Abstract
Background
Gestational diabetes mellitus (GDM) remains a major pregnancy metabolic issue. Although evidence suggested that essential trace elements (ETEs) may alter glycemic regulation during pregnancy, their associations with GDM remained uncertain.
Methods
From the Peking University Birth Cohort in Tongzhou (PKUBC-T) with a total of 5426 participants, we randomly selected 200 cases with GDM and 200 matched controls without GDM to conduct a nested case-control study. The matching was on maternal age ( ± 2 years) and gestational week at which the oral glucose tolerance test was performed. We evaluated the levels of six ETEs (Cu, Zn, Se, Mo, Co, Cr) in serum samples collected at the first trimester (10.3 ± 1.6 gestational weeks). Associations were assessed with unconditional logistic regressions and Bayesian kernel machine regression.
Results
Serum Co concentrations in pregnant women with GDM (Median: 0.920 ug/L) were observed to be lower than in controls (Median: 0.973 ug/L). Compared to those with the lowest tertile, the pregnant women with the highest tertile of Co concentrations had decreased risk of GDM (OR = 0.56, 95% CI: 0.34–0.93, P = 0.024) in the adjusted models. The association was further confirmed in the multiple-exposure analysis. The overall concentrations of six ETE mixtures showed an inverse association with GDM although not significant.
Conclusion
Our study added new evidence that maternal serum Co level was inversely associated with the risk of GDM, indicating that maternal deficiency of Co may play a role in the development of GDM.

Similar content being viewed by others
Introduction
Gestational diabetes mellitus (GDM) is a particular kind of diabetes linked to glucose intolerance or abnormal glucose metabolism first discovered in pregnancy [1]. According to the International Association for the Study of Diabetes and Pregnancy, the prevalence of GDM is approximately 14% globally in 2017 and 14.8% in China in 2019 [2]. GDM can lead to serious short-term and long-term adverse health outcomes for both mother and offspring, resulting in a large disease and economic burden worldwide. The economic burden associated with GDM has reached $1.6 billion globally in 2017 and annual burden per case averaged $5800 [3]. The estimated annual socioeconomic cost of GDM in China reached ¥19.36 billion (about $5.59 billion), with an incremental health loss of about 260,000 quality-adjusted life years [4].
Traditional risk factors such as family history, gestational age and pre-pregnancy obesity might not fully explain the rapid increase of GDM and its pathophysiological processes [5]. Essential trace elements (ETEs), which pregnant women have ubiquitous exposure access to and play important roles in regulating physical metabolism, have been found to influence the health of pregnancy [6]. The involvement of ETEs in modulating glucose homeostasis [7, 8] and influencing insulin sensitivity [9] has been demonstrated in clinical and animal research. An increasing number of studies have reported associations between ETEs [e.g., zinc (Zn), copper (Cu), selenium (Se)] and blood glucose levels including fasting blood glucose and glucose levels measured 1 h after non-fasting 50-gram glucose challenge tests during pregnancy, which provided researchers the impetus to examine the impact of ETEs on development of GDM [10, 11].
Several epidemiological investigations have explored associations between the single ETE and the risk of GDM. However, the results were inconsistent. For instance, Li et al. found that elevated maternal Cu levels are linked to a higher risk of GDM in case-control study of 496 participants [12]. In a nested case-control study, Zn levels were linked to a decreased risk of GDM [13]. On the contrary, others found not significant or inverse relationships between Cu [14] and Zn [15] concentrations and the risk of GDM in prospective cohort studies with 563 and 1033 participants, respectively. Inconsistent case selection principles and study design made it challenging to draw conclusions currently [16,17,18]. In addition, pregnant women are invariably exposed to a variety of chemicals concurrently due to the co-existence of environmental elements. Other correlated trace elements may potentially influence the specific element detected by individual analysis. Two mixed-exposure studies from China have identified associations between Cu and cobalt (Co) with GDM, but had limitations due to retrospective design and lack of adjustment for potential covariates such as lifestyle behaviors [11, 19]. More studies with prospective design are needed that take into account the cumulative effects and possible interactions of combinations of elements.
Thus, the current study sought to explore the association between the levels of ETEs, including Cu, Zn, Se, molybdenum (Mo), Co, and chromium (Cr) during early pregnancy and risk of GDM, either as an individual or a mixture, with a nested case-control study design based on a prospective cohort. In addition, the associations between the selected elements and the three time-point glucose levels based on the oral glucose tolerance test (OGTT) results were investigated.
Materials and methods
Study population
The study population was derived from the Peking University Birth Cohort in Tongzhou (PKUBC-T), which aimed to investigate the effects of preconception and prenatal exposures of mothers on their health and that of their offspring. The specific details of the cohort have already been published elsewhere [20]. Briefly, 5426 pregnant women aged 18 ~ 45 years old were enrolled in the cohort during their first antenatal examination at Tongzhou Maternal and Child Hospital based on inclusion and exclusion criteria. The participants’ information on socioeconomic characteristics, pregnancy characteristics, disease history, and lifestyle behaviors were collected through face-to-face interviews by trained nurses.
