Abstract
Mitochondrial dysfunction and disrupted bioenergetic processes are critical in the pathogenesis of bipolar disorder (BD), with cognitive impairment being a prominent symptom linked to mitochondrial anomalies. The tricarboxylic acid (TCA) cycle, integral to mitochondrial energy production, may be implicated in this cognitive dysfunction, yet its specific association with BD remains underexplored. In this cross-sectional study, 144 first-episode, drug-naive BD patients and 51 healthy controls were assessed. Using liquid chromatography-tandem mass spectrometry (LC-MS/MS), serum TCA cycle metabolites were quantified, and cognitive function was evaluated through the Repeatable Battery for the Assessment of Neuropsychological Status (RBANS) and the Stroop color-word test. The study found that BD patients exhibited significantly elevated serum levels of several TCA metabolites compared to healthy controls, alongside lower cognitive function scores. Correlational analyses revealed that certain bioenergetic metabolites were significantly positively associated with anxiety and negatively correlated with cognitive performance in BD patients. Notably, succinic acid, α-Ketoglutaric acid (α-KG), and malic acid emerged as independent risk factors for BD, with their combined profile demonstrating diagnostic utility. These findings underscore the potential of serum bioenergetic metabolites as biomarkers for BD, providing insights into the mitochondrial dysfunction underlying cognitive impairment and offering a basis for early diagnosis and targeted therapeutic strategies.
Similar content being viewed by others
Introduction
Bipolar disorder (BD) is a chronic and debilitating mental illness characterized by alternating periods of mania and depression [1]. It affects approximately 1–3% of the global population and significantly impairs social, occupational, and cognitive functioning [2]. Despite extensive research, the precise pathophysiological mechanisms underlying BD remain elusive. Traditional hypotheses have focused on neurotransmitter imbalances and genetic predispositions [3], yet emerging evidence suggests that mitochondrial dysfunction play a crucial role in the development and progression of BD [4, 5], indicating disruption of energy production in the central nervous system.
A classical biological marker of mitochondrial dysfunction is the assessment of levels of lactate, generated through anaerobic glycolysis. As evidenced, lactate has been used as a biomarker for mitochondrial diseases and can potentially offer a biologically relevant marker for BD and other neuropsychiatric disorders [6,7,8]. Beyond lactate, other bioenergetic markers should be thoroughly studied to better understand the role of mitochondrial dysfunction in BD. Among the mitochondrial processes, the tricarboxylic acid (TCA) cycle is essential for energy production and metabolic regulation. The TCA cycle involves a series of enzymatic reactions that convert acetyl-CoA into ATP, generating several key metabolites such as citric acid, α-ketoglutarate (α-KG) and succinic acid [9]. Beyond ATP production, TCA cycle metabolites perform signaling functions across various diseases [10]. Alterations in these metabolites may reflect underlying mitochondrial dysfunction and contribute to the pathophysiology of the disorder. Recent studies have highlighted that aberrant TCA cycle in mitochondria may be involved in the pathogenesis of BD [11, 12]. To date, no systematic exploration of TCA cycle metabolites as potential biomarkers for BD diagnosis, particularly in first-episode, drug-naive patients, has been conducted. Given the pivotal role of energy metabolism in BD pathogenesis, investigating lactate and other TCA cycle metabolites could enhance our understanding of the disorder and aid in identifying potential biomarkers for diagnosis.
As mentioned, BD is characterized by alternating episodes of depression and mania, also with higher rates of co-morbidity with anxiety [13]. Emerging evidence suggests a potential link between mitochondrial energy dysregulation and the clinical manifestations of BD. Neurons necessitate adequate energy to maintain normal function within a dynamic equilibrium and homeostasis. Significant energy impairment disrupts this balance, causing the brain to oscillate between high and low energy states in an effort to re-establish homeostasis [12]. A recent network analysis involving 486 patients identified low energy and high energy as the most significant symptoms predicting depression and mania, respectively [14]. Depressive episodes are characterized by exhaustion and a lack of energy, while manic episodes are marked by increased physical activity compared to depressive states [15]. In addition, anxiety symptoms in BD may also be influenced by mitochondrial dysfunction. Under anxious conditions, metabolic stress increases, which may lead to impaired mitochondrial function and further affect the efficiency of the TCA cycle [16]. Hence, it is necessary to further elucidate the mechanisms underlying the connection between mitochondrial energy dysregulation and the psychiatric symptoms of BD, which could lead to more targeted and effective treatments.
Cognitive impairment, particularly in executive function, memory, and attention, is an intrinsic characteristic and a key endophenotype of BD [17]. Accumulating evidence indicates that BD patients experience cognitive deficits during acute manic or depressive episodes and throughout remission phases [18]. The energy demands of the brain are high, accounting for at least 20% of the body’s energy consumption [19]. The emergence of higher cognitive functions in humans is closely associated with a considerable increase of energy consumption [20]. Neurons require substantial ATP, produced via mitochondrial oxidative phosphorylation, to support synaptic transmission and plasticity [21]. Consequently, mitochondrial dysfunction may impair energy supply, adversely affecting cognitive processes. A close relationship between mitochondrial energy metabolism and cognitive function has been proposed [22, 23], suggesting that mitochondrial dysfunction might play a critical role in cognitive impairments in individuals of BD. However, the specific relationship between mitochondrial energy metabolism and cognitive function in BD patients remains largely unexplored.
Therefore, we sought out to measure serum lactate and TCA cycle metabolites and compare the measurements between patients with BD and healthy control (HC). By correlating these bioenergetic biomarkers with clinical symptoms and cognitive function, we seek to determine their potential as diagnostic indicators of BD, potentially offering a non-invasive and objective tool for early diagnosis of BD without the confounding effects of medication.
Methods
Participants
From March 2019 to December 2021, 144 first-diagnosed and drug-naïve BD patients were recruited from the Second Xiangya Hospital of Central South University. This study was approved by the Medical Ethics Committee of the Second Xiangya Hospital, Central South University (2018-067) and was registered in Chinese Clinical Trial Registry (ChiCTR1900021379).
The following inclusion criteria was applied: (1) age range between 16 and 45 years; (2) Han Chinese ethnicity; (3) a first-time diagnosis of BD confirmed independently by two certified psychiatrists based on clinical interviews and the Diagnostic and Statistical Manual of Mental Disorders, Fifth Edition (DSM-5) criteria; (4) no current use of antipsychotics, antidepressants, or other psychiatric medications. Additionally, 51 healthy volunteers (16 males, 35 females), with first-degree relatives devoid of personal or familial history of mental illness, were matched to the patient group in terms of age, gender, and educational background.
