urban areas3. When tourists are satisfied with their heritage experiences, their awareness and appreciation of heritage conservation tend to increase, creating a positive feedback loop that supports ongoing preservation efforts4. However, the field also faces persistent challenges, including the insufficient protection of heritage resources, over-commercialization, and inappropriate insertion of cultural symbols that may distort authenticity. These problems directly affect tourist attractions and lead to the accumulation of negative emotions. At the core, such problems stem from the failure to accurately understand tourist needs during the renewal of historic urban areas, as well as misalignment between the spatial presentation and the heritage experiences that tourists anticipate. Therefore, conducting in-depth research on tourist perception is essential to ensure heritage tourism develops in a direction that aligns with both tourist expectations and conservation goals.
Tourist perception, functioning as a critical bridge between heritage value and tourism experience4, has become a core entry point for resolving the contradiction between heritage site protection and sustainable development. It encompasses tourists’ overall cognitive and emotional responses to the authenticity, landscape, and service quality of heritage sites. The formed cognitive content involves multiple dimensions such as emotion20,21, aesthetics16, culture22, environment23, and economy24. In addition to revealing explicit attention to historical and commercial functions, tourist perception also uncovers deeper needs such as the desire for local identity and cultural engagement through emotional expression25. These emotional responses, shaped by perceptions of tourism behavior, subtly influence the direction and strategy of urban renewal in historic areas5.
Current research on heritage tourists’ perceptions mainly centers on three key dimensions: authenticity, experience, and environmental perception. Studies in this area have also examined how these perceptual factors influence tourist satisfaction, loyalty, and behavioral intentions.
Authenticity is a central concern in heritage tourism and is a key dimension of tourist perception. It functions both as a broad theoretical concept and as a research subject, divided into multiple subtypes, with categorization varying across different cultural contexts. For example, Park’s study at the World Heritage site of Hahoe Village analyzed tourists’ responses to investigate how perceptions affect loyalty. The findings suggest that tourists’ satisfaction with authenticity significantly influences their willingness to revisit the site, highlighting authenticity’s pivotal role in shaping tourist behavior and perceived heritage value. Tourists’ satisfaction with the authenticity of a site significantly influences their willingness to revisit it26. Cheng investigated natural heritage sites to explore how tourists perceive various forms of authenticity, including environmental, brand authenticity, self-authenticity, and customized authenticity, and examined how restored landscapes influence tourist loyalty27. Perceptions of authenticity drive tourist behavior, which also has a moderating effect on it28. Based on the model of authenticity, Bryce explored the interactive mechanism among specific perceptions of authenticity, cultural motives, and tourist participation, drawing on tourist experience at Japanese heritage sites29. Collectively, these studies highlight authenticity’s role as both a direct motivator and an intermediary factor influencing visitors’ choices, evaluations, and subsequent tourism behavior toward heritage destinations30.
Tourists’ experience perception of heritage sites serves as a crucial link between the cognitive understanding of authenticity and behavioral intention. Existing research has primarily focused on factors shaping tourism experiences and the mechanisms driving tourist behavior. For example, Chen’s study on heritage sites in Tainan City found that experience quality indirectly influences visitors’ behavioral intentions through the mediating effect of satisfaction25. Similarly, Sasongko’s research employing the reflective measurement model revealed that visitors’ perceptions of service quality significantly impact their participation in tourism activities31. Tourists’ experiences in heritage tourism play a direct or indirect role in shaping behavioral intentions. For example, Bhogal examined the relationship between memorable tourism experiences (MTEXs) and behavioral intentions (BINTs) across multiple dimensions in Jaipur, India, highlighting their dynamic interaction32. Alrawadieh, building upon cognitive appraisal theory, constructed a “cognition-emotion-behavior” chain to explore the role of tourist emotion within destination cognition33. Moreover, heritage tourism experience has been found to positively shape tourists’ attitudes toward heritage conservation34. In a case study of Sanqing Mountain National Park, Nian adopted the Stimulus-Organism-Response (S-O-R) theory, demonstrating how tourists’ cognition of ecological conservation measures influences their behavioral responses in a natural heritage setting4. Scholars’ research on environmental perception primarily investigates how specific factors influence tourist emotions and place identity, often through case studies. Based on these findings. Scholars propose targeted strategies to balance heritage development and protection. At a broad level, studies explore how the underlying causes of heritage formation shape tourist perceptions. For example, Zou’s research on Quanzhou, China, found that the heritage environment is influenced by regional planning, social dynamics, and local culture, which contribute to the site’s place identity. The perception of heritage spaces can enhance tourists’ sense of place identity by fulfilling functional needs and fostering emotional engagement35. Bonn categorized the fundamental environmental components of heritage attractions into three key dimensions: ambiance, layout and design, and social elements. These physical aspects of a heritage site significantly influence tourist attitudes, including their willingness to revisit and recommend the destination to others36. In a study of heritage attractions in Northern Ireland, Kempiak identified audio-visual communication, site atmospherics, on-site engagement, informational content, and heritage preservation as the most impactful environmental factors shaping tourist perception37. At the micro level of physical space, research has emphasized how visual elements within specific heritage tourism scenes influence tourist perception. Tourists visually engage with these elements, which in turn shape their behavioral intentions. Using garden heritage as a case study, Song developed a synergistic framework linking tourist perception with spatial quality, illustrating the mutual influence between the two38.
Empirical studies directly examining tourists’ perceptions of physical space remain relatively scarce in the above research. Although progress has been made through various theoretical models, limitations persist: the model of authenticity and the reflective measurement model often focus on a single dimension. Cognitive appraisal theory emphasizes psychological processes while neglecting external environmental factors. Furthermore, most existing research interprets satisfaction and loyalty as proxies for tourist perception, which do not directly assess tourists’ psychological states. However, emotional experiences serve as a precursor to tourists’ perception of a destination’s overall image39. In contrast, the S-O-R theory offers a more comprehensive analytical pathway, elucidating how external environments influence internal perceptions and subsequently trigger behavioral responses, thereby providing a foundational analytical perspective for tourist perception analysis40. Its core logic posits that environmental stimuli activate behavioral responses through individual perception and emotional psychological processes41. Drawing upon this theory, this study employs it as an implicit thread to construct a multimodal analysis framework.
