Abstract
There are significant sex differences in the prevalence, symptom presentation, treatment response and brain abnormalities of patients with late-life depression (LLD). The functional connectivity of the habenula has been associated with depressive symptoms and cognitive impairments in patients with LLD. However, sex differences in habenular functional connectivity patterns among LLD patients remain unclear. One hundred and fourteen patients with LLD and 75 healthy controls (HCs) were included in the present study. Resting-state functional magnetic resonance imaging was used to analyse the static and dynamic functional connectivity (sFC and dFC) of the habenula. There were significant interactions between diagnosis (LLD vs. HCs) and sex for the dFC of the left habenula with the left insula, precentral gyrus, angular gyrus, and middle frontal gyrus and for the right habenula with the right middle temporal gyrus. Pairwise comparisons revealed a trend of HC males > HC females and LLD males < HC males for the connections between the left habenula and the left precentral gyrus, angular gyrus and middle frontal gyrus. Conversely, a trend of HC males < HC females and LLD males > HC males was found for the connections between the right habenula and right middle temporal pole. Furthermore, there was a significant interaction for the sFC of the right habenula with the right fusiform gyrus, with trends of HC males > HC females, LLD males < HC males, and LLD females > HC females. Regression analysis revealed that left habenular-left insular dFC was associated with long-delay memory in females and working memory in males; right habenular-right middle temporal pole dFC was associated with information processing speed in females. Sex moderated the relationships between cognitive function (global cognition, delay-recalled memory and working memory) and dFC between the left habenula and left insula. In conclusions, this study revealed sex-specific alterations in the functional connectivity patterns of the habenula in LLD patients, and these alterations were associated with various cognitive functions in a sex-specific manner. These findings provide a neurobiological basis for understanding sex differences in LLD patients.
Similar content being viewed by others
Introduction
Late-life depression (LLD) is a critical issue with profound clinical implications, affecting 7.5% of the elderly population [1]. LLD is associated with increased mortality risk, accelerated cognitive decline, and diminished quality of life [2, 3], and it often complicates the management of comorbid medical conditions, leading to poorer health outcomes and increased healthcare utilization [4]. Recent neuroimaging studies have revealed that brain functional abnormalities are associated with LLD, characterised by disruptions in neural circuits crucial for emotion regulation, reward processing, and cognitive control [5, 6]. These functional alterations, which are observed across multiple brain regions and networks, underscore the complex neurobiological pathology of LLD patients and highlight the need for targeted interventions.
Sex differences in LLD have been well documented, with women generally showing higher prevalence rates than men in older adult populations [7]. These differences extend beyond mere prevalence to encompass variations in symptom presentation, risk factors [8], plasma proteomic markers [9] and treatment responses [10]. Although sex differences in brain abnormalities in major depressive disorder patients have been repeatedly demonstrated [11, 12], few sex-specific brain abnormalities have been reported in patients with LLD. Lavretsky et al. reported that in LLD patients, males had smaller frontal lobe volumes than females did, and there was an interaction effect between diagnosis (LLD patients or controls) and sex on brain regional volumes [13]. Another study indicated that treatment outcomes predicted on the basis of early changes in functional connectivity (FC) are significantly different between males and females among LLD patients [10]. Despite these specific findings in treatment prediction, comprehensive sex differences in brain functional abnormalities in LLD patients, particularly in resting-state functional connectivity patterns and network dynamics, have not been fully elucidated.