The exclusion criteria were as follows: (1) presence of severe concurrent medical conditions, such as decompensated heart disease or metabolic syndrome; (2) concurrent diagnosis of other severe mental disorders according to ICD-10 or DSM-5 criteria, such as intellectual disability or dementia; (3) inability to complete cognitive assessments; (4) refusal to participate; (5) women planning pregnancy during the study period. Written informed consent was obtained from all patients and volunteers following a comprehensive explanation of the study.
Sociodemographic and clinical assessment
Socio-demographic and clinical data of the patients were obtained through study-specific questionnaires. BD-related symptoms were evaluated by two psychiatrists, each with over five years of clinical experience, using standardized rating instruments, including the Young Mania Rating Scale (YMRS) [24], the Hamilton Depression Rating Scale (HAMD-17) [25] and the Hamilton Anxiety Rating Scale (HAMA) [26]. To ensure inter-rater reliability, both psychiatrists underwent specialized training at the same centre prior to the assessments. All rating scales utilized were the validated Chinese version.
Cognitive assessment
The repeatable battery for the assessment of neuropsychological status (RBANS) and the Stroop Colour-Word test were used to assess cognitive function in the study. The RBANS is used to measure 12 subtests in 5 domains, including immediate memory (list learning, story memory), visuospatial/structural (figure reproduction and line orientation tasks), language (picture naming and semantic fluency tasks), attention (digit span and encoding tasks), and delayed memory (list recall, story recall, figure recall, and list recognition tasks). Alternatively, the Stroop Color-Word test consists of three tasks (word, color, color-word) that assess the working memory capacity, conflict monitoring, and speed of visual search.
Measurement of bioenergetic metabolites
The blood samples were collected from all the subjects between 6 and 9 a.m. on an empty stomach and then centrifuged for 10 min at 3000 rpm for analysis. Concentrations of bioenergetic metabolites in serum were measured using the ultraperformance liquid chromatography–mass spectrometry (UPLC–MS/MS) method largely based on a previously published methodology [27] with minor modifications. The brief protocol was incorporated as supplementary methods.
Statistical analysis
In our study, all statistical analyses were performed using SPSS software, version 26.0, along with the use of GraphPad Prism software version 9.0 for plotting. First, the normality of the data was tested using the Shapiro–Wilk test, and appropriate descriptive statistics methods were applied to both normally and non-normally distributed variables. While nonparametric variables were shown with medians and interquartile ranges using Mann- Whitney U tests, descriptive statistics for continuous data were expressed as mean ± Standard deviation.
According to the result of normality, the student t-test (measurement data of the continuous variable of normal distribution), Mann–Whitney U test (measurement data of the continuous variable of non-normal distribution), and chi-square test (enumeration data) were used to compare the demographic information of the drug-naïve BD and HC groups. A two-tailed test with a p value < 0.05 was considered statistically significant. Results were given as point estimates or 95% confidence intervals. Spearman correlation analysis was used to analyse the association between cognitive function, degree of anxiety, depression, mania and levels of TCA cycle metabolites in drug-naïve BD group. Given the exploratory nature of this analysis and the relatively small p-values observed for most indicators, we initially chose not to apply a correction to avoid losing potentially valuable findings (Supplementary Fig. 1 and 2). To avoid potential type I errors in the correlation tests, p-values were adjusted for multiple testing for the 9 TCA cycle metabolites in clinical symptoms and cognitive function using Bonferroni correction (0.05/9 = 0.006). Other tests were significant when p < 0.05. Collinearity diagnostics were conducted, identifying variables with a variance inflation factor (VIF) exceeding 5 as indicative of multicollinearity (refer to Supplementary Table 2). Subsequently, the bioenergetic metabolites of statistical significance for BD diagnosis were evaluated using binary logistic regression analysis. Receiver operating character curve (ROC) analysis was used to test the power of BD diagnosis. We also performed a power analysis using G*Power (version 3.1) to evaluate the statistical power for our logistic regression model. Given a total sample size of 195 participants (144 BD patients and 51 controls), 3 predictors, and an effect size (Cohen’s f2) of 0.15 (medium effect size), the analysis indicates that our study has an actual power of approximately 0.99 (at the α = 0.05 level), which exceeds the commonly accepted threshold of 0.80 for adequate power in biomedical research [28].
Results
Demographic and clinical characteristics
The demographic and symptomatic information was shown in Table 1. There was no group difference in gender distribution, age and BMI. However, BD patients indicted lower education level than HC group.
Analysis of serum levels of bioenergetic metabolites and cognitive function between BD group and HC group
Comparison of serum levels of bioenergetic metabolites
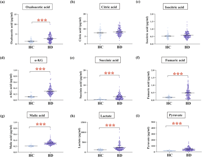
An overview of serum concentrations of TCA cycle-related metabolites is shown in Fig. 1. Compared with HC group, patients with BD exhibited higher levels of most bioenergetic metabolites including oxaloacetic acid, α-ketoglutaric acid (α-KG), succinic acid, fumaric acid, malic acid, lactate and pyruvate. Although no significant values were obtained, elevated tendency of levels of citric acid and isocitric acid was observed in BD group.
a-i The level of oxaloacetic acid, α-KG, succinic acid, fumaric acid, malic acid, lactate and pyruvate in the BD group was significantly higher than that of the HC group; b-c There were no significant difference of levels of citric acid and isocitric acid between BD and HC group. BD Bipolar disorder, HC healthy controls, α-KG α-ketoglutaric acid. *** indicated p < 0.001.
Comparison of cognitive function
In Table 2, it revealed that the cognitive function of the drug-naive BD group was significantly lower in the RBANS total score (t = −6.62, p < 0.001) and Stroop total score (t = −3.32, p = 0.001) than that of the HC group. The scores of the BD group in all five domains of RBANS, namely, immediate memory (U = 1445.50, p < 0.001), visuospatial (U = 2458.50, p < 0.001), language (t = −2.87, p = 0.005), attention (U = 2253. 00, p < 0.001), and delayed memory (U = 1562.50, p < 0.001), are lower than those of the HC group. In the 12 sub-tests, only the line orientation (U = 3100.00, p = 0.434), picture naming (U = 3084.00, p = 0.379), digit span (U = 3105.00, p = 0.390) and list recognition (U = 3148.50, p = 0.365) has no statistical significance between the two groups. However, the scores of the remaining 8 sub-tests in BD group were significantly lower than those in HC group. The scores in the three sub-tests of word-reading (U = 2493.00, p = 0.008), color- naming (t = −2.21, p = 0.029) and color-word (t = −2.65, p = 0.010) in the Stroop color-word test in the BD group were lower than those of the HC group.
