Letter to the Editor
Lenalidomide is an immunomodulatory drug that is recommended and widely used as part of induction therapy and maintenance for multiple myeloma (MM) [1]. Lenalidomide maintenance is associated with significantly improved progression-free and overall survival, as shown in several clinical trials and meta-analyses [2,3,4,5,6,7]. Most patients tolerate lenalidomide well; however, fatigue and diarrhea are common side effects in the maintenance phase [3, 7, 8]. Diarrhea can have a significant impact on patients’ quality of life and lead to discontinuation of treatment, as standard anti-diarrheal medications tend to have a limited effect. In a case series of 12 patients, bile acid malabsorption was reported in lenalidomide-associated diarrhea [9], and consequently, bile acid binders have been suggested as treatment.
To evaluate the safety and efficacy of bile acid binders in MM patients in a systematic way, we conducted an investigator-initiated trial of colesevelam for patients with lenalidomide-associated diarrhea. An important aspect of the trial was to assess the lenalidomide pharmacokinetics (PK) as well as patient reported outcomes (PROs). Colesevelam binds to bile acid in the gut [10] and is assumed to have no effect on lenalidomide PK however this interaction has not been studied.
This was a phase 2 single arm open-label trial of colesevelam in 25 patients with lenalidomide-associated diarrhea (ClinicalTrials.gov NCT03767257). It was a Simon 2-stage trial conducted at Memorial Sloan Kettering Cancer Center (MSK), New York, between December 2018 and July 2022. The study was approved by the MSK Institutional Review Board (IRB#18-421), and all participants signed informed consent prior to study procedures. The study was conducted in accordance with the Declaration of Helsinki and all methods were performed in accordance with the relevant guidelines and regulations.
Patients with MM who were 18 years or older and on treatment with single agent lenalidomide maintenance with grade 1 or more diarrhea per the Common Terminology Criteria for Adverse Events (CTCAE) v5.0 criteria for at least 4 out of 7 days preceding screening and study inclusion were eligible. Infectious diarrhea was an exclusion criterion and was ruled out (virus, bacteria, parasite, and ova) in all patients before enrolling on the trial.
Patients were treated with colesevelam daily starting at 1250 mg (2 tablets 625 mg) for a total of 12 weeks. The dose of colesevelam could be increased up to a maximum of 6 tablets (3750 mg) per day to control the diarrhea. Dose reductions were based on treatment response and adverse events. Patients were instructed to take colesevelam in the morning and lenalidomide in the evening (at least 4 hours apart). Patient symptoms and CTCAE diarrhea grading were recorded via clinical trial nurse visits and/or telephone calls at baseline and 1, 2, 4, and 12 weeks after starting colesevelam.
Pharmacokinetic (PK) evaluation of lenalidomide was performed before and after colesevelam administration on day 1 and 8 after starting colesevelam in a subset of 15 patients. Blood samples for lenalidomide PK were collected prior to and 2 h after administration of colesevelam. The timing of the lenalidomide dose intake the evening before was recorded. Patients started colesevelam during the lenalidomide cycle (not the off week) and were assumed to be in a steady state in regards to lenalidomide PK concentration. Lenalidomide has a rapid absorption and follows linear pharmacokinetics with predominantly renal excretion [11,12,13]. Lenalidomide plasma concentrations were measured using a validated high-performance liquid chromatography (HPLC) with tandem mass spectrometric detection (LC-MS/MS) assay, with sensitivity of 5 ng/mL. Patients’ age, renal function, serum creatinine and eGFR per CKD-EPI, as well as weight was recorded and included in the PK model [12].
Patient Reported Outcome CTCAE (PRO-CTCAE) questionnaires were used to record gastrointestinal symptoms and quality of life [14]. The PRO-CTCAE questions included patient assessment of diarrhea, abdominal pain, constipation appetite, nausea, acid reflux, flatulence, and loss of control of bowel movements, as well as their effect on the patients’ daily life. The PRO-CTCAE questionnaires were performed at baseline, week 1, 2, 4, and 12 (end of trial).