In the present study, 200 women with GDM were randomly chosen as cases from the participants who had GDM and provided blood samples during the first trimester (mean gestational age: 10.3 ± 1.6 weeks), and an equal number of study participants were randomly selected as controls from women who were not diagnosed with GDM. The matching was based on age ( ± 2 years) and gestational week in which pregnant women underwent an OGTT. Ultimately, 400 pregnant women were included in this study (Figure S1). The population selected had relatively good representativeness as there were no significant differences in basic characteristics between the GDM cases in this study and total GDM populations (Table S1). Additionally, no significant differences were observed in basic characteristics between the controls in this study and total controls in the original cohort (Table S2).
Data and serum specimens collection
In the PKUBC-T, trained nurses conducted in-person interviews with pregnant women to gather data on characteristics and lifestyle behaviors including pre-pregnancy weight, gravidity, parity, smoking habit, alcohol consumption, and family history of diabetes, physical activity, dietary intake at the first trimester for baseline investigation [21]. Maternal dietary intake was assessed by the two inconsecutive 24-h recall method during the first trimester [22]. The most recent 7-day abbreviated version of the International Physical Activity Questionnaire was used to evaluate the physical activity level based on standard scoring methods [23, 24]. The pre-pregnancy body mass index (BMI) was calculated by dividing pre-pregnancy weight (kg) by the square of her height (m2). Following completion of the questionnaire, women’s fasting peripheral venous blood was collected. Each tube contained about 3 milliliters of blood. Serum specimens were stored at -80°C until laboratory measurements were conducted.
Diagnosis of GDM
Between 24 and 28 weeks of gestation, pregnant women would undergo an oral glucose tolerance test (75 g glucose load). GDM was diagnosed if any of the following criteria were met: fasting blood glucose (FBG) ≥ 5.1 mmol/L, 1-h plasma glucose ≥10.0 mmol/L, or 2-h plasma glucose ≥8.5 mmol/L [25].
Serum metals measurements
Serum samples were removed from –80 °C and thawed at room temperature. In a 2.0 mL centrifuge tube, an aliquot of 0.1 mL serum sample was combined with 0.1 mL mixed internal standard (Indium, Rheniu) and 1.8 mL 1% nitric acid (ultrapure grade) [21]. Serum concentrations of Se and Cr were quantified using an Agilent 7700x ICP-MS system (Agilent Technologies, USA) operated with a carrier gas flow rate of 1.0 L/min, a helium gas flow rate of 4.5 mL/min, and a radio frequency power of 1550 W. For the remaining elements, an Elan DRC II ICP-MS instrument (PerkinElmer Sciex, USA) was utilized. The system parameters included a nebulizer gas flow rate of 0.98 L/min, an auxiliary gas flow rate of 1.85 L/min, and a plasma gas flow rate of 17.0 L/min. The limit of detection (LOD) for different elements ranged from 0.001 to 0.06 ng/ml.
Statistical analyses
For continuous variables, demographic characteristics were shown as mean ± standard deviation (SD), and for categorical variables, were shown as number (%). Maternal characteristics of GDM cases and controls were compared using t-tests for continuous variables and chi-square tests for categorical variables. As the distribution of ETE levels is non-normal, the Wilcoxon rank sum test was used to compare the concentrations of ETEs between GDM cases and controls. Correlation between serum ETEs levels was assessed using the Spearman’s rank correlation. Concentrations of all trace elements were log-transformed to approximate normal distribution for association analysis. Unconditional logistic regression analysis was applied to evaluate the association of the level of serum ETEs with the risk of GDM, by dividing ETE concentrations into tertiles based on control group levels. Multiple linear regression analysis was used to explore the association between ETEs and log-transformed glucose levels at each time point of the OGTT. P trends were calculated by entering the median value of each tertile of trace element concentration as a continuous variable in the models. In the sensitivity analysis, to thoroughly validate the robustness of the results under the matched design, we additionally conducted a conditional logistic regression analysis. Based on prior literature [21, 26], we selected covariates including ethnicity, annual household income, education level, pre-pregnancy BMI, gravidity, parity, fetal sex, dietary energy and physical activity in early pregnancy. We fitted the restricted cubic spline (RCS) with three knots (placed at the 10th, 50th, and 90th percentiles) in order to investigate nonlinear associations of the concentrations (as continuous values) of ETEs with GDM. The Bayesian kernel machine regression (BKMR) model with 50,000 iterations using the Markov chain Monte Carlo approach was utilized to investigate the combined effect of ETEs mixture on the risk of GDM. Posterior inclusion probabilities (PIP) obtained from the BKMR model revealed the relative importance of each element to the outcome. To account for skewness and minimize the impact of extreme values and varying value scales in the variables, logarithmic and Z-score transformations were applied to the element concentrations for all BKMR analyses. The corresponding covariates were added in each BKMR model. All data were analyzed using R software (version 4.3.1) and a two-sided P value < 0.05 was used to indicate statistical significance. The packages “rms” and “bkmr” were used to carry out the RCS and BKMR models, respectively.