The habenula, a small epithalamic structure, plays a crucial role in modulating monoaminergic systems and has been implicated in various processes, including reward processing, aversive learning, and cognitive flexibility [14]. Dysfunction of the habenula has been associated with depressive symptoms and cognitive impairments [15, 16]. Deep brain stimulation can alleviate depressive symptoms and modulate the activity of the medial orbitofrontal cortex, raphe and substantia nigra in patients with treatment-resistant depression [17, 18]. Our previous research demonstrated that LLD patients exhibited alterations in both static FC (sFC) and dynamic FC (dFC) of the habenula compared with healthy controls (HCs), and these alterations disrupted connectivity between the habenula and the inferior frontal gyrus (IFG) and orbitofrontal cortex (OFC), which are involved in emotion regulation and cognitive processing [19, 20]. Compared with sFC analysis, which provides an averaged view of brain connectivity, dFC analysis can capture temporal variations in functional connectivity patterns and reveal the brain’s dynamic reorganization capabilities. This advanced approach provides more comprehensive insights into the temporal characteristics of brain network interactions [21], which is particularly valuable for understanding the complex neural mechanisms of LLD. Interestingly, sex differences in habenular connectivity have been reported in healthy people, including a greater habenular afferent/efferent streamline count in females than in males [22]. Furthermore, an animal study suggested that habenular inhibition of dopamine neurons is weaker in female rats, with male rats showing more rebound excitation; female rats exhibit less variable lateral habenular firing patterns and a greater density of oestrogen receptor alpha-positive cells in this region [23]. However, these investigations have not specifically addressed potential sex differences in habenular FC patterns among LLD patients.
The aim of the present study was to explore sex differences in habenular sFC and dFC patterns in LLD patients and their associations with cognitive function, which could provide valuable insights into the sex-specific neural mechanisms underlying LLD. This knowledge could contribute to a more nuanced understanding of LLD pathophysiology and potentially inform the development of sex-specific diagnostic and therapeutic approaches. Moreover, given the involvement of the habenula in both emotional and cognitive processes, investigating sex differences in FC patterns may help elucidate the complex interplay between depressive symptoms and cognitive impairment often observed in LLD patients and how this relationship might differ between males and females.
Methods
Participants
A total of 189 individuals were included in this study: 114 patients with LLD and 75 HCs. Recruitment occurred in the community of Guangzhou and the Affiliated Brain Hospital of Guangzhou Medical University. All participants or their legal guardians provided written informed consent. The ethics committees of the Affiliated Brain Hospital of Guangzhou Medical University approved this study (Approval number: 2014, 078). All methods were performed in accordance with the Declaration of Helsinki guidelines. All assessments were completed on the same day of each participant’s visit. The protocol typically began with clinical interviews for diagnosis confirmation and obtaining written informed consent in the morning, followed by cognitive assessments. MRI scans were generally performed in the afternoon after a sufficient rest period.
The LLD group inclusion criteria were as follows: aged ≥ 55 years; right-handed; met the DSM-IV criteria for major depressive disorder with onset after age 55; and diagnosed and staged by trained physicians. The inclusion criteria for HCs were as follows: normal cognitive function and no history of depression. The exclusion criteria for both groups were as follows: major psychiatric illnesses (e.g., bipolar disorder, schizophrenia); physical ailments causing mental abnormalities (e.g., anaemia, hypothyroidism); major neurological conditions (e.g., Parkinson’s disease, stroke); metal implants or claustrophobia that can interfere with MRI scans; past or present psychotic symptoms; and left-handedness. Neuropsychologists and geriatric psychiatrists conducted the diagnoses and assessments.
Clinical measurements
Demographic information and clinical history were collected upon enrolment. Depressive symptom severity was evaluated via the 17-item Hamilton Depression Rating Scale (HAMD-17). Two trained psychiatrists conducted the assessments after completing a concordance evaluation.
Neuropsychological assessments
The participants underwent global cognitive function assessment via the Mini-Mental State Examination (MMSE), followed by a battery of tests evaluating five cognitive domains. Information processing speed was assessed with the Stroop Colour and Word Test Part A (Stroop A); memory was assessed with the Auditory Verbal Learning Test (AVLT) and Working Memory Test (WMT); language was assessed with the Verbal Fluency Test (VFT); executive function was assessed with the Stroop Colour and Word Test Part C (Stroop C) and Trail-Making Test Part B (TMT B); and visuospatial skills were assessed with the Rey-Osterrieth Complex Figure Test (ROCF).