Most exciting studies relied on textual data collected through questionnaires and interviews. Nevertheless, these methods are often constrained or limited by small sample sizes and lack timeliness. Additionally, the subjective nature of individual responses makes it difficult to apply the findings to a specific heritage space. These limitations hinder the effective translation of heritage conservation and renewal strategies into concrete spatial practices, introducing uncertainty into the implementation outcomes. In contrast, the growing use of social networking platforms, where tourists frequently share comments and photos, offers a valuable and timely source of behavioral data. Opening a new avenue for tourism research. The rapid advancement of big data technology and machine learning algorithms has led to innovative approaches for researching tourist perception. Unlike traditional offline data collection methods, big data analytics enable real-time capture of large volumes of tourist-generated content from internet platforms, offering a powerful means to explore tourist needs and emotional responses. Currently, natural language processing (NLP) is advancing rapidly. Although it faces challenges such as contextual comprehension, ethical consideration, and limited modality42, its ability to automate text processing and enhance analytical efficiency and depth positions it as a crucial method for handling big data. Simultaneously, NLP has found extensive application in tourism research, encompassing sentiment analysis, topic clustering, and travel assistance43. However, these techniques remain confined to pure text analysis in heritage research within HUAs, lacking the connection between textual sentiment and the concrete visual sources that evoke such sentiment. This disconnect prevents conclusions from providing precise guidance for spatial design. To address these challenges, this study innovatively constructs a multimodal framework integrating topic analysis and sentiment analysis for text modalities with computer vision for image modalities. To tackle the challenges of understanding cultural contexts and implicit needs, this study employs the LDA (Latent Dirichlet Allocation) model, a key technology for enhancing NLP44. By identifying co-occurrence patterns of high-frequency keywords in text, LDA uncovers latent semantic themes without attempting to grasp the deep meaning of words within specific contexts or their syntactic structures. This characteristic makes it suitable for processing large volumes of unstructured, colloquial text, such as tourist reviews, enabling the identification of topics and areas of interest that capture visitors’ attention45. This technique effectively avoids the subjectivity of predefined classifications, providing a data-driven dimension for understanding the diverse focal points of tourists. For sentiment analysis, SnowNLP is employed due to its practicality in Chinese sentiment analysis. It significantly enhances sensitivity to Chinese emotional semantics and classification accuracy, enabling precise quantification of textual sentiment tone and visualization of emotional trends among visitor groups46. Its direct sentiment quantification capability eliminates the need for indirect indicators like satisfaction or loyalty to measure visitor sentiment. Crucially, to overcome the disconnect between sentiment and visual space, this study introduces image segmentation technology. This technique enables pixel-level quantification of the structural composition of visitor-shared images, precisely extracting the visual proportion of spatial elements and transforming the environment into measurable visual variables47. This converts subjective “environmental perception” into objective spatial variables that can be mechanistically studied alongside tourist. The innovation of this technical framework lies in establishing a comprehensive analytical pathway—from theme identification to emotional measurement to spatial element attribution—through multimodal analysis. It not only captures what visitors express but also quantifies their emotional inclinations, ultimately pinpointing the specific spatial elements shaping these experiences. Potential contributions manifest in two aspects1. Through combining moderately complex technical solutions, it provides a methodological template for multimodal analysis in heritage tourism2. Multimodal approaches deliver precise, data-driven decision-making support for historic district planning and renewal, enabling direct feedback into physical spaces to achieve a refined balance between heritage preservation and tourism development.
Based on the above context, this study focuses on the historic urban areas of Ganzhou, China, selecting 18 heritage attractions as its research units. Leveraging tourists’ online multimodal data, this study introduces a technical framework of “textual topic mining-image visual element extraction-emotional influencing mechanism modeling” to overcome the limitations of traditional research methods. The research process involves three key steps: first, collecting tourist review data from social media platforms to address the constraints of limited and outdated data sources; second, applying NLP techniques to analyze the textual content and extract key topics that reflect tourist interests and preferences in heritage tourism; and third, using sentiment analysis methods to convert textual sentiment into quantifiable sentiment scores. Simultaneously, spatial visual elements from review images are extracted using image segmentation techniques. Finally, a regression model is constructed to examine the correlation between the sentiment scores and these visual-spatial elements, aiming to offer theoretical insights and practical management guidelines for the renewal of historic urban areas.
This study aims to explore the following research objectives through a multimodal technology framework: First, what core perceptual dimensions comprise tourists’ heritage tourism experiences in HUAs? What characteristics do these dimensions exhibit within the historic urban environments? Second, do spatial elements in HUAs influence tourists’ emotions? What is the specific influencing mechanism?
Methods
Study area
This study focuses on the historic urban areas defined in the Conservation Planning of the Historic City of Ganzhou (2021–2035)48, which are geographically situated between 114°55'54“E-114°57'22“E longitude and 25°51'1“N-25°52'27“N latitude (Fig. 1). Within these historic urban areas, 18 heritage attractions were identified and used as research units (Table S1).
-
(1)
High degree of preservation and authenticity. Ganzhou City is in Jiangxi Province, China, and has been recognized as a national historical and cultural city since 1994. Established in 201 BC, it has a rich history that spans over 2200 years. The city experienced its peak during the Song Dynasty (960–1276 BC), with the present-day HUAs boundaries aligning precisely with the ancient city. More than half of the street layout, city walls, and city gates from the Song Dynasty have been retained, forming the spatial foundation of the present-day historic core. All 18 heritage attractions are included in the municipal-level or higher historical and cultural heritage directories.
-
(2)
Representativeness and regional specificity of spatial layout. Ganzhou exemplifies a typical inland Chinese city, characterized by a high-density, small-scale street fabric and architectural layout within HUAs. Simultaneously, HUAs of Ganzhou distinctly differ from other inland HUAs —it is encircled by the rivers, with distant mountains visible, forming an “mountain-river-city” integrated pattern. This enables the study to extend beyond the built environment, allowing it to transcend urban boundaries and explore the synergistic mechanisms by which natural and artificial composite landscapes jointly influence tourists’ perceptions.
-
(3)
Typical challenges in tourism development. The sharp increase in tourists has exceeded the carrying capacity of the old town. At the same time, the narrow streets have led to severe traffic congestion, exposing the inadequacy of the current infrastructure. Government-led commercial development during cultural and tourism transformation has preserved tangible heritage, but it has also led to excessive commercialization. Additionally, the quality of tourism services remains suboptimal and requires significant improvement to meet visitors’ expectations.
-
(4)
Abundant foundational data. Since the early 21st Century, the HUAs have increasingly become the focal point of urban cultural tourism. The vast tourist population generates massive amounts of multimodal user-generated content (UGC) on online travel platforms, providing a robust foundation of data for multimodal analysis.
Source: Base map acquired from the National Platform for Common Geospatial Information Services of China, in accordance with the GS (2025) 1508 standard.
Research framework
The technical framework is illustrated in Fig. 2. The study begins by selecting 18 heritage attractions in Ganzhou as data collection points. Tourist-generated texts and image reviews are then collected and preprocessed. For textual data, Latent Dirichlet Allocation (LDA) was applied to extract tourist interest topics, with the optimal number of topics and keywords determined using the coherence score. Concurrently, SnowNLP sentiment analysis is employed to quantify text sentiment. Additionally, the SnowNLP tool is used to generate sentiment scores and calculate the proportions of positive, neutral, and negative reviews for each topic and attraction. For the visual data, the Trans2Former model trained on the Mapillary Vistas dataset was used for image segmentation, enabling the extraction of spatial element proportions from review images. Finally, ridge regression is employed to model the relationship between sentiment scores and spatial elements, identifying which elements significantly influence emotions and estimating their correlation coefficients.
Technical Framework (Developed by the authors for this study).
Data sources and processing
Tourist review data were collected from five major Chinese online travel platforms: Ctrip, Dianping, Mafengwo, Qunar, and TikTok. To ensure consistency across platforms, field surveys were conducted to identify and consolidate attractions listed under different names. The data includes textual reviews and images for each attraction. Initially, duplicate entries, blank records, reviews with fewer than five characters, and images unrelated to historic urban areas were removed. After preprocessing, a total of 6484 valid textual reviews and 18,547 review images were retained for analysis.
Next, data preprocessing was performed as follows:
-
1.
Chinese word segmentation was performed using the Jieba package in Python.
-
2.
A standard Chinese stop word list, supplemented with a cost list of additional stop words, was used
-
3.
A custom professional dictionary was created to include characteristic terms related to the historic urban areas of Ganzhou, such as “Gan River,” “city wall,” “Floating Bridge,” and “Song Dynasty,” to improve the accuracy of topic clustering.
-
4.
Stop words, single-character words, and non-Chinese characters were excluded to produce the final dataset.
Research methodology
LDA is a probabilistic generative model based on unsupervised learning that can automatically extract latent semantic structures from large collections of documents49,50. It has been widely applied in fields such as semantic analysis, text mining, and text clustering51. LDA employs the bag-of-words method, where each document is represented as a word frequency vector, thereby transforming unstructured text into numerical data suitable for modeling. This model enables topic clustering and text analysis on large-scale corpora by extracting hidden thematic patterns based on word co-occurrence probabilities, thereby accurately identifying research topics in the data.