Ethics approval and consent to participate
All methods in this study were carried out in accordance with relevant guidelines and regulations. The study protocol was approved by the Institutional Review Board of Peking University Health Science Center (IRB00001052-19083). Informed consent was obtained from all individual participants included in the study.
Results
Characteristics of participants
Among the 400 participants, the average age was 30.24 ± 3.44 years (Table 1). Women with GDM had higher pre-pregnancy BMIs than non-GDM women (22.81 kg/m2 vs. 19.15 kg/m2, P < 0.001). The distributions of ethnicity, annual household income, maternal education level, gravidity, parity, fetal sex, dietary energy, and physical activity in early pregnancy were similar between women with and without GDM.
Distribution of serum ETEs
The levels of serum ETEs are shown in Table 2. The median Co level of women without GDM was significantly higher than that of women with GDM (0.973 vs 0.920 ng/ml, P = 0.014). There were no statistically significant differences in the concentrations of the other five trace elements between cases and controls. The correlation coefficients among these ETEs ranged from –0.09 to 0.35 (Fig. S2).
Associations between serum ETEs and the risk of GDM in single exposure models
The associations between ETEs and the risk of GDM were shown in Fig. 1. Serum Co level was found to be significantly negatively associated with the risk of GDM, both in the crude model and after adjustment for potential confounders. Compared to the lowest Co level tertile, the highest tertile were associated with a decreased risk of GDM (OR = 0.56, 95% CI: 0.34–0.93, P = 0.024). With the increasing tertiles of Co levels, the risk of GDM decreased in a dose-dependent manner (P trend = 0.027). Conditional logistic regression analysis also yielded similar results (OR: 0.41, 95% CI: 0.22–0.77; P = 0.006) (Table S3). As shown in Table S4, women in the highest tertile of Co exposure group also exhibited significantly lower fasting blood glucose (FBG) levels at the second trimester, compared to those in the lowest tertile group (β = -0.023; 95%CI: –0.043 to –0.003, P = 0.026). According to the restricted cubic spline analysis (Fig. S3), an inverse linear relationship was confirmed between Co concentrations and the risk of GDM (P for non-linearity = 0.852). When Co concentration was included into the model as a continuous variable, a negative trend was also observed between Co levels and the risk of GDM after adjusting for confounders (OR = 0.60, 95% CI: 0.34–1.03, P = 0.065). A non-linear association was observed between Zn concentration and risk of GDM (P for non-linearity = 0.028).
Bayesian Kernel machine regression analyses
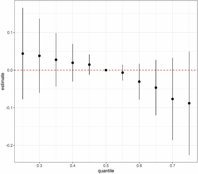
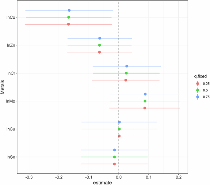
The overall relationship between ETE mixtures and the risk of GDM from BKMR model was described in Fig. 2, which compares all chemicals set at different levels to their 50th percentile to estimate the effect on the risk of GDM. The model showed an inverse association between ETE mixtures and the risk of GDM, but the effect was not significant. The PIP of Co was the highest (0.673) and greater than 0.5 in the model, suggesting that Co was the main driver of the joint effect (Table S5). A significant negative association was found between the risk of GDM and the change in Co concentrations from the 25th to the 75th percentile when other ETEs were fixed at the 25th, 50th, and 75th percentiles (Fig. 3). We also assessed the individual exposure-response relationships between each ETE and the risk of GDM when other chemicals were fixed to their 50th percentile (Fig. S4). A significant negative association with GDM risk was observed for increasing serum Co levels. Zn showed a decreasing trend with the risk of GDM, while Mo showed an increasing trend, although both results were insignificant. Moreover, the bivariate exposure-response functions were fitted to assess the interaction for each of the two ETEs (Fig. S5). No interaction between ETEs was observed.
Discussion
In this nested case-control study based on a prospective birth cohort, we used single- and multiple-exposure models to investigate the association between ETEs and the risk of GDM. Individual association analysis indicated that maternal Co level was negatively associated with the risk of GDM, which was also validated in the multiple-exposure analysis. This study reveals a significant inverse association between serum Co levels in early pregnancy and the risk of GDM for the first time, highlighting the importance of environmental factors in the development of GDM. Our results suggested a contributing role of Co deficiency in the current GDM epidemic among pregnant women, which might provide a new intervention target for future early prevention.