Correlation analysis
Correlations between TCA cycle-related metabolites and clinical symptoms
For patients with BD (Fig. 2), the serum levels of TCA cycle-related metabolites includingα-KG (r = 0.275, p = 0.002), succinic acid (r = 0.272, p = 0.002), fumaric acid (r = 0.440, p < 0.001), lactate (r = 0.500, p < 0.001) and pyruvate (r = 0.517, p < 0.001) were positively associated with HAMA score; while the serum levels of isocitric acid were negatively correlated with HAMA score (r = −0.311, p < 0.001).
Correlations with clinical symptoms: a Isocitric acid levels were negatively correlated with HAMA score. b α-KG, c succinic acid, d fumaric acid, e lactate and (f) pyruvate were positively associated with HAMA score. Correlations with cognitive performance: g oxaloacetic acid and (i) α-KG were negatively correlated with picture naming, while (h) citric acid was negatively correlated with list learning.
Correlations between TCA cycle-related metabolites and cognitive performance
In the correlation analysis, the levels of three TCA cycle-related metabolites are presented to be negatively correlated with the cognitive function of BD group in two sub-tests of list learning (citric acid: r = −0.248, p = 0.004), picture naming (oxaloacetic acid: r = −0.324, p < 0.001; α-KG: r = −0.247, p = 0.004) (Fig. 2)
A panel of bioenergetic metabolites as diagnostic biomarkers for BD
Based on univariate analysis results (Fig. 1), these statistically significant factors, seven TCA cycle-related metabolites entered into the subsequent binary logistic regression model to identify independent influencing factors of BD. As shown in Table 3, three independent risk factors were found, including succinic acid (odds ratio (OR) = 9.664, p = 0.014), α-KG (OR = 2.76E + 10, p = 0.011) and malic acid (OR = 1.10E + 47, p = 0.001). The independent influencing factors we obtained in the binary logistic regression were united to form the subsequent combined predictor. According to the results of logistic regression (Table 3), an equation for the combined predictor was built:
Afterward, the receiver operating characteristic curves (ROC) of each independent risk factor and combined predictive factor were drawn to determine the predictive power of each factor (Fig. 3). The results showed that the predictive capability of malic acid (are under the curve (AUC) = 0.967, p < 0.0001) was stronger than that of other factors (succinic acid: AUC = 0.898, p < 0.0001; α-KG: AUC = 0.947, p < 0.0001). Furthermore, the predictive capability of the combined factor was stronger than the independent prediction ability of each factor. The AUC of combined prediction was 0.994 (p < 0.0001). The optimal cutoff value was 0.706 and the Youden index was 0.938 with a sensitivity of 0.958 and a specificity of 0.980 (Fig. 3d). All these factors indicated good predictive power.
Given the relatively small sample size, your concern about potential overfitting is understandable. To address this, we performed Stratified K-fold cross-validation (with K = 10) to validate our model. This technique partitions the data into 10 subsets (or “folds”), ensuring that each fold contains a proportional representation of both BD patients and healthy controls (HC), which helps prevent biased results. In each iteration, one fold is used for testing, while the remaining folds are used for training the model. This process is repeated for each fold, ensuring that the model is tested on all data points while minimizing the risk of overfitting. The use of Stratified K-fold cross-validation has been widely recommended in machine learning studies as an effective way to assess model performance and generalizability, especially when working with limited data [29, 30]. Stratified K-fold cross-validation ensures that the proportion of BD and HC in each fold remains consistent with the original dataset, thereby addressing potential imbalances in class distribution. This approach provides a more reliable estimate of the model’s true performance by evaluating its robustness across multiple independent subsets of the data.
The results from our cross-validation (Supplementary Table 3) demonstrate that the model performs well across all folds, with high accuracy, AUC, precision, recall, and F1 score, indicating that it can effectively distinguish between BD patients and HC. Additionally, the distribution of Kappa coefficients reflects the model’s stability, although slight variations in Kappa values across folds (e.g., Fold01) suggest some sensitivity to the specific data subset. However, overall, the model’s predictions remain consistent and robust across all folds.
Discussion
The present study revealed four main findings: (1) First-diagnosed drug-naïve BD patients exhibited significantly lower cognitive function on all five domains of RBANS total and Stroop total score compared to the HCs; (2) The serum levels of seven bioenergetic metabolites were remarkably elevated in first-diagnosed drug-naïve BD patients compared to the HCs; (3) In the BD group, several bioenergetic metabolites were positively associated with anxiety, while negatively correlated with cognitive function; (4) Intriguingly, three independent risk factors namely succinic acid, α-KG and malic acid and their combination as a combined factor all indicated good predictive power for BD patients.
BD is associated with cognitive deficits across several domains including executive functions, attention, and memory [31]. In the present study, significant cognitive differences were observed between the HCs and the BD group, specifically in the areas of immediate memory, visuospatial abilities, attention, delayed memory, and the RBANS and Stroop total scores, corroborating previous research findings [32,33,34]. The precise pathophysiology underlying these cognitive deficits remains elusive. Recent investigations have highlighted mitochondrial dysfunction as a pivotal component in the pathophysiology of BD, indicating disruptions in cellular energy production [35,36,37].
Elevated lactate levels, a primary marker of mitochondrial dysfunction [38], have been consistently observed in serum, cerebrospinal fluid (CSF), and brain studies of BD patients, as evidenced by MRS and metabolomics research [6, 39]. Consequently, lactate is recognized as a biomarker for mitochondrial dysfunction in BD [7]. Consistent with evidence above, BD patients in our study also exhibited elevated serum lactate levels, suggesting the occurrence of mitochondrial dysfunction. Furthermore, the TCA cycle, essential for mitochondrial ATP production, is also disrupted in BD. Deviations in isocitric acid levels in the CSF of male BD patients compared to healthy controls, along with anomalies in the metabolism of isocitrate mediated by IDH3A in the dorsolateral prefrontal cortex, support the hypothesis of mitochondrial dysfunction in BD [40]. Metabolomic analysis have shown that the serum levels of TCA cycle intermediates (pyruvate and α-KG) were significantly higher in BD patients than in healthy controls, suggesting the disruption of oxidative phosphorylation (OXPHOS) and mitochondrial dysfunction [41]. In alignment with these findings, our study identified marked elevations in six TCA cycle-related metabolites in BD patients, reinforcing the concept of dysregulated mitochondrial function and aberrant energy metabolism in the brain.