Assuming there are K topics in the document collection, the generation probability of the i-th term is denoted as \(P\left({w}_{i}\right)\), and is expressed as follows:
In the formula, \({z}_{i}\) is a latent variable representing the topic assignment for the i-th word. \(P\left({w}_{i}\left|{z}_{i}=j\right.\right)\) Denotes the probability that topic j generates the term \({w}_{i}\). \(P\left({z}_{i}=j\right)\) represents the weight or proportion of topic j within the given document, which varies across documents. Generally, \(P\left(w\left|z\right.\right)\) reflects the importance of the word to a specific topic, while \(P\left(z\right)\) indicates the prevalence of each topic in the document.
The optimal number of topics K requires two validation metrics: perplexity and coherence score. Perplexity tends to favor larger numbers of topics and performs poorly on short texts due to limited discriminative power. In contrast, the coherence score statistically measures the semantic co-occurrence strength among terms within each topic, making it more effective in avoiding overfitting52. Because most tourist reviews in this study are short texts, the coherence score was used to determine the optimal number of topics. The value of K corresponding to the highest coherence score was selected as the final number of topics.
Sentiment analysis is a subfield of NLP. Focuses on identifying and quantifying emotions expressed in text. This study employs SnowNLP, a Python-based NLP toolkit specifically designed for the Chinese language, offering key functionalities such as word segmentation, sentiment analysis, and text classification. It has widespread applications in social media analysis and user feedback processing53,54. SnowNLP uses a Naive Bayes classifier in conjunction with a sentiment lexicon to perform sentiment analysis (Figure S1). The proposed toolkit is equipped with a pre-trained sentiment dataset, enabling it to convert unstructured review text into a sentiment score indicating emotional polarity. These scores range from 0 to 1, where values closer to 1 represent stronger positive emotions and values closer to 0 reflect stronger negative emotions. Based on the distribution of sentiment scores, this research applies a three-level threshold classification:1 negative emotion: S∈(0, 0.4);2 neutral emotion: S∈[0.4, 0.7);3 positive emotion: S∈[0.7, 1].
Mask2Former is an advanced image segmentation model based on a transformer architecture. It features a three-part structure: a backbone network, a pixel decoder, and a transformer decoder. The backbone extracts low-resolution features from the input images, the pixel decoder reconstructs high-resolution representations to restore the original image dimensions, and the transformer decoder processes features to identify and segment objects (Figure S2)55. Given the rich semantics and diverse elements in historical urban imagery, this study adopts the Mapillary Vistas Dataset as the training set. The proposed dataset includes 66 semantic categories and 25,000 high-resolution urban images. Provide detailed annotations of elements such as roads, buildings, people, and urban facilities. It is approximately five times larger than the Cityscapes dataset, making it well-suited for urban scene analysis and tasks56.
In applying semantic segmentation, Mask2Former offers a significant advantage when using the Mapillary Vistas Dataset. It employs an encoder-decoder framework to convert input images into feature representations and uses a set prediction approach to generate segmentation masks corresponding to specific categories. This enables precise identification of individual objects in visually complex environments. Compared to traditional semantic segmentation models, Mask2Former delivers higher segmentation accuracy and robustness, particularly in scenes with cluttered backgrounds and a high density of diverse elements. These strengths provide a solid technical foundation for the semantic analysis of visual data in this research.
Ridge regression is a regularization-based method designed to address multicollinearity in regression analysis. The proposed method extends the ordinary least squares (OLS) approach by introducing a penalty term to the loss function, which allows for the controlled shrinkage of regression coefficients. This trade-off sacrifices a degree of model flexibility in exchange for improved stability of parameter estimates and enhanced generalization performance. The primary purpose of ridge regression is to mitigate the instability in coefficient estimation that arises when independent variables exhibit strong correlations, often leading to an ill-conditioned matrix57.
The formula is as follows:
In the ridge regression equation, \(\hat{\beta }\) Denotes the vector of the regression coefficients, and k (k > 0) represents the ridge parameter. When k = 0, the ridge regression yields the same solution as that of the ordinary least squares (OLS) method. In the process of establishing the ridge regression equation, selecting the ridge parameter k is crucial to model performance because it balances the trade-off between bias and variance. Under the assumption that all variance inflation factors (VIF) for the independent variables remain below 10, the smaller the k value, the lower the rate of information loss. In this study, the optimal value of k is determined through the analysis of the ridge trace plot.
Results
Analysis of heritage tourism topics
To determine the optimal number of topics, coherence scores were calculated for various topic counts. The highest coherence score was achieved when the number of topics was set to three (Fig. 3). Accordingly, three topics were selected for further analysis, and the corresponding topic-keyword associations are summarized in Table 1. The topics were defined by interpreting the semantic characteristics of the high-frequency keywords. Topic 1 centers on local history and culture and is labeled HAC. Keywords such as “history,” “Hakka,” “culture,” and “preservation” reflect tourists’ interest in the cultural depth of historic urban areas, indicating that history and culture constitute the core appeal of heritage tourism. Tourists express a strong desire to engage with a city’s historical context and cultural essence through tangible heritage features and intangible cultural expressions. Topic 2 centers on the heritage landscape shaped by the integration of built structures and natural elements within historic urban areas designated as HC. High-frequency keywords such as “park,” “old city wall,” “ancient city,” “Gan River,” “Zhang River,” and “Gong River” suggest that tourists’ interest has expanded from isolated architectural landmarks to broader urban landscapes where the interaction between built and natural environments enhances the aesthetic and historical appeal. Topic 3 emphasizes immersive tourism and participatory leisure activities, which are defined as LE. Keywords such as “nice,” “take photos,” “recommend,” “ticket,” and “punch card” indicate growing tourist demand for personalized and engaging experiences. These findings illustrate a broader shift in Heritage tourism from a predominantly “sightseeing-oriented” model towards a more “experience-oriented” paradigm.
Coherence scores.
As shown in Fig. 4, several keywords are shared across the three identified topics, reflecting the interdependence and multidimensional integration of the functions of historic urban areas. For instance, the term “ancient city” appears in both HAC and HC, indicating that ancient cities serve not only as repositories of historical and cultural heritage but also as critical components of the visual and spatial fiber of the urban landscape. Similarly, keywords such as “Park” and “Yugu Pavilion” appear in both HC and LE, suggesting that these spaces possess both scenic value and serve as venues for tourists’ leisure and engagement. These findings demonstrated that cultural representation of historic urban areas is not confined to a single dimension; rather, it is embedded across multiple layers-including material space, intangible heritage, and participatory cultural experiences.
Count and weight of the top 20 keywords.
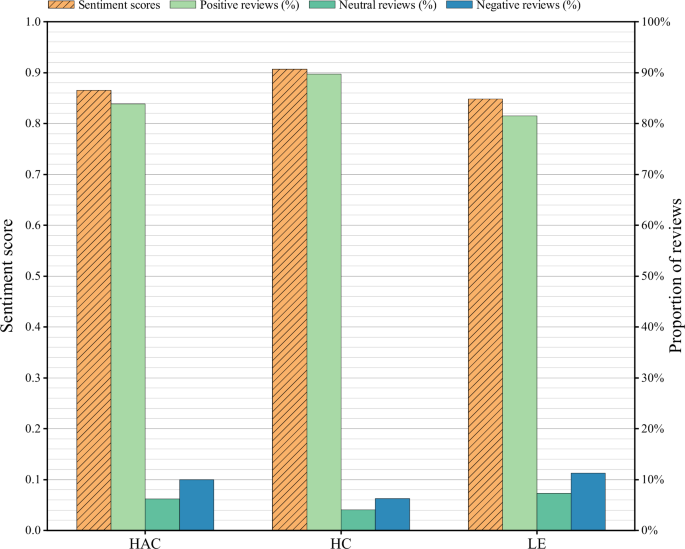
The sentiment analysis results for the three identified topics are presented in Fig. 5. The majority of reviews across all topics exhibit positive emotional tendencies, with over 80% classified as positive. This indicates that tourists are generally satisfied with the overall conditions of the historic urban areas in Ganzhou. Among the topics, HC recorded the highest sentiment score (0.907) and the largest proportion of positive reviews (89.73%), suggesting that tourists place significant value on the visual appeal and presentation of the heritage landscape. HAC revealed a sentiment score (0.865) and positive reviews (83.85%). LE received the lowest sentiment score (0.848), along with the highest proportions of neutral (7.29%) and negative reviews (11.24%). The neutral and negative sentiments primarily stemmed from two areas of dissatisfaction:1 Inadequate infrastructure, such as poor lighting at night and limited parking availability;2 unsatisfactory service experience, including complaints about high ticket prices, long queues, overpriced goods, cleanliness issues, unpleasant odors, and unclear signage.