Co is an essential trace nutrient for humans, and plays a key role in many biochemical processes, including nucleic acid synthesis, amino acid synthesis and erythrocyte formation [27]. Through conventional food sources, environmental pollutants, occupational exposures, and medicinal treatments, the general public is commonly exposed to a variety of Co compounds [28]. In serum, cobalt (Co2+) was bound to albumin. As shown in Table S6, the range of serum Co concentration in our study was higher than that in Israel [29] and some cities (Nanjing [30], Ma’anshan [31], Guangxi [32]) in China, and lower than the range of another study in Beijing (sample collected during 2012–2019) [33]. A study from eight provinces in China also showed that Co levels were inconsistent across eastern, central and western regions of the country [34]. Differences in Co levels may be due to environmental factors, socioeconomic status, different lifestyles such as smoking, dietary patterns and years of sample collection [35, 36].
Epidemiologic evidence is limited on the association between Co and GDM. Several previous cohort studies have collected urine samples and explored the association of urinary cobalt levels with GDM. Two studies from Wuhan in China, with a prospective cohort study design and a nested case-control study design, respectively, found that Co levels in urine samples exhibited significant associations with GDM in single exposure analysis. However, the results became insignificant in the mixed-exposure analyses [37, 38]. Another nested case-control study from Beijing did not find a significant association in either single- or mixed-exposure analyses [19]. As renal excretion of Co is initially rapid, the level of Co in urine tends to reflect short-term exposure and is susceptible to supplemental intake, medication, or other non-occupational exposures [34]. Instability of Co levels in urinary samples might be one of the important reasons for the inconsistency of the above studies. Researchers have proposed that Co level in blood sample, which is more stable and could reflect accumulation, is useful for monitoring the Co exposure over a long period of time (up to a few months) [39, 40]. Furthermore, serum Co levels in pregnant women, compared with urinary Co levels, were found to have stronger associations with metabolic changes in pregnant women [41]. With serum samples, a nested case-control study from Beijing found that serum Co levels appeared to play a protective role in spontaneous preterm birth, and fasting blood glucose acted as a partial mediator [42]. It revealed a negative correlation between maternal Co levels and fasting blood glucose during pregnancy. Our study provided evidence for the association between maternal serum Co level and risk of GDM after adjustment for important covariates based on a prospective cohort. With a statistical power exceeding 90% under a significance level of 0.05, our results highlighted the necessity to pay attention to Co deficiency during pregnancy. Further studies are warranted to monitor Co levels in pregnant women and validate the findings of our study in other populations.
Several studies have highlighted the role of Co in the development of type 2 diabetes mellitus and glucose metabolism, which to some extent supported our findings that Co had beneficial effects in regulating glucose metabolism. In clinical studies, serum Co concentrations were found to be significantly lower in diabetic patients compared to healthy individuals [43], and were inversely associated with fasting blood glucose in adults [44]. Animal experiments showed that hepatic glycogen increased and blood glucose decreased when Co2+ was administered to diabetic rats [45].
Several mechanisms may elucidate the effect of maternal Co level on the development of GDM. Firstly, Co could act as the metal component of vitamin B12, and Co deficiency may affect the physiological function of vitamin B12 [46]. Lower Co levels in pregnant women may reflect lower maternal vitamin B12 levels during pregnancy [29], which may lead to an increased risk of insulin resistance [47] and GDM [48, 49]. In addition to the effect through vitamin B12 metabolism, Co could also protect against diabetes directly by its inherent glucose-lowering properties. According to earlier research, Co2+ may inhibit adenylate cyclase, disrupt Ca2+ mobilization, and act as a channel blocker for the transmission of the glucagon signal. These may result in an increase in tissue glucose uptake, a decrease in systemic glucose synthesis, or a combination of both effects [50, 51]. Thus, considering these complex mechanisms, measuring serum vitamin B12 levels alone is not enough to comprehensively reflect conditions of the biologically active Co in the body. Our results also indicated that highest tertile of Co was inversely associated with FBG levels but not the 1-hour or 2-hour post-load glucose levels. 1-h and 2-h post-load glucose levels also showed similar inverse trends, although these associations did not reach statistical significance, possibly due to limited sample size. More evidence is needed to clarify the underlying biological mechanisms, with the goal of confirming the potential effect of Co on glucose homeostasis to improve clinical practices.
In the single-element logistic regression model, Zn levels were significantly inversely associated with the risk of GDM. However, this association was not observed in the BKMR model. For Cu, no significant associations with GDM risk were found in either the single-element or BKMR analyses. Given the established roles of Cu and Zn in insulin metabolism and oxidative stress, several studies have focused on their associations with risk of GDM, but these studies yielded inconsistent results [52,53,54]. The different sample types might be one reason for the discrepancies. As discussed previously, researchers proposed that urine and blood samples reflect different exposure characteristics due to the relatively short half-life of most metals. Utilizing urine samples, a study in Wuhan pointed out that Cu and Zn had positive associations with GDM [38]. However, when conducting meta-analysis by combining data from studies detecting Cu or Zn in blood samples, researchers did not obtain significant results [18, 55]. Moreover, the study design may be another factor that contributed to the inconsistent results of current literature. When combining data from case-control studies, a meta-analysis revealed that Cu exposure was positively associated with GDM (OR = 2.19, 95% CI: 1.51–3.15), but the result was not significant in the cohort studies (OR = 1.12, 95% CI: 0.59–2.13) [18]. Diabetic status or lifestyle changes may also impact Cu metabolism and ultimately affect Cu uptake or distribution, which could distort the association in case-control studies or cross-sectional studies [12]. Evidence also suggests that trace elements may exhibit biphasic relationships with blood glucose levels or GDM risk [56, 57]. Variations in exposure concentrations might partially explain the inconsistent findings across epidemiological studies. Therefore, future research should prioritize prospective studies to clarify the effects of Cu and Zn on GDM development, particularly by conducting differential risk assessments across regions with varying exposure levels.