MRI data acquisition
MRI scans were performed via a Philips 3.0 T MR system at the Affiliated Brain Hospital of Guangzhou Medical University. Anatomical images were obtained with a sagittal 3D gradient echo sequence. Resting-state fMRI data were acquired via a single-shot gradient echo-planar imaging pulse sequence over 8 min. The scanning parameters were as follows: echo time (TE) = 30 ms, repetition time (TR) = 2000 ms, flip angle = 90°, 33 slices, slice thickness = 4 mm, matrix size = 64 × 64, and field of view (FOV) = 220 × 220 mm.
Image preprocessing
Resting-state fMRI data were preprocessed via DPABI_V3.0 in SPM12. After discarding the first 10 images, the remaining images underwent timing difference correction, head motion correction, and parameter recording. The exclusion criteria included >2 mm displacement, 2° angular motion, or 0.2 mm mean framewise displacement. The images were then spatially normalised to the Montreal Neurological Institute (MNI) echo planar imaging (EPI) template, resliced to 3 × 3 × 3 mm3 resolution, and linearly detrended. A bandpass filter (0.01-0.1 Hz) was applied, and nuisance signals were removed. The Friston-24 parameters of head motion were regressed out from each time series.
Region of interest (ROI) definition
Two spherical seed regions (3 mm radius) centred on the following MNI coordinates were selected for the bilateral habenula: left [-2.8, -24.2, 2.3] and right [4.8,-24.1, 2.2].
Analyses of static and dynamic functional connectivity
sFC was examined via a seed-based whole-brain approach. Individual sFC maps were generated by calculating Pearson’s correlation coefficients between the mean time series of the ROIs and each voxel’s time series. Maps were transformed to z value maps via Fisher’s r-to-z transformation and smoothed with a 6 mm full width at half maximum (FWHM) Gaussian kernel.
dFC variability patterns were assessed via a sliding-window approach with the temporal dynamic analysis toolkit in DPABI. A Hamming window of 50 TRs with a 1 TR step size was used. Correlation maps were computed for each window and converted to z value maps, and dFC maps were calculated as the standard deviation of the sliding window z value maps. Z-standardization and 6 mm FWHM Gaussian kernel smoothing were applied.
Statistical analysis
Demographic and clinical data were analysed via SPSS 25.0. Factorial analyses were used to explore the effects of diagnosis (LLD vs. HCs) and sex (male and female) on age, education and neuropsychological scores, and the least significant difference (LSD) test was used for post hoc comparisons. Factorial analyses were performed to examine the effects of disease (LLD vs. HCs) and sex (male and female) on FC, with age, education, and framewise displacement as covariates. For cluster-level multiple comparison correction, Gaussian random field (GRF) theory was used (voxel p < 0.005; cluster p < 0.025). Two-sample t tests were used for post hoc comparisons of FC between groups (LLD male vs. LLD female, LLD male vs. HC male, LLD female vs. HC female, HC male vs. HC female). Regression analyses were used to explore the effects of various neuropsychological scores on FC in LLD males and LLD females (controlling for age and education).
Moderation analyses were conducted to investigate the potential moderating effects of sex on the relationship between neuropsychological scores and FC in LLD patients. The moderation model included neuropsychological scores as the predictor, sex as the moderator, and FC as the outcome variable, with age and years of education as covariates.
Results
Demographic, clinical and neuropsychological variables
There was no significant interaction effect of diagnosis (LLD vs. HCs) or sex (male or female) on age, years of education, HAMD-17 score or various neuropsychological scores (P > 0.05) (Table 1).
dFC analyses
Diagnosis (LLD vs. HCs) and sex (male and female) had an interaction effect on dFC between the left habenula and the left insula, precentral gyrus, angular gyrus, and left middle frontal gyrus (MFG) and between the right habenula and right middle temporal gyrus (MTG) (Table 2 and Fig. 1). Pairwise comparisons revealed trends of HC males > HC females and LLD males < HC males for dFC between the left habenula and the left precentral gyrus, angular gyrus and MFG, but no significant difference was found for dFC between the left habenula and left insula. Conversely, trends of HC males < HC females and LLD males > HC males were found for dFC between the right habenula and right middle temporal pole (Fig. 2).