Sentiment scores of topics.
Sentiment analysis of research units
Figure 6 presents the sentiment scores for each of the 18 heritage attractions, all of which fell within the positive emotional range. This indicates that tourists are generally satisfied with the heritage tourism experience in the historic urban areas of Ganzhou. Among these, 15 attractions had sentiment scores exceeding 0.8, demonstrating a consistently high level of visitor satisfaction. Notably, Fushou Drainage and Wei’s Compound are the only two attractions with sentiment scores above 0.9. Their close spatial proximity is likely to contribute to a synergistic tourism effect, encouraging one-stop visits and enhancing the overall experience. Furthermore, Yugu Pavilion Park, Sixian Archway, Ganzhou Park, Confucius Temple, Baijing Park, and Guiliano Park all have sentiment scores ranging from 0.85 to 0.9, further indicating their strong appeal to tourists. These attractions are primarily composed of artificial structures and are complemented by well-preserved ecological environments. For instance, Yugu Pavilion Park combines Song dynasty architectural heritage with natural scenery, offering tourists elevated views from the pavilion while immersing them in a rich historical and cultural setting. In contrast, the sentiment scores of Yongjin Gate, Jianchun Gate, and the Standard Clock Tower were below 0.8. Yongjin Gate received the lowest score (0.764) among the 18 attractions. These three sites are characterized by isolated architectural forms that lack meaningful integration with their surroundings. For example, although the Standard Clock Tower, a prominent landmark in the historical urban area, is accessible only for exterior viewing, this limitation restricts the duration of tourist engagement and reduces emotional resonance.
Sentiment scores of research units.
Image segmentation of research units
Figure 7 presents examples of image segmentation results for the 18 heritage attractions, visually illustrating the spatial composition of each site. Based on the constituent elements and landscape characteristics of HUAs, the segment labels produced using the Mapillary Vistas Dataset were divided into 14 categories, as detailed in Table 2. Among these, Architecture, sky, vegetation, water, terrain, and mountains emerged as the dominant visual elements shaping the landscape of historic urban areas. These elements significantly influence tourists’ visual perception and experience, and therefore, were not merged with other labels in the classification process.
Image segmentation result.
Analysis of the regression model
First, a correlation coefficient matrix analysis was conducted using the 14 spatial elements as independent variables, as shown in Fig. 8. The analysis revealed significant multicollinearity among several variables, confirming the suitability of a ridge regression model for this study. In the next step, the ridge parameter K was determined using the ridge trace plot (Fig. 9), which indicated that the curve stabilized when K is greater than or equal to 0 (K > 0). Therefore, K was set to 0.01, and the corresponding ridge regression results are presented in Table 3. An F-test was performed on the model, yielding a p-value less than 0.05 (p < 0.05), which confirms that the ridge regression model is statistically significant and valid.
Correlation test.
Ridge trace plot.
The regression result indicates that the p-values for variables X1, X2, X5, and X12 are greater than 0.05, suggesting no significant correlation with the dependent variable. As a result, these four variables were excluded from further analysis. In contrast, variables X10 and X14 had p-values less than 0.05, indicating a significant correlation. The remaining eight independent variables —X3, X4, X6, X7, X8, X9, X10, X11, X13, and X14 have a p-value less than 0.01, demonstrating a highly significant relationship with tourist emotion. Based on these findings, these ten variables were selected as the final indicators for subsequent analysis. A further analysis of the regression coefficient was conducted to evaluate the direction and influence of each spatial element on tourist emotion. Seven variables (X4, X6, X7, X9, X11, X13, and X14) had a positive coefficient and a positive correlation with tourist emotion. In contrast, three variables (X3, X7, and X8) had a negative coefficient, indicating a negative correlation with tourist emotion.
Among the positively correlated factors, X11(water) has the highest coefficient of 0.140, suggesting it exerts the strongest positive influence on tourist emotion. In a dense network of streets and alleyways typical of historic urban areas, the presence of water helps alleviate visual tension. X7 had the second-highest positive coefficient (0.122), which is approximately 1.6 times that of X6. X9 also showed a strong positive effect (0.113), likely due to the open sky enhancing visual comfort and psychological well-being. Other positively correlated factors include X4 (0.052), X13 (0.024), and X14 (0.017), which contribute to tourist emotion by improving accessibility (transportation) and enriching the natural landscape (mountain and other natural elements). Among the negatively correlated variables, X8 had the most significant effect, with a coefficient of −0.231, which is 1.65 times greater in magnitude than the positive effect of X11. X3 (−0.034) and X10 (−0.012) had comparatively weaker negative impacts.
Discussion
With the growing emphasis on global heritage preservation, sustainable heritage tourism has emerged as a central approach to achieving a balance between conservation and development58. This study applies the LDA to extract key topics and keywords from tourists’ reviews, thereby identifying the primary perceptual dimensions and corresponding characteristics of tourists exploring historic urban areas. Compared to other tourist destinations, heritage tourists demonstrate a stronger preference for authentic historical settings, encompassing both tangible landscapes and intangible cultural experiences. Moreover, tourists’ needs evolve alongside their perceptions during the heritage tourism process, highlighting the dynamic relationship between visitor engagement and the cultural depth of the site.
Within the dimension of environmental perception, tourists’ visual focus has gradually shifted from isolated architectural landmarks to integrated landscapes that combine built structures with their surrounding natural environment. This reflects a broader trend in heritage tourism where the emphasis moves from singular sightseeing objects to the holistic spatial composition of historic urban areas. Traditionally, architectural heritage was considered the core of such areas, with previous studies concentrating on buildings and streets59,60,61. Still, this study finds that high-frequency keywords under the HC topic, “park,” “Guijiaowei,” “Yugu Pavilion,” and “Floating Bridge,” highlight the interplay between human-made structures and the natural environment. Furthermore, keywords like “Gan River,” “Zhang River,” and “Gong River,” known as the Mother Rivers of Ganzhou, represent purely natural elements that also play a key role in attracting tourists. While nature-related keywords have been common in studies of natural heritage attractions, such as wetlands62, peatlands63, geological parks64, and scenic spots65, their emergence in the context of historical urban tourism marks an important extension of traditional research boundaries.
In contrast to previous studies that rarely address natural landscapes in the context of historic urban areas, this study reveals a different trend. Prior analysis, such as in Wang’s study of the Taiping Street historical district in China, did not identify any nature-related terms among topics and keywords derived from tourists66. However, our findings suggest that the unique environmental characteristics have significantly influenced tourist perception. Taiping Street is a quintessential historic district composed entirely of architectural streets and alleys, with virtually no natural landscapes present. In contrast, surrounded by rivers on the north, west, and east and bordered by mountains across the river, Ganzhou presents a distinctive natural environment compared to other historic cities. Moreover, many heritage attractions in historic urban areas are located within parks with abundant natural space, further integrating nature into the heritage tourism experience and enhancing its appeal. Using Yugu Pavilion Park as a case study in this research, the analysis of its spatial-emotion dynamics is conducted. The Yugu Pavilion is situated at the park center and is accessible via the green pathways. Upon ascending the pavilion, visitors gain panoramic views of the Zhang River, Gong River, and distant mountains. This integration of architecture and natural scenery fosters positive emotional responses, highlighting the significance of tourism in blended artificial-natural landscapes. As UNESCO emphasizes, the natural environment is an integrated component of heritage value12. These findings suggest that urban renewal strategies for historical areas must prioritize understanding the foundational environmental context, moving beyond isolated preservation of buildings or streets to holistic environmental enhancement.