As indicators of mitochondrial dysfunction, several bioenergetic metabolites were associated with clinical symptoms namely anxiety and depression. The reasons might be explained as follows. Anxious states, particularly when persistent and those with anxiety disorders typically course with oxidative stress [42]. Amounting evidence strongly suggests the involvement of oxidative stress and impaired mitochondrial function in the pathophysiology of BD [43]. Several clinical studies found that serum SOD activity was significantly increased in BD patients, especially in the depressive phase [44, 45], contributing to oxidative damage to cells and mitochondrial complexes. Furthermore, mitochondria critically regulate cellular homeostasis during response to stressful stimuli [46] and thus mitochondrial function is intimately linked to mechanisms of stress adaptation and regulation [46, 47]. Stress triggers the release of glucocorticoids, which can impair mitochondrial function, leading to reduced ATP production and increased oxidative stress [46, 48, 49]. This can create a vicious cycle where impaired energy metabolism exacerbates mood symptoms, further increasing stress and anxiety levels. Moreover, anxiety and depression are often comorbid, with anxiety potentially worsening depressive symptoms by increasing the physiological and psychological burden [50]. Therefore, the observed increase in bioenergetic metabolites might reflect an adaptive response to mitochondrial stress or an attempt to compensate for reduced ATP availability. This metabolic alteration could be a biomarker of mitochondrial dysfunction in BD. Understanding these metabolic changes can help develop targeted treatments aimed at restoring mitochondrial function, potentially alleviating mood symptoms and improving the quality of life for these patients.
Recently, a new appreciation for mitochondria has emerged in terms of cognitive function, particularly within the process of memory and learning in neurodevelopmental disorders [51]. The brain is a highly energy-dependent organ [52], requiring continuous ATP production to maintain neuronal function and synaptic plasticity [53]. Mitochondrial dysfunction-induced energy deficits can impair synaptic plasticity and neurotransmission [54] particularly in brain regions involved in cognitive processing, such as the prefrontal cortex and hippocampus [43, 55, 56]. Our study identified significant correlations between three mitochondrial TCA cycle metabolites (e.g. citric acid, oxaloacetic acid, and α-KG) and cognitive function in patients with BD. These findings suggest that disturbances in TCA cycle, a central metabolic pathway in cellular energy production, may play an important role in the pathophysiology of BD and its cognitive impairments. The TCA cycle is critical for brain energy metabolism, where citric acid, oxaloacetic acid, and α-KG act as key intermediates. Disruptions in this metabolic pathway can result in impaired neuronal function, contributing to cognitive deficits observed in various psychiatric disorders, including BD [12, 57]. Citric acid is an important metabolic intermediate in the TCA cycle and a precursor for the synthesis of several essential compounds, including neurotransmitters and fatty acids. Alterations in citric acid levels can indicate dysfunction in energy production and cellular metabolism, which has been linked to cognitive decline in neurodegenerative disorders [58]. Similarly, oxaloacetic acid, a key substrate in the TCA cycle, plays a crucial role in maintaining the balance of cellular energy and redox states. Studies have shown that oxaloacetic acid promotes brain mitochondrial biogenesis, activates the insulin signaling pathway, reduces neuroinflammation and activates hippocampal neurogenesis in mice [59]. These processes are critical for maintaining cognitive function, particularly in regions like the hippocampus, which is known for its role in memory and learning.
As evidenced, several key TCA cycle-related metabolites in CSF that could serve as biomarkers for the diagnosis of BD [40]. Our study also revealed that succinic acid, malic acid, and α-KG have high predictive capability for BD diagnosis. It is well accepted that these three metabolites are key intermediates in the TCA cycle and plays a crucial role in mitochondrial ATP generation [10]. Abnormal levels of these three metabolites could indicate disruptions in energy metabolism, contributing the cognitive impairment occurred in BD. In addition, elevated succinate levels can enhance ROS production, which damages cellular structures, including mitochondria [60], further exacerbating mitochondrial dysfunction and potentially contributing to the neurobiological abnormalities in BD. Furthermore, elevated succinate levels can activate succinate receptors, such as SUCNR1, which are involved in inflammatory responses [61]. Chronic inflammation is increasingly recognized as a component of BD pathophysiology [62]. As these are critical components in BD pathogenesis, succinate might serve as a potent biomarker for predicting the disorder. Additionally, malic acid plays a role in the malic acid-aspartate shuttle, which is vital for transferring reducing equivalents into the mitochondria [63]. Imbalances in this shuttle can disrupt redox homeostasis, leading to oxidative stress [64]. What’s more, malic acid and its derivatives are involved in the synthesis and regulation of neurotransmitters [65, 66]. Disturbance of neurotransmitter systems is a hallmark of BD [3], suggesting that malic acid levels might reflect broader neurochemical abnormalities. Given the importance of these processes in maintaining neuronal function and stability, malic acid also has the potential to be reliable biomarker for BD. While for α-KG, it is a precursor for glutamate, a major excitatory neurotransmitter Dysregulation of glutamate neurotransmission is a well-documented feature in BD [67], suggesting that α-KG abnormalities could directly impact neurotransmitter systems. Disruptions in α-KG levels can therefore reflect broader pathophysiological processes in BD, making it a powerful predictive biomarker. Current treatments for BD primarily focus on mood stabilization, but cognitive impairment remains an unmet clinical need. Understanding these mechanisms provides a foundation for developing targeted treatments aimed at improving mitochondrial function and alleviating cognitive deficits in BD.
From a clinical perspective, serum biomarkers offer a less-invasive and more accessible alternative to direct CSF measurements [68]. This is particularly advantageous in large cohort studies and for early diagnosis in clinical settings where repeated, invasive sampling may not be feasible. Serum biomarkers are also essential in first-episode, drug-naïve patients, as they allow for an early understanding of metabolic disruptions in BD without the confounding effects of medications [69].
We acknowledge that peripheral metabolites may not perfectly mirror CNS metabolism due to key factors like the blood-brain barrier (BBB) and tissue-specific metabolic differences. The BBB acts as a selective gatekeeper, limiting the direct exchange of many metabolites between the brain and peripheral blood. Furthermore, peripheral blood metabolite levels may reflect systemic changes or compensatory mechanisms that are not specific to CNS processes. These limitations could introduce discrepancies between peripheral and central levels of certain metabolites, underscoring the need for caution when interpreting peripheral bioenergetic data as proxies for brain mitochondrial function.