a–d dFC between left habenula and other regions e dFC between right habenula and R MTG, f sFC between right habenula and R fusiform. The abnormal FC variability values is on the y-axis with diagnosis described on the x-axis. Sex is indicated on the right side (Female, blue Line; Male, red Line). L left, R right, dFC dynamic functional connectivity, sFC static functional connectivity, LLD late-life depression, HCs healthy controls.
sFC analyses
There was a significant interaction effect of diagnosis (LLD vs. HCs) and sex (male and female) on sFC between the right habenula and right fusiform gyrus (Table 2 and Fig. 1). Pairwise comparisons revealed trends of HC males > HC females, LLD males < HC males, and LLD females > HC females (Fig. 2).
Regression and moderation analyses
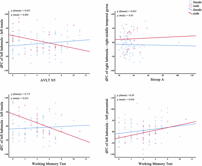
In LLD patients, dFC of the left habenula-left insula was associated with long-delay memory in females (β = 0.291, t = 2.375, p = 0.021) and working memory in males (β = -0.527, t = -2.775, p = 0.012). dFC of the left habenula-left precentral gyrus was associated with working memory in males (β = 0.454, t = 2.278, p = 0.034). dFC of the right habenula-right middle temporal pole was associated with information processing speed in females (β = -0.270, t = -2.194, p = 0.032). There were no other significant associations between FC and cognitive scores (Fig. 3).
For LLD patients, sex moderated the relationship between cognitive function and dFC between the left habenula and left insula; specific cognitive functions included global cognition (β = -0.039, t = -2.191, p = 0.031), delay-recalled memory (β = -0.062, t = -2.288, p = 0.024) and working memory (β = -0.088, t = -2.407, p = 0.018) (Fig. 4). No other significant moderating effect was found for sex on the relationship between FC and cognitive scores.
Discussion
This study examined sex differences in the sFC and dFC of the habenula in LLD patients. The results were as follows: (1) dFC analyses revealed significant interactions between LLD and sex for the connections of the left habenula with the left insula, precentral gyrus, angular gyrus, and MFG and the connection of the right habenula with the right MTG. Pairwise comparisons revealed trends of HC males > HC females and LLD males < HC males for left habenular connections with the left precentral gyrus, angular gyrus and MFG. Conversely, trends of HC males < HC females and LLD males > HC males were found between the right habenula and right middle temporal pole. (2) sFC analyses revealed a significant interaction for the right habenular connection with the right fusiform gyrus, with trends of HC males > HC females, LLD males < HC males, and LLD females > HC females. (3) Regression analysis in LLD patients revealed that dFC of the left habenula–left insula was associated with long-delay memory in females and working memory in males; dFC of the right habenula-right middle temporal pole was associated with information processing speed in females. (4) Sex moderated the relationships between cognitive function (global cognition, delay-recalled memory and working memory) and dFC between the left habenula and left insula.
Sex differences in the dFC of both the left and right habenula were primarily observed in the HCs group, with males and females showing distinct connectivity patterns, which is consistent with the findings of a previous study in which healthy females presented increased habenular afferent/efferent streamline counts compared with healthy males [22]. In contrast, the LLD group exhibited no significant sex differences in dFC, suggesting a potential “normalization” of sex-specific connectivity patterns. Notably, compared with HCs, male LLD patients presented abnormal habenular connectivity, whereas female LLD patients presented no significant alterations. This finding suggests that LLD may have a more pronounced effect on habenular connectivity in males than in females. Previous studies have reported sex differences in habenular function and connectivity in patients with mood disorders. For example, Savitz et al. reported sex-specific alterations in habenular volume in individuals with bipolar disorder [24], whereas Lawson et al. reported sex differences in habenular responses to negative feedback in individuals with major depressive disorder [16]. Our findings extend these observations to LLD patients, suggesting that sex-specific alterations in habenular connectivity may persist or even become more pronounced with age. The apparent “normalization” of sex differences in the LLD group could reflect a convergence of neural patterns in depression, possibly owing to shared pathophysiological mechanisms overriding normative sex differences. Alternatively, this finding might indicate sex-specific compensatory mechanisms in response to depression, with males showing more pronounced alterations from their baseline state.