Within the dimension of experience perception, the revitalization of historical scenes enhances the experience, and tourists increasingly prioritize immersive engagement over conventional sightseeing. High-frequency keywords from the LE topic reveal distinct behavioral and emotional patterns. Terms such as “nighttime,” “punch card (photo-taking hotspot),” “take photos,” and “attractions” highlight a shift toward the emerging trend of curated, commemorative activities. Tourists are shifting from superficial tours to commemorative experiences, such as night tours, and sharing on social media to record their unique experiences. Keywords like “nice,” “worth,” “like,” “special,” “recommend,” and “suitable” directly convey tourists’ positive emotions and preferences for attractions, while “attractions,” “ticket,” and “free” reflect tourists’ sensitivity to the quality of destination service. These findings align with research indicating that heritage tourism now emphasizes activity-driven engagement67. Previous studies corroborate these findings. For instance, Wang’s analysis identified keywords “nighttime” and “queuing” as critical experiential themes66, aligning with this research’s emphasis on nocturnal engagement and service efficiency. Similarly, Pan’s study highlighted leisure tourism as the most salient topic in public perception, with keywords such as “attractions,” “punch card,” and “worth,” mirroring those in this study68. These parallels further validate the distinct behavioral patterns of experiential tourism. Collectively, the evolution of tourist needs in the heritage context reflects a shift from basic sensory satisfaction to a multidimensional framework of behavioral participation, emotional connection, and perceived value. This progression offers empirical evidence for designing cultural and tourism experiences.
Within the dimension of authenticity perception, this study reveals the centrality of cultural narratives in shaping heritage tourism. The significant impact of local culture’s profound influence on tourist satisfaction arises from the interplay between historical context and tourist immersive experience69. This aligns with the HAC-related keywords “architecture,” “history,” “Hakka,” and “culture”. The uniqueness of the historic urban areas of Ganzhou lies in the Song Dynasty architecture and alleyways that form the urban foundation. Hakka culture was integrated during the Ming and Qing Dynasties (1368–1911). Heritage has been well preserved in modern times. The authenticity of tangible and intangible heritage revealed through historic layering provides tourists with a deeper historical immersion experience. Existing research supports this perspective. As exemplified by Skotis’s study of historic districts, nearly 25% of respondents emphasized a site’s significance as architecture and street, tangible manifestations of collective memory eliciting the strongest emotional engagement70. Zuo’s research on intangible cultural heritage tourism indicates that the authentic characteristics and traditional values of destinations are more conducive to visitors’ perception, enhancing their understanding of and emotional connection to the destination71. The findings above demonstrate that the authenticity of tangible and intangible heritage rooted in history and culture is not merely foundational to destination perceptions but also pivotal in fostering emotionally resonant tourism experiences.
This research quantitatively examines the mechanism between tourist emotion and spatial elements in historic urban areas, offering data-driven insights to guide urban renewal strategies. Regression analysis reveals a “visual stimuli-emotional response” mechanism shaped by natural and built environments. Natural features and functional infrastructure exhibit a significant positive correlation with tourist emotions, whereas Architecture and road demonstrate negative associations. These quantitative disparities challenge conventional assumptions about heritage aesthetics, suggesting that spatial design impacts emotions in ways that may contradict intuitive or tradition-based perception.
High-density historical architectural clusters and street networks are defining features of historic urban areas. However, this study reveals that these elements demonstrate a negative correlation with tourist emotions. This finding can be further explained through the concept of place identity theory. Individuals need to interact with their environment to transform spaces into emotionally and meaningfully significant places, integrating them into their self-concept72. The visual legibility of cultural narratives is a crucial prerequisite for this transformation73. Within historic urban areas of Ganzhou, the street fabric, landmark heritage architectures, and their visual connection to natural landscapes collectively form a “visual text” describing the area’s history and culture. However, the high-density architecture layout obstructs the key visual pathway, making nodes difficult to identify and hindering the interpretation of this “visual text”. This diminished physical spatial legibility subsequently impacts the formation of tourists’ place identity. When tourists cannot clearly perceive the unique cultural identity of historic areas through visual experience, they are obstructed from establishing deep emotional connections with the place, making them more prone to negative emotions. This aligns with Huang’s findings, where dense streetscapes increased perceived crowding and visual closure, straining visual accessibility and compromising visitors’ comfort74. Conversely, prior studies posit that architecture and street are often evaluated as bearing core values75,76. This discrepancy stems from differing research perspectives: the former focuses on the value assessment of objective material heritage, while this study emphasizes the subjective perception of tourists. Highlighting a tension between objective urban metrics and subjective tourist experience. This divergence establishes the need for renewal strategies that balance heritage conservation with tourist-centered design principles.
Natural elements such as sky and water exhibit a strong correlation with tourist emotion, functioning as an emotional buffer within heritage settings. These features enhance visual openness and counteract the enclosure imposed by built structures77,78, alleviating the psychological strain of dense urban environments. Vegetation, however, presents a paradox. While prior studies emphasize its benefits for ecosystems79, resident health80, and subjective well-being81 in the urban environment. Although vegetation is generally regarded as a positive element. This research reveals a negative correlation between vegetation and tourist emotions. This may be attributed to the specific context of historic urban areas. Although vegetation is abundant in many scenes, tourists tend to focus more on architectural heritage in their visual engagement. Yu’s research on historic districts supports this observation, showing that the green view ratio is inversely proportional to district vitality, with lower ratios allowing historical architectural elements to be more effectively showcased60. Huang’s research also supports the findings of this research, indicating that when architecture density is too high, the marginal effect of vegetation diminishes74. In rural environments, such as the case study of Lu Village, vegetation serves as a core positive element, driving tourism development and enhancing tourist satisfaction through cultural, ecological, and economic benefits82. In contrast, the lack of meticulous maintenance for vegetation in historic urban areas of Ganzhou contributes to negative emotions. Furthermore, as a cohesive tourism unit, the village lacks a central landmark and does not experience vegetation obstructing sightlines. Collectively, these results argue against indiscriminate greening in historical areas. Instead, spatial interventions must balance ecological goals with heritage legibility and tourist priorities.
Finally, the regression results highlight that vehicular access, functional infrastructure, and culturally symbolic landscape facilities significantly enhance tourists’ emotional experience. Heritage tourists’ priorities are not only the heritage itself but also seamless transportation and accessible amenities. This finding aligns with Chen’s research, which highlights that heritage tourists are interested in the heritage itself and sensitive to the convenience of transportation and the completeness of service facilities in the area34. Infrastructure such as fences, streetlights, and signboards fulfils practical needs while reinforcing environmental cohesion. Zhou’s study of historic urban areas of Suzhou objectively demonstrated that tourism service facilities stimulate tourism vitality83. This research aligns with its goal of achieving consistency between objective urban indicators and subjective tourist experiences. It is worth noting that landscape facilities integrating historical motifs (e.g, traditional patterns or heritage-inspired designs) demonstrate an emotional impact 1.6 times stronger than the standard infrastructure. This suggests that facilities blending utility with cultural narratives offer superior aesthetic engagement, enabling tourists to absorb the site’s heritage contextually-for example, through benches carved with local motifs or signage using historical heritage through benches carved with local motifs or signage using historical typography such designs foster indirect interaction while revitalizing cultural narratives84, thereby unlocking the tourism potential of historic urban areas.