Currently, there is a scarcity of research examining the effects of Se, Cr, and Mo on the risk of GDM. The limited evidence linking them and GDM made it difficult to draw firm conclusions now. Consistent with our findings, previous meta-analyses also did not find significant associations between Se or Cr levels and GDM in case and control groups [18]. One study on mixed exposures showed that blood glucose levels during pregnancy decreased almost linearly with increasing Mo concentrations. However, this association appeared to be modified by other elements, and it was not evident at low Se concentrations [58].
The current study has several strengths. Firstly, based on the real-world scenarios that the human body is simultaneously exposed to a variety of elements, in addition to single exposure analysis, we also conducted mixed-exposure analysis using BKMR model. Secondly, blood samples were collected during the first period of pregnancy and GDM was defined afterwards during 24–28 weeks of gestation, which minimized the possibility of reverse causation. Furthermore, compared with previous studies predominantly relying on urinary cobalt measurements that may be influenced by recent exposure variability and specimen instability, our use of blood samples might provide a more reliable biomarker reflecting cumulative exposure over months [39, 40]. Moreover, we prospectively collected detailed information on potential confounding factors including maternal clinical characteristics and lifestyle behaviors during pregnancy, which were either unmeasured or inadequately adjusted for in a substantial proportion of the prior studies.
However, some limitations should be noted. Firstly, we did not pinpoint the exact sources and reasons for variations in ETE exposures, which awaits further studies. Secondly, we measured the total concentration of each element, and did not distinguish the impact brought by specific forms or metabolites (e.g., organic and inorganic compounds) of these elements. Additionally, our study did not account for potential exposure to other environmental chemicals such as heavy metals. Future studies incorporating a broader range of environmental exposures are needed to further clarify these relationships.
Conclusions
In conclusion, this study offered novel evidence that maternal serum Co level was negatively associated with the risk of GDM in both single- and multi-exposure analyses. Elevated level of Co was also associated with lower fasting blood glucose levels. Our findings suggested that the health management of ETE levels (especially Co) in early pregnancy could be a new targeted avenue for prevention of GDM. Monitoring and optimizing maternal cobalt levels during early pregnancy may help identify high-risk women and inform personalized interventions to reduce GDM risk. These findings also highlight the potential of integrating trace element screening into routine prenatal care, which might contribute to reducing the global burden of GDM and its associated complications. More studies are warranted to further validate the associations and explore the underlying mechanisms.
Data availability
Data described in the manuscript, code book, and analytic code will be made available upon reasonable request.
References
Alberti KG, Zimmet PZ. Definition, diagnosis and classification of diabetes mellitus and its complications. Part 1: diagnosis and classification of diabetes mellitus provisional report of a WHO consultation. Diabet Med : A J Br Diabet Assoc. 1998;15:539–53.
Juan J, Yang H. Prevalence, prevention, and lifestyle intervention of gestational diabetes mellitus in China. Int J Environ Res Public Health. 2020;17(24):9517.
Dall TM, Yang W, Gillespie K, Mocarski M, Byrne E, Cintina I, et al. The economic burden of elevated blood glucose levels in 2017: diagnosed and undiagnosed diabetes, gestational diabetes mellitus, and prediabetes. Diab Care. 2019;42:1661–8.
Xu T, Dainelli L, Yu K, Ma L, Silva Zolezzi I, Detzel P, et al. The short-term health and economic burden of gestational diabetes mellitus in China: a modelling study. BMJ open. 2017;7:e018893.
Eberle C, Stichling S. Environmental health influences in pregnancy and risk of gestational diabetes mellitus: a systematic review. BMC Public Health. 2022;22:1572.
Bracchi I, Guimaraes J, Rodrigues C, Azevedo R, Coelho CM, Pinheiro C, et al. Essential trace elements status in Portuguese pregnant women and their association with maternal and neonatal outcomes: a prospective study from the IoMum cohort. Biology. 2023;12(10):1351.
Cooper-Capetini V, de Vasconcelos DAA, Martins AR, Hirabara SM, Donato J, Jr, Carpinelli AR, et al. Zinc supplementation improves glucose homeostasis in high fat-fed mice by enhancing pancreatic á-cell function. Nutrients. 2017;9:1150.