An interesting finding of our study is the differential pattern of dFC alterations observed for the left and right habenula in male LLD patients, with the left habenula showing decreased connectivity and the right habenula exhibiting increased dFC variability. This opposing pattern underscores the complex nature of habenular circuit remodelling in LLD patients and is consistent with recent research demonstrating hemispheric asymmetry in habenular structure and function [22]. Despite its small size, the habenula has extensive connections throughout the brain, participating in reward processing, emotional regulation, cognitive control, and circadian rhythms [14]. The left habenula showed altered connections with the insula, precentral gyrus, angular gyrus and MFG, whereas the right habenula exhibited changes in its connection with the right MTG, reflecting the habenula’s broad influence on cognitive and emotional processes. The opposing directions of connectivity changes might represent a disruption in the balance between different habenular circuits, potentially contributing to the complex symptomatology of LLD. This lateralised pattern is consistent with previous fMRI studies showing asymmetric activation of the habenula in response to aversive stimuli, although the specific lateralization patterns have been inconsistent across studies [25, 26]. The observed lateralization in habenular connectivity changes may have implications for understanding the neural basis of depression and for developing targeted interventions, particularly considering the role of the habenula in modulating dopaminergic systems.
In contrast to the dFC findings, our analysis of sFC revealed a different pattern of sex-specific alterations in LLD patients. Notably, while dFC changes were primarily observed in male LLD patients, sFC analysis revealed significant alterations in both male and female LLD patients compared with their respective HCs group. Specifically, we found a significant interaction effect for the right habenular connection with the right fusiform gyrus. Compared with male HCs, male LLD patients presented decreased sFC, whereas female LLD patients presented increased sFC compared with female HCs. This opposing directionality of alterations between males and females with LLD is particularly intriguing and suggests that the impact of depression on habenular connectivity may qualitatively differ between sexes. The fusiform gyrus, known for its role in facial perception and visual processing, also contributes to emotional regulation and social cognition [27]. Therefore, these sex-specific alterations in habenula‒fusiform gyrus connectivity might be related to differences in emotional processing and social functioning between male and female LLD patients. The discrepancy between the sFC and dFC findings underscores the complementary nature of these two analytical approaches. While sFC provides an averaged measure of FC over the entire scan duration, dFC captures the temporal variability in connectivity patterns, potentially revealing more subtle or transient alterations [28]. Our previous research indicated that LLD patients exhibited alterations in both sFC and dFC of the habenula, and these FCs were associated with depressive symptoms, suicidal ideation and cognitive impairment [19, 20]. The fact that sex differences were evident in both sFC and dFC but with different patterns suggests that LLD affects both the overall strength and stability of habenular connections in a sex-specific manner.
Our regression analysis revealed sex-specific associations between habenular dFC and cognitive performance in LLD patients, with distinct patterns for left and right habenular connections. Importantly, sex moderated the relationships between cognitive function (global cognition, delay-recalled memory, and working memory) and dFC between the left habenula and left insula. Specifically, left habenula-insula dFC was correlated with different cognitive functions in males and females: working memory in males and long-delay memory in females. These findings suggest that the left habenula-insula circuit may play sex-specific roles in the cognitive processes of LLD patients, which aligns with broader evidence from a recent meta-analysis that demonstrated significant insula functional and structural alterations across mood disorders [29]. In contrast, right habenular-middle temporal pole dFC was associated with information processing speed only in female LLD patients, with no significant correlation in males. These lateralised and sex-specific findings highlight the complex interplay between habenular connectivity and cognitive function in LLD patients. Interestingly, while dFC exhibited sex-specific cognitive correlations, sFC did not reveal any significant associations with cognitive performance in either sex. This discrepancy underscores the potential of dFC analyses to capture more nuanced brain-behaviour relationships in LLD patients, which may not be evident in static connectivity measures [28]. The moderation effect of sex on the relationship between left habenula-insula dFC and various cognitive domains further emphasises the importance of considering both laterality and sex in understanding the neural underpinnings of cognitive function in LLD patients. These findings could inform the development of sex-specific cognitive interventions targeting different neural circuits in men and women with LLD.