Despite these challenges, there is growing evidence that peripheral metabolites can provide valuable insights into CNS metabolic changes. The brain relies heavily on systemic metabolic processes, particularly glucose metabolism, for its energy supply. Alterations in peripheral glucose have been shown to influence brain function, including cognitive processes and mood regulation [70]. Glucose is primarily metabolized through glycolysis to produce lactate, which enters the TCA cycle in neurons to meet energy demands. Peripheral lactate levels are closely linked to mitochondrial dysfunction and have been implicated in the pathophysiology of BD [71]. Additionally, several key metabolites of TCA cycle, such as citric acid, succinate, et al. have been associated with systemic metabolic disruptions that may reflect CNS function [58, 72,73,74,75,76].
Although the BBB restricts many molecules, some key metabolites, such as glucose and lactate, are able to cross it through specialized transport mechanisms, such as GLUT1 for glucose and MCT1 for lactate. Neurometabolic homeostasis in the brain relies on the coordinated transport of glucose and other essential substrates across the brain barriers, primarily the BBB and the blood-cerebrospinal fluid barrier. In conditions like type 2 diabetes mellitus (T2DM), persistent hyperglycemia can disrupt these transport processes, leading to neurovascular dysfunction and cognitive impairments [77].
While the exact mechanisms underlying this relationship are still being investigated, our study aims to explore how changes in peripheral bioenergetic profiles, particularly in serum versus CSF, could serve as less-invasive and routine proxies for CNS function in the early diagnosis of BD. In our study, we hypothesize that the peripheral bioenergetic changes observed in serum could serve as indirect markers of brain energy metabolism, reflecting systemic metabolic disruptions that influence or are influenced by brain function. While we cannot assert that serum metabolites are exact proxies for brain metabolism, we believe that they provide a valuable and less-invasive method to study metabolic disturbances associated with the symptomatology of BD, particularly at the early stages like first-episode or in even more severe chronic phases.
In our study, before Bonfferoni correction, most mitochondrial metabolites are correlated with various domains of cognitive function. As a result of the Bonferroni correction, three metabolites of the TCA cycle (citric acid, oxaloacetate, and α-KG) still remain significantly correlated with several domains of cognitive function. As evidenced, cognitive deficits have been observed not only during manic or depressive episodes but also during stable phases of BD [78,79,80]. Furthermore, our previous study compared cognitive function across different mood states (depression, mania, mixed episodes, and euthymia) and found no significant differences, supporting the notion that cognitive dysfunction in BD is a persistent feature, independent of mood state [33].
The relationship between manic states and mitochondrial metabolites is indeed complex, with inconsistent evidence in the literature. For example, Kim et al. found a positive correlation between manic symptom severity and lactate levels [81], while Xu et al. observed elevated lactate levels across all illness states, with oxidative metabolism differing between mania and depression [82]. In contrast, Bradley et al. reported elevated cerebral lactate levels in euthymic patients but did not find this in manic patients [83]. These discrepancies highlight the complexity of metabolic changes across different BD states, rather than undermining the relevance of early metabolic alterations, including during manic episodes. We agree that manic symptoms can influence metabolic profiles; however, we contend that these symptoms are integral to the pathophysiology of BD, not merely state-dependent changes. Furthermore, the inconsistencies in the literature emphasize the need for more research into how early manic episodes might influence mitochondrial dysfunction and bioenergetic metabolism in BD, by investigating the panel of TCA biomarkers rather than a single metabolite.
The exclusion of interfering medication factors from the study reflects its advantage. The investigation into the relationship between bioenergetic metabolites and cognitive function presents a more nuanced understanding, albeit with certain limitations. First, no longitudinal comparison has been conducted with regard to the changes of bioenergetic metabolites and the neurocognitive function in the cross-sectional study. Second, additional evidence is required to substantiate the premise that peripheral blood levels of bioenergetic metabolites accurately reflect cerebral alterations. Further studies, ideally using a combination of peripheral and direct brain measurements (e.g., neuroimaging or CSF sampling), are necessary to better understand the complex relationship between peripheral metabolism and CNS function. Third, while we have used Stratified K-fold cross-validation for model validation, further validation using an independent cohort is ongoing. This additional validation step will provide further confirmation of the model’s robustness and generalizability. Despite these limitations, the research provides preliminary insights that warrant further exploration into the association between bioenergetic metabolites, particularly those involved in the TCA cycle, and neurocognitive function in BD.
In summary, first-episode drug-naive patients with BD exhibit significant neurocognitive impairments and elevated serum levels of bioenergetic metabolites. These findings suggest that such neurocognitive deficits and metabolic abnormalities are intrinsic characteristics and endophenotypic markers of BD. Notably, the strong predictive power of succinic acid, malic acid, and α-KG for BD highlights the pivotal role of mitochondrial dysfunction in the disorder’s pathophysiology. Consequently, monitoring these metabolites could provide valuable insights into the biochemical abnormalities underlying BD, facilitating early diagnosis and potentially informing therapeutic strategies.
Data availability
The datasets used and/or analyzed during the current study are available from Prof. Hualin Cai: hualincai@csu.edu.cn on reasonable request.
References
Grande I, Berk M, Birmaher B, Vieta E. Bipolar disorder. Lancet. 2016;387:1561–72.
McIntyre RS, Berk M, Brietzke E, Goldstein BI, López-Jaramillo C, Kessing LV, et al. Bipolar disorders. The Lancet. 2020;396:1841–56.
Sigitova E, Fišar Z, Hroudová J, Cikánková T, Raboch J. Biological hypotheses and biomarkers of bipolar disorder. Psychiatry Clin Neurosci. 2017;71:77–103.
Scaini G, Andrews T, Lima CNC, Benevenuto D, Streck EL, Quevedo J. Mitochondrial dysfunction as a critical event in the pathophysiology of bipolar disorder. Mitochondrion. 2021;57:23–36.
Kato T. Mitochondrial dysfunction in bipolar disorder. Biomarkers in Bipolar Disorders. 2022:141–56.
MacDonald K, Krishnan A, Cervenka E, Hu G, Guadagno E, Trakadis Y. Biomarkers for major depressive and bipolar disorders using metabolomics: a systematic review. Am J Med Genet B Neuropsychiatr Genet. 2019;180:122–37.
Kuang H, Duong A, Jeong H, Zachos K, Andreazza AC. Lactate in bipolar disorder: a systematic review and meta-analysis. Psychiatry Clin Neurosci. 2018;72:546–55.
Kato T. Neurobiological basis of bipolar disorder: mitochondrial dysfunction hypothesis and beyond. Schizophr Res. 2017;187:62–66.
Martínez-Reyes I, Chandel NS. Mitochondrial TCA cycle metabolites control physiology and disease. Nat Commun. 2020;11:102.