Guimarães MM, Carvalho AC, Silva MS. Effect of chromium supplementation on the glucose homeostasis and anthropometry of type 2 diabetic patients: Double blind, randomized clinical trial: Chromium, glucose homeostasis and anthropometry. J Trace Elem Med Biol. 2016;36:65–72.
Bjørklund G, Dadar M, Pivina L, Doşa MD, Semenova Y, Aaseth J. The role of zinc and copper in insulin resistance and diabetes mellitus. Curr Med Chem. 2020;27:6643–57.
Zheng Y, Lin PD, Williams PL, Weisskopf MG, Cardenas A, Rifas-Shiman SL, et al. Early pregnancy essential and non-essential metal mixtures and gestational glucose concentrations in the 2nd trimester: Results from project viva. Environ Int. 2021;155:106690.
Zhou Z, Chen G, Li P, Rao J, Wang L, Yu D, et al. Prospective association of metal levels with gestational diabetes mellitus and glucose: A retrospective cohort study from South China. Ecotoxicol Environ Saf. 2021;210:111854.
Li P, Yin J, Zhu Y, Li S, Chen S, Sun T, et al. Association between plasma concentration of copper and gestational diabetes mellitus. Clin Nutr. 2019;38:2922–7.
Zhu G, Zheng T, Xia C, Qi L, Papandonatos GD, Ming Y, et al. Plasma levels of trace element status in early pregnancy and the risk of gestational diabetes mellitus: A nested case-control study. J Trace Elem Med Biol. 2021;68:126829.
Lewandowska M, Wieckowska B, Sajdak S, Lubinski J.First trimester microelements and their relationships with pregnancy outcomes and complications.Nutrients.2020;12(4):1108.
Behboudi-Gandevani S, Safary K, Moghaddam-Banaem L, Lamyian M, Goshtasebi A, Alian-Moghaddam N. The relationship between maternal serum iron and zinc levels and their nutritional intakes in early pregnancy with gestational diabetes. Biol Trace Elem Res. 2013;154:7–13.
Lian S, Zhang T, Yu Y, Zhang B. Relationship of circulating copper level with gestational diabetes mellitus: a meta-analysis and systemic review. Biol Trace Elem Res. 2021;199:4396–409.
Sharma AK, Mohan L, Mittal S, Bahadur A, Mirza AA, Kumari R. Maternal chromium levels in gestational diabetes: systematic review and meta-analysis. Indian J Endocrinol Metab. 2022;26:407–16.
Wu W, Ren J, Wang J, Wang J, Yu D, Zhang Y, et al. Metalloestrogens exposure and risk of gestational diabetes mellitus: Evidence emerging from the systematic review and meta-analysis. Environ Res. 2024;248:118321.
Li L, Xu J, Zhang W, Wang Z, Liu S, Jin L, et al. Associations between multiple metals during early pregnancy and gestational diabetes mellitus under four statistical models. Environ Sci Pollut Res Int. 2023;30:96689–700.
Jin C, Lin L, Han N, Zhao Z, Liu Z, Luo S, et al. Effects of dynamic change in fetuin-A levels from the first to the second trimester on insulin resistance and gestational diabetes mellitus: a nested case-control study. BMJ Open Diabetes Res Care. 2020;8(1):e000802.
Xu X, Wang Y, Han N, Yang X, Ji Y, Liu J, et al. Early pregnancy exposure to rare earth elements and risk of gestational diabetes mellitus: a nested case-control study. Front Endocrinol (Lausanne). 2021;12:774142.
Yang W, Han N, Jiao M, Chang X, Liu J, Zhou Q, et al. Maternal diet quality during pregnancy and its influence on low birth weight and small for gestational age: a birth cohort in Beijing, China. Br J Nutr. 2022;7:1–10.
Craig CL, Marshall AL, Sjöström M, Bauman AE, Booth ML, Ainsworth BE, et al. International physical activity questionnaire: 12-country reliability and validity. Med Sci Sports Exerc. 2003;35:1381–95.
Fan M, Lyu J, He P. Chinese guidelines for data processing and analysis concerning the International Physical Activity Questionnaire]. Zhonghua Liu Xing Bing Xue Za Zhi. 2014;35:961–4.
American-Diabetes-Association. Diagnosis and classification of diabetes mellitus. Diab Care. 2014;37:S81–90.
Yu G, Jin M, Huang Y, Aimuzi R, Zheng T, Nian M, et al. Environmental exposure to perfluoroalkyl substances in early pregnancy, maternal glucose homeostasis and the risk of gestational diabetes: a prospective cohort study. Environ Int. 2021;156:106621.
Adolfo FR, do Nascimento PC, Bohrer D, de Carvalho LM, Viana C, Guarda A, et al. Simultaneous determination of cobalt and nickel in vitamin B12 samples using high-resolution continuum source atomic absorption spectrometry. Talanta. 2016;147:241–5.
Tvermoes BE, Unice KM, Paustenbach DJ, Finley BL, Otani JM, Galbraith DA. Effects and blood concentrations of cobalt after ingestion of 1 mg/d by human volunteers for 90 d. Am J Clin Nutr. 2014;99:632–46.