Several limitations of this study should be acknowledged. First, the cross-sectional nature of our study precludes causal inferences about the relationship between altered habenular connectivity and LLD symptoms. Longitudinal studies are needed to elucidate the temporal dynamics of these changes and their relationships with the onset and progression of LLD. Second, our sample size, although adequate for detecting significant effects, may have limited our ability to identify more subtle sex differences or to perform more detailed subgroup analyses. Future studies with larger cohorts could provide more robust and nuanced findings. Third, while we focused on FC, integrating structural connectivity data and other imaging modalities could offer a more comprehensive understanding of sex differences in LLD patients and potentially provide imaging biomarkers for predicting treatment outcomes, as recent research has demonstrated the value of FC measures in clinical applications [30]. Additionally, future research should explore how hormonal factors, particularly in the context of ageing, might influence habenular connectivity and contribute to sex differences in LLD patients. Fourth, although we screened for significant cerebrovascular disease via the Hachinski Ischaemic Scale and MRI evaluation, mild white matter hyperintensities, which are common in older adults, were not quantified in our analyses. This could be addressed in future studies. Finally, investigating the impact of different treatment modalities on habenular connectivity in male and female LLD patients could provide valuable insights for developing more effective, sex-specific interventions. These studies could include comparisons of pharmacological treatments, psychotherapy, and neuromodulation techniques to determine their differential effects on habenular connectivity and associated clinical outcomes in men and women with LLD.
In summary, this study provides novel insights into sex differences in habenular FC in LLD patients. Our findings revealed distinct patterns of both sFC and dFC of the habenula in male and female LLD patients, particularly in connections with regions involved in emotion regulation and cognitive control. These sex-specific alterations in habenular connectivity were associated with differential cognitive performance, highlighting the complex interplay among neural connectivity, cognitive function, and depressive symptoms in older adults. The observed sex differences underscore the importance of considering sex as a crucial factor in understanding the neurobiological underpinnings of LLD and in developing targeted interventions. Future research should build upon these findings to further elucidate the mechanisms underlying sex differences in LLD patients and to develop sex-specific therapeutic approaches.
Data availability
The raw and processed data generated in this study are not publicly available due to ethical restrictions and the need to protect participant privacy. However, these data can be made available upon reasonable request to the corresponding author for the purpose of verifying the research findings. Requests will be reviewed to ensure compliance with ethical and legal guidelines.
References
Wen J, Fu C, Tosun D, Veturi Y, Yang Z, Abdulkadir A, et al. Characterizing heterogeneity in neuroimaging, cognition, clinical symptoms, and genetics among patients with late-life depression. JAMA Psychiatry. 2022;79:464–74.
Linnemann C, Lang UE. Pathways connecting late-life depression and dementia. Front Pharmacol. 2020;11:279.
Alexopoulos GS. Depression in the elderly. Lancet. 2005;365:1961–70.
Wilkins VM, Kiosses D, Ravdin LD. Late-life depression with comorbid cognitive impairment and disability: nonpharmacological interventions. Clin Interv Aging. 2010;5:323–31.
Karim HT, Andreescu C, Tudorascu D, Smagula SF, Butters MA, Karp JF, et al. Intrinsic functional connectivity in late-life depression: trajectories over the course of pharmacotherapy in remitters and non-remitters. Mol Psychiatry. 2017;22:450–7.
Ahmed R, Boyd BD, Elson D, Albert K, Begnoche P, Kang H, et al. Influences of resting-state intrinsic functional brain connectivity on the antidepressant treatment response in late-life depression. Psychol Med. 2023;53:6261–70.
Forlani C, Morri M, Ferrari B, Dalmonte E, Menchetti M, De Ronchi D, et al. Prevalence and gender differences in late-life depression: a population-based study. Am J Geriatr Psychiatry. 2014;22:370–80.