Akram M. Citric acid cycle and role of its intermediates in metabolism. Cell Biochem Biophys. 2014;68:475–78.
Sun X-L, Ma L-N, Chen Z-Z, Xiong Y-B, Jia J, Wang Y, et al. Search for serum biomarkers in patients with bipolar disorder and major depressive disorder using metabolome analysis. Front Psychiatry. 2023;14:1251955.
Campbell IH, Campbell H. The metabolic overdrive hypothesis: hyperglycolysis and glutaminolysis in bipolar mania. Mol Psychiatry. 2024;29:1521–7.
Goldberg D, Fawcett J. The importance of anxiety in both major depression and bipolar disorder. Depress Anxiety. 2012;29:471–78.
McNally RJ, Robinaugh DJ, Deckersbach T, Sylvia LG, Nierenberg AA. Estimating the symptom structure of bipolar disorder via network analysis: energy dysregulation as a central symptom. J Psychopathol Clin Sci. 2022;131:86–97.
Cheniaux E, Silva RDAD, Santana CMT, Nardi AE, Filgueiras A. Mood versus energy/activity symptoms in bipolar disorder: which cluster of hamilton depression rating scale better distinguishes between mania, depression, and euthymia? Trends Psychiatry Psychother. 2019;41:401–08.
Manoli I, Alesci S, Blackman MR, Su YA, Rennert OM, Chrousos GP. Mitochondria as key components of the stress response. Trends Endocrinol Metab. 2007;18:190–98.
Miskowiak KW, Burdick KE, Martinez-Aran A, Bonnin CM, Bowie CR, Carvalho AF, et al. Assessing and addressing cognitive impairment in bipolar disorder: the international society for bipolar disorders targeting cognition task force recommendations for clinicians. Bipolar Disord. 2018;20:184–94.
Martínez-Arán A, Vieta E, Colom F, Reinares M, Benabarre A, Gastó C, et al. Cognitive dysfunctions in bipolar disorder: evidence of neuropsychological disturbances. Psychother Psychosom. 2000;69:2–18.
Niven JE. Neuronal energy consumption: biophysics, efficiency and evolution. Curr Opin Neurobiol. 2016;41:129–35.
Magistretti PJ, Allaman I. A cellular perspective on brain energy metabolism and functional imaging. Neuron. 2015;86:883–901.
Harris JJ, Jolivet R, Attwell D. Synaptic energy use and supply. Neuron. 2012;75:762–77.
Fernandez A, Meechan DW, Karpinski BA, Paronett EM, Bryan CA, Rutz HL, et al. Mitochondrial dysfunction leads to cortical under-connectivity and cognitive impairment. Neuron. 2019;102:1127–42.
Apaijai N, Sriwichaiin S, Phrommintikul A, Jaiwongkam T, Kerdphoo S, Chansirikarnjana S, et al. Cognitive impairment is associated with mitochondrial dysfunction in peripheral blood mononuclear cells of elderly population. Sci Rep. 2020;10:1–8.
Young RC, Biggs JT, Ziegler VE, Meyer DA. A rating scale for mania: reliability, validity and sensitivity. Br J Psychiatry. 1978;133:429–35.
Hamilton M. A rating scale for depression. J Neurol Neurosurg Psychiatry. 1960;23:56–62.
Hamilton M. The assessment of anxiety states by rating. Br J Med Psychol. 1959;32:50–55.
Al Kadhi O, Melchini A, Mithen R, Saha S. Development of a LC-MS/MS Method for the simultaneous detection of tricarboxylic acid cycle intermediates in a range of biological matrices. J Anal Methods Chem. 2017;2017:5391832.
Bujang MA, Sa’at N, Sidik TMITAB, Joo LC. Sample size guidelines for logistic regression from observational studies with large population: emphasis on the accuracy between statistics and parameters based on real life clinical data. Malays J Med Sci. 2018;25:122–30.
Eloranta S, Boman M. Predictive models for clinical decision making: deep dives in practical machine learning. J Intern Med. 2022;292:278–95.
Krstajic D, Buturovic LJ, Leahy DE, Thomas S. Cross-validation pitfalls when selecting and assessing regression and classification models. J Cheminform. 2014;6:10.
Bora E, Pantelis C. Meta-analysis of cognitive impairment in first-episode bipolar disorder: comparison with first-episode schizophrenia and healthy controls. Schizophr Bull. 2015;41:1095–104.
Li S, Lu X, Qiu Y, Teng Z, Zhao Z, Xu X, et al. Association between uric acid and cognitive dysfunction: a cross-sectional study with newly diagnosed, drug-naïve with bipolar disorder. J Affect Disord. 2023;327:159–66.
Li S, Xu X, Qiu Y, Teng Z, Liu J, Yuan H, et al. Alternations of vitamin D and cognitive function in first-diagnosed and drug-naïve BD patients: physical activity as a moderator. J Affect Disord. 2023;323:153–61.
Teng Z, Wang L, Li S, Tan Y, Qiu Y, Wu C, et al. Low BDNF levels in serum are associated with cognitive impairments in medication-naïve patients with current depressive episode in BD II and MDD. J Affect Disord. 2021;293:90–96.
Stork C, Renshaw PF. Mitochondrial dysfunction in bipolar disorder: evidence from magnetic resonance spectroscopy research. Mol Psychiatry. 2005;10:900–19.
Kato T, Kato N. Mitochondrial dysfunction in bipolar disorder. Bipolar Disord. 2000;2:180–90.
Cikankova T, Sigitova E, Zverova M, Fisar Z, Raboch J, Hroudova J. Mitochondrial dysfunctions in bipolar disorder: effect of the disease and pharmacotherapy. CNS Neurol Disord Drug Targets. 2017;16:176–86.
Magner M, Szentiványi K, Svandová I, Ješina P, Tesařová M, Honzík T, et al. Elevated CSF-lactate is a reliable marker of mitochondrial disorders in children even after brief seizures. Eur J Paediatr Neurol. 2011;15:101–08.
Campbell I, Campbell H. Mechanisms of insulin resistance, mitochondrial dysfunction and the action of the ketogenic diet in bipolar disorder. Focus on the PI3K/AKT/HIF1-a pathway. Med Hypotheses. 2020;145:110299.
Yoshimi N, Futamura T, Bergen SE, Iwayama Y, Ishima T, Sellgren C, et al. Cerebrospinal fluid metabolomics identifies a key role of isocitrate dehydrogenase in bipolar disorder: evidence in support of mitochondrial dysfunction hypothesis. Mol Psychiatry. 2016;21:1504–10.