The essence of historical urban area renewal lies in the dual pursuit of enhancing heritage value and deepening tourist experience. Drawing on the tourist demand and emotional response mechanisms identified in the preceding research, this study proposes two complementary renewal paths: visual scene renewal and tourist experience renewal. The goal is to foster a synergistic improvement in both heritage revitalization and visitor engagement.
-
(1)
Visual Scene revitalization: targeted small-scale interventions in the public space are prioritized to preserve and amplify the area’s inherent characteristics rather than introducing extraneous aesthetic elements. At the macro scale, design panoramic view corridors to strengthen the visual integration of architecture and natural landscape. Address visual congestion by selectively pruning or relocating vegetation to improve sightlines, aligning with findings on the emotional impact of architectural density. At the micro level, local cultural DNA (e.g., traditional motifs, historical narrative) is translated into spatial elements such as heritage-inspired street furniture, signage, and public art to heighten cultural legibility and emotional resonance.
-
(2)
Experience innovation: First, enhance navigational infrastructure and install a wayfinding system in high-density zones to streamline pedestrian parking hubs and promote shared electric shuttles or bicycles within the heritage zones, mitigating frustration from traffic congestion. Promote shared electric sightseeing vehicles and bicycles within the areas to alleviate negative emotions caused by traffic congestion. Second, leverage nighttime tourism potential by curating illuminated landmarks and photo-friendly’ Instagram spots’ to align with trends in commemorative social sharing85. Complement this with cultural festivals (e.g., lantern festivals, Hakka storytelling events) that animate intangible heritage, fostering a deeper connection between visitors and historical narratives.
Research findings are grounded in Ganzhou’s specific geographical context of waterfront patterns and abundant sunlight. When applied to inland arid regions or high-latitude areas with significant seasonal fluctuations in visibility, image segmentation models require retraining to adapt to the environment. Nevertheless, the core value of this study lies in revealing a universal mechanism that transcends specific regional characteristics: the spatial elements of HUAs systematically influence tourists’ emotions. In broader geographical contexts, this mechanism primarily manifests as a transformation in the proportions of elements86. The universal significance of this research extends beyond specific quantitative indicators to encompass its technical framework and research methodology.
This study investigates historic urban areas of Ganzhou, employing a multimodal data-driven framework of “textual topic modeling, visual element extraction, and emotional mechanism analysis” to decode dimensions of tourists’ perception and quantify how spatial elements shape emotional experience in heritage tourism. The Key findings are as follows: First, dimensions of tourists’ perceptions and features analysis. LDA analysis of review texts identified three core topics: “History and Culture,” “Historical Cityscape,” and “Leisure Experience.” Dimensions of perceptions encompass environment, experience, and authenticity. Second, Ridge regression modeling revealed a ‘visual stimuli-emotional response’ mechanism, natural elements and functional infrastructure positively correlate with tourist emotion, whereas architectural density and road exhibit negative associations.
This study advances heritage tourism research through two key innovations:
-
(1)
Methodology integration. Transcending traditional single-modality approaches, this research synergizes NLP-driven sentiment analysis with visual element extraction to establish a multimodal tourist perception framework. This approach enables a holistic evaluation of how textual narratives and spatial aesthetics jointly shape the emotional perception evaluation system.
-
(2)
Spatial-Emotional Causality mechanism. By empirically quantifying the differential emotional impact of natural versus built elements, this study bridges a critical gap in understanding how heritage environments, not just heritage objects, affect visitor psychology. Collectively, the proposed model demonstrates how multimodal data can operationalize tourist perception analysis, offering a replicable paradigm for heritage studies. The studies not only refine theoretical models of emotional engagement but also catalyze the shift from a static to a dynamic “living heritage” paradigm, prioritizing adaptive renewal strategies that harmonize cultural sustainability with contemporary tourist needs.
This study has certain limitations. First, the case study was conducted in Ganzhou, China; subsequent research could conduct comparative analyses in HUAs across different cultural contexts and geographical features worldwide. Second, due to limitations imposed by tourism platforms, this study did not obtain precise geocoded data. Future research should expand the geographic attributes of data, linking the study to specific spatial units to further explore spatial-level outcomes.
References
Pulles, K. et al. Emerging strategies for regeneration of historic urban sites: A systematic literature review. City, Cult. Soc. 35, 100539 (2023).
Geng, L., Xue, M. & Li, J. Historic District Conservation: A Critical Review of Global Trends, Development in the 21st Century, and Challenges Through CiteSpace Analysis. Buildings 15, 1232 (2025).
Lak, A., Gheitasi, M. & Timothy, D. J. Urban regeneration through heritage tourism: cultural policies and strategic management. J. Tour. Cultural Change 18, 386–403 (2020).
Nian, S., Bao, J., Chen, Y., Zhang, X. & Chen, Y. How does the tourist experience affect the conservation of World Heritage Sites via the stimulus–organism–response model? Mount Sanqingshan National Park, China. npj Herit. Sci. 13, 21 (2025).
Li, J., Shi, H. & Li, D. Research on Renewal Strategy of Historical and Cultural Blocks from the Perspective of Tourist Perception. J. Tour. Manag. 1, 1–12 (2024).
Wang, J. Problems and solutions in the protection of historical urban areas. Front. Architectural Res. 1, 40–43 (2012).
Deacon, H. Conceptualising Intangible Heritage in Urban Environments: Challenges for Implementing the HUL Recommendation. Built Herit. 2, 72–81 (2018).
Zhao, P., Ali, Z. M. & Ahmad, Y. Developing indicators for sustainable urban regeneration in historic urban areas: Delphi method and Analytic Hierarchy Process (AHP). Sustain. Cities Soc. 99, 104990 (2023).
Doratli, N., Hoskara, S. O. & Fasli, M. An analytical methodology for revitalization strategies in historic urban quarters: a case study of the Walled City of Nicosia, North Cyprus. Cities 21, 329–348 (2004).
ICOMOS, International Charter for The Conservation and Restoration of Monuments and Sites (The Venice Charter) - 1964. Available: https://www.icomos.org/charters-and-doctrinal-texts/. [Accessed 21(2025)].
ICOMOS, Charter for the Conservation of Historic Towns and Urban Areas (Washington Charter, 1987). Available: https://www.icomos.org/charters-and-doctrinal-texts/. [Accessed 21(2025)].
UNESCO, Recommendation on the Historic Urban Landscape. Available: https://whc.unesco.org/en/hul/. [Accessed 21 May (2025)].
Cai, R. & Nasu, S. Adopting the ‘historic layering’ concept from the Historic Urban Landscape approach as a methodological framework for urban heritage conservation. Int. J. Herit. Stud. 31, 573–591 (2025).
Zhang, H., Cong, C. & Chakraborty, A. Exploring the institutional dilemma and governance transformation in China’s urban regeneration: Based on the case of Shanghai Old Town. Cities 131, 103915 (2022).
Wang, H., Zhao, Y., Gao, X. & Gao, B. Collaborative decision-making for urban regeneration: A literature review and bibliometric analysis. Land Use Policy 107, 105479 (2021).
Liu, Z., Wang, S. & Wang, F. Isolated or integrated? Planning and management of urban renewal for historic areas in Old Beijing City, based on the association network system. Habitat Int. 93, 102049 (2019).
Yung, H. K., Chan, H. W. C. & Xu, Y. Sustainable Development and the Rehabilitation of a Historic Urban District – Social Sustainability in the Case of Tianzifang in Shanghai. Sustain. Dev. 22, 95–112 (2011).
Holladay, P. J. & Powell, R. B. Resident perceptions of social-ecological resilience and the sustainability of community-based tourism development in the Commonwealth of Dominica. J. Sustain. Tour. 21, 1188–1211 (2013).