Silberstein T, Saphier M, Mashiach Y, Paz-Tal O, Saphier O. Elements in maternal blood and amniotic fluid determined by ICP-MS. The journal of maternal-fetal & neonatal medicine : the official journal of the European Association of Perinatal Medicine, the Federation of Asia and Oceania Perinatal Societies. Int Soc Perinat Obstet. 2015;28:88–92.
Zhao S, Yang X, Xu Q, Li H, Su Y, Xu Q, et al. Association of maternal metals exposure, metabolites and birth outcomes in newborns: A prospective cohort study. Environ Int. 2023;179:108183.
Li ZJ, Liang CM, Xia X, Huang K, Yan SQ, Tao RW, et al. Association between maternal and umbilical cord serum cobalt concentration during pregnancy and the risk of preterm birth: The Ma’anshan birth cohort (MABC) study. Chemosphere. 2019;218:487–92.
Hou Q, Huang L, Ge X, Yang A, Luo X, Huang S, et al. Associations between multiple serum metal exposures and low birth weight infants in Chinese pregnant women: A nested case-control study. Chemosphere. 2019;231:225–32.
Yin S, Wang C, Wei J, Jin L, Liu J, Wang L, et al. Selected essential trace elements in maternal serum and risk for fetal orofacial clefts. Sci Total Environ. 2020;712:136542.
Pan Y, Ding C, Zhang A, Wu B, Huang H, Zhu C, et al. Distribution of manganese, cobalt and molybdenum in blood and urine among general population in 8 provinces of China]. Zhonghua Yu Fang Yi Xue Za Zhi. 2014;48:784–90.
Liu X, Zhang Y, Piao J, Mao D, Li Y, Li W. Reference values of 14 serum trace elements for pregnant chinese women: a cross-sectional study in the China nutrition and health survey 2010-2012. Nutrients. 2017;9:309
Fort M, Grimalt JO, Casas M, Sunyer J. Interdependence between urinary cobalt concentrations and hemoglobin levels in pregnant women. Environ Res. 2015;136:148–54.
Wang X, Gao D, Zhang G, Zhang X, Li Q, Gao Q, et al. Exposure to multiple metals in early pregnancy and gestational diabetes mellitus: a prospective cohort study. Environ Int. 2020;135:105370.
Sun F, Pan XF, Hu Y, Xie J, Cui W, Ye YX, et al. Metal exposure during early pregnancy and risk of gestational diabetes mellitus: mixture effect and mediation by phospholipid fatty acids. Environ Sci Technol. 2023;57:13778–92.
Princivalle A, Iavicoli I, Cerpelloni M, Franceschi A, Manno M, Perbellini L. Biological monitoring of cobalt in hard metal factory workers. Int Arch Occup Environ Health. 2017;90:243–54.
Finley BL, Monnot AD, Gaffney SH, Paustenbach DJ. Dose-response relationships for blood cobalt concentrations and health effects: a review of the literature and application of a biokinetic model. J Toxicol Environ Health B Crit Rev. 2012;15:493–523.
Rivera-Núñez Z, Ashrap P, Barrett ES, Watkins DJ, Cathey AL, Vélez-Vega CM, et al. Association of biomarkers of exposure to metals and metalloids with maternal hormones in pregnant women from Puerto Rico. Environ Int. 2021;147:106310.
Huang J, Zheng W, Wang A, Han W, Chen J, An H, et al. Maternal cobalt concentration and risk of spontaneous preterm birth: the role of fasting blood glucose and lipid profiles. Front Nutr. 2024;11:1336361.
Flores CR, Puga MP, Wrobel K, Garay Sevilla ME, Wrobel K. Trace elements status in diabetes mellitus type 2: possible role of the interaction between molybdenum and copper in the progress of typical complications. Diab Res Clin Pr. 2011;91:333–41.
Ge X, Yang A, Huang S, Luo X, Hou Q, Huang L, et al. Sex-specific associations of plasma metals and metal mixtures with glucose metabolism: an occupational population-based study in China. Sci Total Environ. 2021;760:143906.
Saker F, Ybarra J, Leahy P, Hanson RW, Kalhan SC, Ismail-Beigi F. Glycemia-lowering effect of cobalt chloride in the diabetic rat: role of decreased gluconeogenesis. Am J Physiol. 1998;274:E984–91.
Molloy AM, Kirke PN, Brody LC, Scott JM, Mills JL. Effects of folate and vitamin B12 deficiencies during pregnancy on fetal, infant, and child development. Food Nutr Bull. 2008;29:S101–11.
Yajnik CS, Deshpande SS, Jackson AA, Refsum H, Rao S, Fisher DJ, et al. Vitamin B12 and folate concentrations during pregnancy and insulin resistance in the offspring: the Pune Maternal Nutrition Study. Diabetologia. 2008;51:29–38.