Yoshimi N, Futamura T, Kakumoto K, Salehi AM, Sellgren CM, Holmén-Larsson J, et al. Blood metabolomics analysis identifies abnormalities in the citric acid cycle, urea cycle, and amino acid metabolism in bipolar disorder. BBA Clin. 2016;5:151–58.
R K, D M A, C N, S N W, C D. Oxidative imbalance and anxiety disorders. Curr Neuropharmacol. 2014;12:193–204.
Andreazza AC, Shao L, Wang JF, Young LT. Mitochondrial complex I activity and oxidative damage to mitochondrial proteins in the prefrontal cortex of patients with bipolar disorder. Arch Gen Psychiatry. 2010;67:360–8.
de Sousa RT, Zarate CA, Zanetti MV, Costa AC, Talib LL, Gattaz WF, et al. Oxidative stress in early stage bipolar disorder and the association with response to lithium. J Psychiatr Res. 2014;50:36–41.
Valvassori SS, Bavaresco DV, Feier G, Cechinel-Recco K, Steckert AV, Varela RB, et al. Increased oxidative stress in the mitochondria isolated from lymphocytes of bipolar disorder patients during depressive episodes. Psychiatry Res. 2018;264:192–201.
Morava E, Kozicz T. Mitochondria and the economy of stress (mal)adaptation. Neurosci Biobehav Rev. 2013;37:668–80.
Picard M, McManus MJ, Gray JD, Nasca C, Moffat C, Kopinski PK, et al. Mitochondrial functions modulate neuroendocrine, metabolic, inflammatory, and transcriptional responses to acute psychological stress. Proc Natl Acad Sci USA. 2015;112:E6614–23.
Du J, Wang Y, Hunter R, Wei Y, Blumenthal R, Falke C, et al. Dynamic regulation of mitochondrial function by glucocorticoids. Proc Natl Acad Sci USA. 2009;106:3543–48.
Hunter RG, Seligsohn M, Rubin TG, Griffiths BB, Ozdemir Y, Pfaff DW, et al. Stress and corticosteroids regulate rat hippocampal mitochondrial DNA gene expression via the glucocorticoid receptor. Proc Natl Acad Sci USA. 2016;113:9099–104.
Melton TH, Croarkin PE, Strawn JR, McClintock SM. Comorbid anxiety and depressive symptoms in children and adolescents: a systematic review and analysis. J Psychiatr Pract. 2016;22:84–98.
Khacho M, Harris R, Slack RS. Mitochondria as central regulators of neural stem cell fate and cognitive function. Nat Rev Neurosci. 2019;20:34–48.
Attwell D, Laughlin SB. An energy budget for signaling in the grey matter of the brain. J Cereb Blood Flow Metab. 2001;21:1133–45.
Yin F, Sancheti H, Patil I, Cadenas E. Energy metabolism and inflammation in brain aging and Alzheimer’s disease. Free Radic Biol Med. 2016;100:108–22.
Trigo D, Avelar C, Fernandes M, Sá J, da Cruz E Silva O. Mitochondria, energy, and metabolism in neuronal health and disease. FEBS Lett. 2022;596:1095–110.
Morella IM, Brambilla R, Morè L. Emerging roles of brain metabolism in cognitive impairment and neuropsychiatric disorders. Neurosci Biobehav Rev. 2022;142:104892.
Gong Y, Chai Y, Ding J-H, Sun X-L, Hu G. Chronic mild stress damages mitochondrial ultrastructure and function in mouse brain. Neurosci Lett. 2011;488:76–80.
Wang X, Liu Q, Yu HT, Xie JZ, Zhao JN, Fang ZT, et al. A positive feedback inhibition of isocitrate dehydrogenase 3β on paired-box gene 6 promotes Alzheimer-like pathology. Signal Transduct Target Ther. 2024;9:105.
Jaramillo-Jimenez A, Giil LM, Borda MG, Tovar-Rios DA, Kristiansen KA, Bruheim P, et al. Serum TCA cycle metabolites in Lewy bodies dementia and Alzheimer’s disease: network analysis and cognitive prognosis. Mitochondrion. 2023;71:17–25.
Wilkins HM, Harris JL, Carl SM, E L, Lu J, Eva Selfridge J, et al. Oxaloacetate activates brain mitochondrial biogenesis, enhances the insulin pathway, reduces inflammation and stimulates neurogenesis. Hum Mol Genet. 2014;23:6528–41.
Zhang Y, Zhang M, Zhu W, Yu J, Wang Q, Zhang J, et al. Succinate accumulation induces mitochondrial reactive oxygen species generation and promotes status epilepticus in the kainic acid rat model. Redox Biol. 2020;28:101365.
Mills E, O’Neill LAJ. Succinate: a metabolic signal in inflammation. Trends Cell Biol. 2014;24:313–20.
Goldstein BI, Kemp DE, Soczynska JK, McIntyre RS. Inflammation and the phenomenology, pathophysiology, comorbidity, and treatment of bipolar disorder: a systematic review of the literature. J Clin Psychiatry. 2009;70:1078–90.
Meijer AJ, van Dam K. The metabolic significance of anion transport in mitochondria. Biochim Biophys Acta. 1974;346:213–44.
Cheeseman AJ, Clark JB. Influence of the malate-aspartate shuttle on oxidative metabolism in synaptosomes. J Neurochem. 1988;50:1559–65.
Shank RP, Campbell GL. Alpha-ketoglutarate and malate uptake and metabolism by synaptosomes: further evidence for an astrocyte-to-neuron metabolic shuttle. J Neurochem. 1984;42:1153–61.
Westergaard N, Sonnewald U, Schousboe A. Release of alpha-ketoglutarate, malate and succinate from cultured astrocytes: possible role in amino acid neurotransmitter homeostasis. Neurosci Lett. 1994;176:105–09.
Gigante AD, Bond DJ, Lafer B, Lam RW, Young LT, Yatham LN. Brain glutamate levels measured by magnetic resonance spectroscopy in patients with bipolar disorder: a meta-analysis. Bipolar Disord. 2012;14:478–87.
Schöll M, Vrillon A, Ikeuchi T, Quevenco FC, Iaccarino L, Vasileva-Metodiev SZ, et al. Cutting through the noise: a narrative review of Alzheimer’s disease plasma biomarkers for routine clinical use. J Prev Alzheimers Dis. 2025;12:100056.
Teixeira AL, Colpo GD, Fries GR, Bauer IE, Selvaraj S. Biomarkers for bipolar disorder: current status and challenges ahead. Expert Rev Neurother. 2019;19:67–81.