Vaquero, M.C. & Hernandez, M. G. Heritage Tourism and Visitor Management, In: E. Nikita, T. Rehren, Encyclopedia of Archaeology (Second Edition), Academic Press,2024, p. 597–605, https://doi.org/10.1016/B978-0-323-90799-6.00091-4
Zhang, T., Wei, C. & Nie, L. Experiencing authenticity to environmentally responsible behavior: Assessing the effects of perceived value, tourist emotion, and recollection on industrial heritage tourism. Front. Psychol. 13, (2022).
Genc, V. & Genc, S. G. The effect of perceived authenticity in cultural heritage sites on tourist satisfaction: the moderating role of aesthetic experience. J. Hospitality Tour. Insights 6, 530–548 (2023).
Zuo, Y., Lan, T., Liu, S. & Zeng, H. The effect of place attachment on visitors’ revisit intentions: evidence from Batam. Tour. Geographies 22, 51–82 (2020).
Isa, S. M., Ariyanto, H. H. & Kiumarsi, S. The Post-Effects of the Authenticity of Rural Intangible Cultural Heritage and Tourists’ Engagement. Behav. Sci. 14, 302 (2024).
Xu, X., Xue, K. & Li, F. The effect of price perception on tourists relative deprivation and purchase intention. Curr. Issues Tour. 27, 59–75 (2024).
Chen, C.-F. & Chen, F.-S. Experience quality, perceived value, satisfaction and behavioral intentions for heritage tourists. Tour. Manag. 31, 29–35 (2010).
Park, E., Choi, B.-K. & Lee, T. J. The role and dimensions of authenticity in heritage tourism. Tour. Manag. 74, 99–109 (2019).
Cheng, L. et al. Authentic experiences and visitor stickiness: When landscapes are restored at a world natural heritage site. Tour. Manag. 108, 105124 (2025).
Ram, Y., Björk, P. & Weidenfeld, A. Authenticity and place attachment of major visitor attractions. Tour. Manag. 52, 110–122 (2016).
Bryce, D., Curran, R., O’Gorman, K. & Taheri, B. Visitors’ engagement and authenticity: Japanese heritage consumption. Tour. Manag. 46, 571–581 (2015).
Cheng, L., Ju, Y., Wang, T., Wall, G. & Li, J. M. Wang, Authenticity, involvement, and image: Evaluating tourist experiences at historic districts. Tour. Manag. 50, 85–96 (2015).
Sasongko, G., Kameo, D. D., Siwi, V. N., Wahyudi, Y. & Huruta, A. D. The Effect of Service Quality and Heritage Tourism on Tourist Loyalty: The Case of Borobudur Temple. Heritage 8, 77 (2025).
Bhogal, S., Mittal, A. & Tandon, U. Accessing vicarious nostalgia and memorable tourism experiences in the context of heritage tourism with the moderating influence of social return. Int. J. Tour. Consum. Res. 10, 860–880 (2024).
Alrawadieh, Z. & Prayag, G. A cognitive appraisal perspective of emotional accessibility at heritage sites: empirical evidence from the UNESCO World Heritage Site of Petra. J. Herit. Tour. 18, 145–163 (2023).
Zhang, S. et al. Perception in cultural heritage tourism: an analysis of tourists to the Beijing-Hangzhou Grand Canal, China. J. Tour. Cultural Change 21, 569–591 (2023).
Zou, Y., Yang, Y., Li, Y., Liao, J. & Xiao, H. How do tourists’ heritage spatial perceptions affect place identity? A case study of Quanzhou, China. J. Hospitality Tour. Manag. 55, 460–470 (2023).
Bonn, M. A., Joseph-Mathews, S. M., Dai, M., Hayes, S. & Cave, J. Heritage/Cultural Attraction Atmospherics: Creating the Right Environment for the Heritage/Cultural Visitor. J. Travel Res. 45, 345–354 (2007).
Kempiak, J., Hollywood, L., Bolan, P. & McMahon-Beattie, U. The heritage tourist: an understanding of the visitor experience at heritage attractions. Int. J. Herit. Stud. 23, 375–392 (2017).
Song, H., Chen, J. & Li, P. Decoding the cultural heritage tourism landscape and visitor crowding behavior from the multidimensional embodied perspective: Insights from Chinese classical gardens. Tour. Manag. 110, 105180 (2025).
Prayag, G. & Hosany, S. Understanding the Relationships between Tourists’ Emotional Experiences, Perceived Overall Image, Satisfaction, and Intention to Recommend. J. Travel Res. 56, 41–54 (2017).
Nian, S., Li, D., Zhang, J., Lu, S. & Zhang, X. Stimulus-Organism-Response Framework: Is the Perceived Outstanding Universal Value Attractiveness of Tourists Beneficial to World Heritage Site Conservation?. Int. J. Environ. Res. Public Health 20, 1189 (2023).
Mehrabian, A. & Russell, J.A. An Approach to Environmental Psychology, The MIT Press, (1974).
Li, Q., Li, S., Zhang, S., Hu, J. & Hu, J. A Review of Text Corpus-Based Tourism Big Data Mining. Appl. Sci. 9, 3300 (2019).
Xu, Y. et al. Text mining-based analysis of ancient landscape and tourism behavior at Hangzhou’s West Lake. npj Herit. Sci. 13, 426 (2025).
Liu, D., Thomas, M. A. & Li, Y. Natural language processing enhanced literature reviews. J. Inform. Technol. 0,1–27, (2025).
Sun, S., Luo, C. & Chen, J. A review of natural language processing techniques for opinion mining systems. Inf. Fusion 36, 10–25 (2017).
Mao, Y., Liu, Q. & Zhang, Y. Sentiment analysis methods, applications, and challenges: A systematic literature review. J. King Saud. Univ. - Computer Inf. Sci. 36, 102048 (2024).
Ankareddy, R. & Delhibabu, R. Dense Segmentation Techniques Using Deep Learning for Urban Scene Parsing: A Review. IEEE Access 13, 34496–34517 (2025).
Committee for the Protection of Historic and Cultural City of Ganzhou, The Conservation Planning of Historic City of Ganzhou. Available: https://zjj.ganzhou.gov.cn/gzszfcs/c102956/202206/45cfe9acd6e44fbaad8ad092fd4ab9c1.shtml [Accessed 2025].
Blei, D.M., Ng, A.Y. & Jordan, M.I. Latent Dirichlet Allocation. J. Machine Learning Res. 3, 993–1022(2003).
Griffiths, T. L. & Steyvers, M. Finding scientific topics. Proc. Natl. Acad. Sci. USA 101, 5228–5235 (2004).
Jelodar, H. et al. Latent Dirichlet allocation (LDA) and topic modeling: models, applications, a survey. Multimed. Tools Appl. 78, 15169–15211 (2019).
Syed, S. & Spruit, M. Full-Text or Abstract? Examining Topic Coherence Scores Using Latent Dirichlet Allocation, 2017 IEEE International Conference on Data Science and Advanced Analytics (DSAA), Tokyo, Japan, 2017, pp. 165–174, https://doi.org/10.1109/DSAA.2017.61.
Fu, W. & Zhou, B. Theme Exploration and Sentiment Analysis of Online Reviews of Wuyishan National Park. Land 13, 629 (2024).
Wang, J., Xia, Y. & Wu, Y. Sensing Tourist Distributions and Their Sentiment Variations Using Social Media: Evidence from 5A Scenic Areas in China. Int. J. Geographical Inf. Sci. 11, 492 (2022).
Cheng, B., Misra, I., Schwing, A. G., Kirillov, A. & Girdhar, R. Masked-attention Mask Transformer for Universal Image Segmentation, arXiv, https://doi.org/10.48550/arXiv.2112.01527 (2022).
Mapillary Vistas Dataset, Available: https://www.mapillary.com/dataset/vistas [Accessed 2025].
Hoerl, A.E. & Kennard, R.W. Ridge Regression: Biased Estimation for Nonorthogonal Problems. Technometrics. 12 (1970).