Collaborators GNSD. Global, regional, and national burden of disorders affecting the nervous system, 1990-2021: a systematic analysis for the global burden of disease study 2021. Lancet Neurol. 2024;23:344–81.
Xue X, Demirci D, Lenze EJ, Reynolds IC, Mulsant BH, Wetherell JL, et al. Sex differences in plasma proteomic markers in late-life depression. Psychiatry Res. 2024;334:115773.
Wilson JD, Gerlach AR, Karim HT, Aizenstein HJ, Andreescu C. Sex matters: acute functional connectivity changes as markers of remission in late-life depression differ by sex. Mol Psychiatry. 2023;28:5228–36.
Mou J, Zheng T, Long Z, Mei L, Wang Y, Yuan Y, et al. Sex differences of brain cortical structure in major depressive disorder. Psychoradiology. 2023;3:kkad014.
Li Y, Yan X, Meng X, Yuan J. Focus on the sex-specific neural markers in the discrimination of various degrees of depression. Psychoradiology. 2024;4:kkae006.
Lavretsky H, Kurbanyan K, Ballmaier M, Mintz J, Toga A, Kumar A. Sex differences in brain structure in geriatric depression. Am J Geriatr Psychiatry. 2004;12:653–7.
Hu H, Cui Y, Yang Y. Circuits and functions of the lateral habenula in health and in disease. Nat Rev Neurosci. 2020;21:277–95.
Yang Y, Wang H, Hu J, Hu H. Lateral habenula in the pathophysiology of depression. Curr Opin Neurobiol. 2018;48:90–6.
Lawson RP, Nord CL, Seymour B, Thomas DL, Dayan P, Pilling S, et al. Disrupted habenula function in major depression. Mol Psychiatry. 2017;22:202–8.
Wang ZJCG. Deep brain stimulation of habenula reduces depressive symptoms and modulates brain activities in treatment-resistant depression. Nat Ment Health. 2024;2:1045–52.
Sartorius A, Kiening KL, Kirsch P, von Gall CC, Haberkorn U, Unterberg AW, et al. Remission of major depression under deep brain stimulation of the lateral habenula in a therapy-refractory patient. Biol Psychiatry. 2010;67:e9–11.
Su T, Chen B, Yang M, Wang Q, Zhou H, Zhang M, et al. Disrupted functional connectivity of the habenula links psychomotor retardation and deficit of verbal fluency and working memory in late-life depression. CNS Neurosci Ther. 2024;30:e14490.
Chen B, Su T, Yang M, Wang Q, Zhou H, Tan G, et al. Static and dynamic functional connectivity of the habenula in late-life depression patient with suicidal ideation. J Affect Disord. 2024;356:499–506.
Chen G, Chen P, Gong J, Jia Y, Zhong S, Chen F, et al. Shared and specific patterns of dynamic functional connectivity variability of striato-cortical circuitry in unmedicated bipolar and major depressive disorders. Psychol Med. 2022;52:747–56.
Hitti FL, Parker D, Yang AI, Brem S, Verma R. Laterality and sex differences of human lateral habenula afferent and efferent fiber tracts. Front Neurosci. 2022;16:837624.
Bell D, Waldron VJ, Brown PL. Quantitative and qualitative sex difference in habenula-induced inhibition of midbrain dopamine neurons in the rat. Front Behav Neurosci. 2023;17:1289407.
Savitz JB, Nugent AC, Bogers W, Roiser JP, Bain EE, Neumeister A, et al. Habenula volume in bipolar disorder and major depressive disorder: a high-resolution magnetic resonance imaging study. Biol Psychiatry. 2011;69:336–43.
Lawson RP, Seymour B, Loh E, Lutti A, Dolan RJ, Dayan P, et al. The habenula encodes negative motivational value associated with primary punishment in humans. Proc Natl Acad Sci USA. 2014;111:11858–63.
Hennigan K, D’Ardenne K, Mcclure SM. Distinct midbrain and habenula pathways are involved in processing aversive events in humans. J Neurosci. 2015;35:198–208.