Schwartz SS, Herman ME, Tun MTH, Barone E, Butterfield DA. The double life of glucose metabolism: brain health, glycemic homeostasis, and your patients with type 2 diabetes. BMC Med. 2024;22:582.
Jeong H, Dimick MK, Sultan A, Duong A, Park SS, El Soufi El Sabbagh D, et al. Peripheral biomarkers of mitochondrial dysfunction in adolescents with bipolar disorder. J Psychiatr Res. 2020;123:187–93.
Shurubor YI, Krasnikov AB, Isakova EP, Deryabina YI, Yudin VS, Keskinov AA, et al. Energy metabolites and indicative significance of α-Ketoglutarate and α-Ketoglutaramate in assessing the progression of chronic hepatoencephalopathy. Biomolecules. 2024;14:217.
Mao H, Huang H, Zhou R, Zhu J, Yan J, Jiang H, et al. High preoperative blood oxaloacetate and 2-aminoadipic acid levels are associated with postoperative delayed neurocognitive recovery. Front Endocrinol. 2023;14:1212815.
Hileman CO, Kalayjian RC, Azzam S, Schlatzer D, Wu K, Tassiopoulos K, et al. Plasma citrate and succinate are associated with neurocognitive impairment in older people with HIV. Clin Infect Dis. 2021;73:e765–e772.
Yi L, Shi S, Wang Y, Huang W, Xia Z-A, Xing Z, et al. Serum metabolic profiling reveals altered metabolic pathways in patients with post-traumatic cognitive impairments. Sci Rep. 2016;6:21320.
Liu M, Zhou K, Li H, Dong X, Tan G, Chai Y, et al. Potential of serum metabolites for diagnosing post-stroke cognitive impairment. Mol Biosyst. 2015;11:3287–96.
Mondal R, Deb S, Chowdhury D, Sarkar S, Guha Roy A, Shome G, et al. Neurometabolic substrate transport across brain barriers in diabetes mellitus: implications for cognitive function and neurovascular health. Neurosci Lett. 2024;843:138028.
Gornushenkov ID, Kulikova VS, Pluzhnikov IV, Barkhatova AN, Alekhseeva AG. [Features of cognitive impairment in bipolar affective disorder]. Zh Nevrol Psikhiatr Im S S Korsakova. 2024;124:15–19.
Samamé C, Cattaneo BL, Richaud MC, Strejilevich S, Aprahamian I. The long-term course of cognition in bipolar disorder: a systematic review and meta-analysis of patient-control differences in test-score changes. Psychol Med. 2022;52:217–28.
Martínez-Arán A, Vieta E, Reinares M, Colom F, Torrent C, Sánchez-Moreno J, et al. Cognitive function across manic or hypomanic, depressed, and euthymic states in bipolar disorder. Am J Psychiatry. 2004;161:262–70.
Kim DJ, Lyoo IK, Yoon SJ, Choi T, Lee B, Kim JE, et al. Clinical response of quetiapine in rapid cycling manic bipolar patients and lactate level changes in proton magnetic resonance spectroscopy. Prog Neuropsychopharmacol Biol Psychiatry. 2007;31:1182–88.
Xu J, Dydak U, Harezlak J, Nixon J, Dzemidzic M, Gunn AD, et al. Neurochemical abnormalities in unmedicated bipolar depression and mania: a 2D 1H MRS investigation. Psychiatry Res. 2013;213:235–41.
Brady RO, Cooper A, Jensen JE, Tandon N, Cohen B, Renshaw P, et al. A longitudinal pilot proton MRS investigation of the manic and euthymic states of bipolar disorder. Transl Psychiatry. 2012;2:e160.
Acknowledgements
We extend our gratitude to all participants for their voluntary involvement in this study. We also acknowledge the financial support provided by the National Natural Science Foundation and the provision of research facilities and essential experimental equipment by the Second Xiangya Hospital of Central South University.
Funding
This work was supported in part by the grants from New Clinical Medical Technology Project of the Second Xiangya Hospital of Central South University ([2021]94), the National Natural Science Foundation of China (82471529;82271571), Natural Science Foundation of Hunan (2024JJ9109), Hunan Province High-level Health Talents "225" Project, Hunan Provincial Innovation Foundation for Postgraduate [No. CX20230289], the Fundamental Research Funds for the Central Universities of Central South University [No.2023ZZTS0213].
Author information
Authors and Affiliations
Contributions
Ting Cao: Data analysis, Writing original draft. BaoYan Xu: Data curation, Formal analysis. SuJuan Li: Data curation. Yan Qiu: Data curation. JinDong Chen: Conceptualization. HaiShan Wu: Conceptualization, Supervision. HuaLin Cai: Supervision, Review & Editing.
Corresponding authors
Ethics declarations
Ethics approval and consent to participate
All participants volunteered and received a data protection declaration in agreement with the Helsinki Declaration. They gave both, written and verbal, informed consent. The study and procedure, including the consent procedure, were approved by the Medical Ethics Committee of the Second Xiangya Hospital, Central South University (Ethics_No.2018-067) and was registered in Chinese Clinical Trial Registry (ChiCTR1900021379). Furthermore, the study adhered to the guidelines of the Helsinki Convention for research practice.
Competing interests
The authors declare no competing interests.
Additional information
Publisher’s note Springer Nature remains neutral with regard to jurisdictional claims in published maps and institutional affiliations.
Supplementary information
Rights and permissions
Open Access This article is licensed under a Creative Commons Attribution-NonCommercial-NoDerivatives 4.0 International License, which permits any non-commercial use, sharing, distribution and reproduction in any medium or format, as long as you give appropriate credit to the original author(s) and the source, provide a link to the Creative Commons licence, and indicate if you modified the licensed material. You do not have permission under this licence to share adapted material derived from this article or parts of it. The images or other third party material in this article are included in the article’s Creative Commons licence, unless indicated otherwise in a credit line to the material. If material is not included in the article’s Creative Commons licence and your intended use is not permitted by statutory regulation or exceeds the permitted use, you will need to obtain permission directly from the copyright holder. To view a copy of this licence, visit http://creativecommons.org/licenses/by-nc-nd/4.0/.
About this article
Cite this article
Cao, T., Xu, B., Li, S. et al. Bioenergetic biomarkers as predictive indicators and their relationship with cognitive function in newly diagnosed, drug-naïve patients with bipolar disorder. Transl Psychiatry 15, 148 (2025). https://doi.org/10.1038/s41398-025-03367-7
Received:
Revised:
Accepted:
Published:
Version of record:
DOI: https://doi.org/10.1038/s41398-025-03367-7