Pai, C., Zhang, Y., Wang, Y.-L., Li, K. & Shang, Y. Current challenges and opportunities in cultural heritage preservation through sustainable tourism practices. Curr. Issues Tourism. 1–19, https://doi.org/10.1080/13683500.2024.2443776 (2025).
Li, Y. et al. Evaluating tourist perceptions of architectural heritage values at a World Heritage Site in South-East China: The case of Gulangyu Island. J. Hospitality Tour. Manag. 60, 127–140 (2024).
Yu, B., Sun, J., Wang, Z. & Jin, S. Influencing Factors of Street Vitality in Historic Districts Based on Multisource Data: Evidence from China. Int. J. Geographical Inf. Sci. 13, 277 (2024).
Willson, G. B. & McIntosh, A. J. Heritage Buildings and Tourism: An Experiential View. J. Herit. Tour. 2, 75–93 (2007).
Wang, W., Chen, J. S., Fan, L. & Lu, J. Tourist experience and Wetland parks: A case of Zhejiang, China. Ann. Tour. Res. 39, 1763–1778 (2012).
Flint, A. & Jennings, B. The role of cultural heritage in visitor narratives of peatlands: analysis of online user-generated reviews from three peatland sites in England. Int. J. Herit. Stud. 28, 163–179 (2022).
Luo, Y., He, J., Mou, Y., Wang, J. & Liu, T. Exploring China’s 5A global geoparks through online tourism reviews: A mining model based on machine learning approach. Tour. Manag. Perspect. 37, 100769 (2021).
Chai, C., Song, Y. & Qin, Z. A Thousand Words Express a Common Idea? Understanding International Tourists’ Reviews of Mt. Huangshan, China, through a Deep Learning Approach. Land 10, 549 (2021).
Wang, J., Fan, W. & You, J. Evaluation of tourism elements in historical and cultural blocks using machine learning: a case study of Taiping Street in Hunan Province. npj Herit. Sci. 13, 30, https://doi.org/10.1038/s40494-025-01641-x (2025).
Ding, J., Tao, Z., Hou, M., Chen, D. & Wang, L. A Comparative Study of Perceptions of Destination Image Based on Content Mining: Fengjing Ancient Town and Zhaojialou Ancient Town as Examples. Land 12, 1954 (2023).
Pan, Y., Nik Hashim, N. H. & Goh, H. C. Public perception of cultural ecosystem services in historic districts based on biterm topic model. Sci. Rep. 14, 11717 (2024).
Rasoolimanesh, S. M., Seyfi, S., Rather, R. A. & Hall, C. M. Investigating the mediating role of visitor satisfaction in the relationship between memorable tourism experiences and behavioral intentions in heritage tourism context. Tour. Rev. 77, 687–709 (2022).
Skotis, A. & Livas, C. A data-driven analysis of experience in urban historic districts. Ann. Tour. Res. Empir. Insights 3, 100052 (2022).
Zuo, Y., Lan, T., Liu, S. & Zeng, H. The Post-Effects of the Authenticity of Rural Intangible Cultural Heritage and Tourists’ Engagement. Behav. Sci. 14, 302 (2024).
Relph, E. Place and Placelessness, London: Pion, (1976).
Lynch, K. The Image of the City, The MIT Press, (1960).
Huang, J., Liang, J., Yang, M. & Li, Y. Visual Preference Analysis and Planning Responses Based on Street View Images: A Case Study of Gulangyu Island, China. Land 12, 129 (2022).
Huang, J., Hu, X., Wang, J. & Lu, A. How Diversity and Accessibility Affect Street Vitality in Historic Districts? Land 12, 219 (2023).
Zhang, Y. & Han, Y. Vitality evaluation of historical and cultural districts based on the values dimension: districts in Beijing City, China. Herit. Sci. 10, 137 (2022).
Ma, X. et al. Measuring human perceptions of streetscapes to better inform urban renewal: A perspective of scene semantic parsing. Cities 110, 103086 (2021).
Yin, L. & Wang, Z. Measuring visual enclosure for street walkability: Using machine learning algorithms and Google Street View imagery. Appl. Geogr. 76, 147–153 (2016).
Douglas, I. Urban ecology and urban ecosystems: Understanding the links to human health and well-being. Curr. Opin. Environ. Sustainability 4, 385–392 (2012).
Dillen, S.M., Vries, S. & Groenewegen, P.P. Greenspace in urban neighbourhoods and residents’ health: adding quality to quantity. Epidemiol. Commun. Health. 66, https://doi.org/10.1136/jech.2009.104695 (2011).
Tsurumi, T., Imauji, A. & Managi, S. Greenery and Subjective Well-being: Assessing the Monetary Value of Greenery by Type. Ecol. Econ. 148, 152–169 (2018).
Zhao, G., Ryan, C., Deng, Z. & Gong, J. Creating a softening cultural landscape to enhance tourist experiences: The case of Lu Village. Tour. Manag. Perspect. 53, 101245 (2024).
Zhou, M. & Yang, J. Geospatial Spatiotemporal Analysis of Tourism Facility Attractiveness and Tourism Vitality in Historic Districts: A Case Study of Suzhou Old City. Land. 14, 922. https://doi.org/10.3390/land14050922 (2025).
Zhao, Q., Zhang, L. & Hou, J. Developing a cultural sustainability assessment framework for environmental facilities in urban communities. npj Herit. Sci. 13, 107 (2025).
Wang, Y., Hu, W., Park, K.-S., Yuan, Q. & Chen, N. Examining residents’ support for night tourism: An application of the social exchange theory and emotional solidarity. J. Destination Mark. Manag. 28, 100780 (2023).
Yan, L., Chen, Y., Zheng, L. & Zhang, Y. Research on the quantification of historical street space based on image semantic segmentation. ICCAID 2021. 1216814 https://doi.org/10.1117/12.2630998 (2022).
Acknowledgements
This study was funded by the Beijing Natural Science Foundation Youth Support Project (Grant No. 8254045) and the Science and Technology Innovation Program of Xiongan New Area (Grant No. 2023XAGG0065-4). The funders played no role in study design, data collection, analysis and interpretation of data, or the writing of this manuscript.
Author information
Authors and Affiliations
Contributions
Tianyi Lin organized the research framework, wrote the main manuscript text and prepared tables 1–3. Xiong Li collected the data of historic urban areas and prepared figure 1. Xi Zhang and Jiaying Tian performed LDA analysis and prepared figures 2–6. Ruike Xiao performed image segmentation and prepared figures 7. Yutong Ji prepared figures 8, 9. All authors reviewed the manuscript.
Corresponding author
Ethics declarations
Competing interests
The authors declare no competing interests.
Additional information
Publisher’s note Springer Nature remains neutral with regard to jurisdictional claims in published maps and institutional affiliations.
Supplementary information
Rights and permissions
Open Access This article is licensed under a Creative Commons Attribution 4.0 International License, which permits use, sharing, adaptation, distribution and reproduction in any medium or format, as long as you give appropriate credit to the original author(s) and the source, provide a link to the Creative Commons licence, and indicate if changes were made. The images or other third party material in this article are included in the article’s Creative Commons licence, unless indicated otherwise in a credit line to the material. If material is not included in the article’s Creative Commons licence and your intended use is not permitted by statutory regulation or exceeds the permitted use, you will need to obtain permission directly from the copyright holder. To view a copy of this licence, visit http://creativecommons.org/licenses/by/4.0/.
About this article
Cite this article
Lin, T., Li, X., Zhang, X. et al. A multimodal study of decoding heritage tourists’ perception and emotion in historic urban areas of Ganzhou. npj Herit. Sci. 14, 2 (2026). https://doi.org/10.1038/s40494-025-02242-4
Received:
Accepted:
Published:
Version of record:
DOI: https://doi.org/10.1038/s40494-025-02242-4