Krishnaveni GV, Hill JC, Veena SR, Bhat DS, Wills AK, Karat CL, et al. Low plasma vitamin B12 in pregnancy is associated with gestational ‘diabesity’ and later diabetes. Diabetologia. 2009;52:2350–8.
Chen X, Du Y, Xia S, Li Z, Liu J.. Vitamin B(12) and gestational diabetes mellitus: a systematic review and meta-analysis. Br J Nutr. 2022;1–8..
Nomura Y, Okamoto S, Sakamoto M, Feng Z, Nakamura T. Effect of cobalt on the liver glycogen content in the streptozotocin-induced diabetic rats. Mol Cell Biochem. 2005;277:127–30.
Ybarra J, Behrooz A, Gabriel A, Koseoglu MH, Ismail-Beigi F. Glycemia-lowering effect of cobalt chloride in the diabetic rat: increased GLUT1 mRNA expression. Mol Cell Endocrinol. 1997;133:151–60.
Deng G, Chen H, Liu Y, Zhou Y, Lin X, Wei Y, et al. Combined exposure to multiple essential elements and cadmium at early pregnancy on gestational diabetes mellitus: a prospective cohort study. Front Nutr. 2023;10:1278617.
Liu Y, Chen H, Zhang M, Zhu G, Yang Y, Li Y, et al. The relationship between urinary selenium levels and risk of gestational diabetes mellitus: A nested case-control study. Front Public Health. 2023;11:1145113.
Zheng Y, Zhang C, Weisskopf M, Williams PL, Parsons PJ, Palmer CD, et al. A Prospective Study of Early Pregnancy Essential Metal(loid)s and Glucose Levels Late in the Second Trimester. J Clin Endocrinol Metab. 2019;104:4295–303.
Fan J, Zhang T, Yu Y, Zhang B. Is serum zinc status related to gestational diabetes mellitus? A meta-analysis. Matern Child Nutr. 2021;17:e13239.
Wu T, Li T, Zhang C, Huang H, Wu Y. Association between plasma trace element concentrations in early pregnancy and gestational diabetes mellitus in Shanghai. China. Nutrients. 2022;15:115
Zhang J, Yin H, Zhu X, Xiang R, Miao Y, Zhang Y. et al. Effects of multi-metal exposure on the risk of diabetes mellitus among people aged 40-75 years in rural areas in southwest China. J Diab Investig. 2022;13:1412–25.
Zheng Y, Zhang C, Weisskopf MG, Williams PL, Claus Henn B, Parsons PJ, et al. Evaluating associations between early pregnancy trace elements mixture and 2nd trimester gestational glucose levels: a comparison of three statistical approaches. Int J Hyg Environ Health. 2020;224:113446.
Acknowledgements
We sincerely thank the staff in the Maternal and Child Health Care Hospital of Tongzhou District for data collection. This study was funded by the National Key Research and Development Program (No. 2016YFC1000300 and No. 2016YFC1000307) and National Natural Science Foundation of China (81973053 and 81703240). Jinlang Lyu was supported by the China Scholarship Council at the Global Center for Asian Women’s Health, Yong Loo Lin School of Medicine, National University of Singapore (202406010167).
Author information
Authors and Affiliations
Contributions
JL, PT and YW conducted the investigation, developed the study concept and methodology, performed formal analysis, prepared the original draft and created visualizations. NH, RZ, XY, YJ, JL contributed to the investigation and manuscript revision. BW, LY and QL provided technical guidance for experimental procedures and manuscript revision. XM and HW supervised the study, contributed to conceptualization and funding acquisition, reviewed and edited the manuscript.
Corresponding authors
Ethics declarations
Competing interests
The authors declare no competing interests.
Consent to publish
Consent for publication was obtained from all authors.
Additional information
Publisher’s note Springer Nature remains neutral with regard to jurisdictional claims in published maps and institutional affiliations.
Supplementary information
Rights and permissions
Open Access This article is licensed under a Creative Commons Attribution-NonCommercial-NoDerivatives 4.0 International License, which permits any non-commercial use, sharing, distribution and reproduction in any medium or format, as long as you give appropriate credit to the original author(s) and the source, provide a link to the Creative Commons licence, and indicate if you modified the licensed material. You do not have permission under this licence to share adapted material derived from this article or parts of it. The images or other third party material in this article are included in the article’s Creative Commons licence, unless indicated otherwise in a credit line to the material. If material is not included in the article’s Creative Commons licence and your intended use is not permitted by statutory regulation or exceeds the permitted use, you will need to obtain permission directly from the copyright holder. To view a copy of this licence, visit http://creativecommons.org/licenses/by-nc-nd/4.0/.
About this article
Cite this article
Lyu, J., Tang, P., Wang, Y. et al. Association between maternal serum essential trace element concentration in early pregnancy and gestational diabetes mellitus. Nutr. Diabetes 15, 33 (2025). https://doi.org/10.1038/s41387-025-00389-4
Received:
Revised:
Accepted:
Published:
Version of record:
DOI: https://doi.org/10.1038/s41387-025-00389-4