Schultz RT, Grelotti DJ, Klin A, Kleinman J, Van der Gaag C, Marois R, et al. The role of the fusiform face area in social cognition: implications for the pathobiology of autism. Philos Trans R Soc Lond B Biol Sci. 2003;358:415–27.
Huang J, Wang M, Ju H, Shi Z, Ding W, Zhang D. SD-CNN: a static-dynamic convolutional neural network for functional brain networks. Med Image Anal. 2023;83:102679.
Chen G, Wang J, Gong J, Qi Z, Fu S, Tang G, et al. Functional and structural brain differences in bipolar disorder: a multimodal meta-analysis of neuroimaging studies. Psychol Med. 2022;52:2861–73.
Chen G, Chen P, Yang Z, Ma W, Yan H, Su T, et al. Increased functional connectivity between the midbrain and frontal cortex following bright light therapy in subthreshold depression: a randomized clinical trial. Am Psychol. 2024;79:437–50.
Acknowledgements
We are grateful for the assistance from the Department of Neurology, the Department of Geriatric Psychiatry of the Affiliated Brain Hospital of Guangzhou Medical University.
Funding
This study was supported by a grant from the Guangzhou Research-oriented Hospital, Guangzhou Science and Technology Plan Project, Guangdong Province Key Areas Research and Development Programs-Brain Science and Brain-Inspired Intelligence Technology (2023B0303010003), Industry-University-Research Innovation Fund for Chinese Universities (2023HT022), Guangzhou Key Research and Development Program (2023B03J1296), Guangzhou Traditional Chinese Medicine and Integrated Traditional Chinese and Western Medicine Science and Technology Project(20232A010014)), Basic and Applied Basic Research Project of Guangzhou Basic Research Program (202201010491), Guangzhou Science and Technology Plan Project (2023A03J0852, 2023A03J0853, 2023A03J0840, 2023A03J0827). Natural Science Foundation of Guangdong Province, China (2024A1515011035, 2021A1515011322), Guangzhou Municipal Key Discipline in Medicine (2025-2027). The funders had no role in the study design, data collection and analysis, decision to publish or preparation of the manuscript.
Author information
Authors and Affiliations
Contributions
TS and BC acquired the data, analysed and interpreted the data, and drafted the manuscript. MY and QW designed and conceptualized the study, analysed and interpreted the data, and critically revised the manuscript. QL, YC, HZ and ZW acquired the data and critically revised the manuscript. XZ and YN critically revised the manuscript. All authors read and approved the final manuscript.
Corresponding authors
Ethics declarations
Competing interests
The authors declare no competing interests.
Additional information
Publisher’s note Springer Nature remains neutral with regard to jurisdictional claims in published maps and institutional affiliations.
Rights and permissions
Open Access This article is licensed under a Creative Commons Attribution-NonCommercial-NoDerivatives 4.0 International License, which permits any non-commercial use, sharing, distribution and reproduction in any medium or format, as long as you give appropriate credit to the original author(s) and the source, provide a link to the Creative Commons licence, and indicate if you modified the licensed material. You do not have permission under this licence to share adapted material derived from this article or parts of it. The images or other third party material in this article are included in the article’s Creative Commons licence, unless indicated otherwise in a credit line to the material. If material is not included in the article’s Creative Commons licence and your intended use is not permitted by statutory regulation or exceeds the permitted use, you will need to obtain permission directly from the copyright holder. To view a copy of this licence, visit http://creativecommons.org/licenses/by-nc-nd/4.0/.
About this article
Cite this article
Su, T., Chen, B., Liu, Q. et al. Sex-specific habenular dysconnectivity in patients with late-life depression. Transl Psychiatry 15, 121 (2025). https://doi.org/10.1038/s41398-025-03329-z
Received:
Revised:
Accepted:
Published:
Version of record:
DOI: https://doi.org/10.1038/s41398-025-03329-z
This article is cited by
-
Functional neuroimaging highlights sex as a critical variable in depression research
Nature Mental Health (2025)