Twenty-five patients were enrolled and treated on the trial; 15 women, 10 men, and median age at inclusion was 60 years (Supplementary Table S1). All patients were on maintenance treatment for MM with single agent lenalidomide. Nineteen patients were treated with lenalidomide 10 mg, two patients with 15 mg, two patients with 5 mg, and two patients with 10 mg every other day. The latter four patients had prior lenalidomide dose reductions due to fatigue and diarrhea. Twenty-three patients were in first remission while two patients had received more than one line of therapy prior to starting lenalidomide maintenance. The majority of patients had received induction therapy with a three-drug regimen including a proteasome inhibitor (carfilzomib or bortezomib), lenalidomide, and dexamethasone or a four-drug regimen including daratumumab. Fourteen patients had undergone high dose melphalan with autologous stem cell transplant prior to starting lenalidomide maintenance. At the start of the trial, 18 patients were in a complete remission, 5 patients had a very good partial response, and 2 patients had a partial response in regards to the MM therapy. All patients maintained their response to MM therapy throughout the trial.
At baseline, 1 patient had grade 3 diarrhea, 14 had grade 2, and 10 had grade 1 diarrhea, respectively (Supplementary Table S1). Of the first 16 patients treated in the first stage of the Simon stage 2 design, 15 met the response criteria and the trial opened to the second stage with the remaining 9 patients.
Colesevelam was a highly effective for treatment of lenalidomide-associated diarrhea, twenty-two patients (88%) responded to treatment with colesevelam with improvement of diarrhea by at least 1 grade per the CTCAE scale. Seventeen patients (68%) had complete resolution of the diarrhea and 5 patients (20%) had improvement by 1 CTCAE grade (Fig. 1A). Three patients (12%) patients did not respond to colesevelam treatment; 2 had ongoing grade 2 diarrhea and 1 had ongoing grade 1 diarrhea.
Response to colesevelam therapy by patient and number of weeks of treatment (A). Dose normalized lenalidomide pharmacokinetics before and after starting colesevelam (B).
Diarrhea associated with lenalidomide is common and can significantly impact the patients’ daily activities and quality of life. It can eventually lead to discontinuation of lenalidomide as and standard anti-diarrheal options, such as loperamide, and dose reduction of lenalidomide tend to have limited effects [9]. So far, the benefits of colesevelam for lenalidomide-associated diarrhea have been reported in one prospective study of 10 patients as well as an abstract from a retrospective study [9, 15]. Nevertheless, colesevelam and other bile acid binders have been used off label to treat lenalidomide-associated diarrhea. In our study of patients with grade 1 or more lenalidomide-associated diarrhea, we found a clear benefit and improvement in patients’ symptoms after starting colesevelam.
Adverse events from colesevelam included constipation in 3 patients, flatulence in 1 patient, and acid reflux in 1 patient. Thirteen patients continued the starting dose of 1250 mg colesevelam daily. Five patients (20%) had a dose reduction to 625 mg colesevelam daily due to adverse events, which resolved after the dose adjustment. Three patients (12%) required a dose increase to 1875–2500 mg (3–4 pills) per day for control of the diarrhea. Two patients contracted Sars-CoV-2 and one patient had reactivation of shingles during the trial (Supplementary Table S2). The infections were assessed as related to MM and/or lenalidomide treatment rather than colesevelam.
There was no significant difference in lenalidomide PK before and after starting colesevelam on day 1 and 8 confirming that the lenalidomide concentration was not affected by colesevelam (Fig. 1B). The dose-normalized lenalidomide concentration for pre- and post-C1D1 were 1.23 ng/mL and 0.84 ng/mL, while the pre- and post-C1D8 were 1.58 ng/mL and 1.29 ng/mL, respectively. The range was 0.5–5 ng/mL, which is similar to PK measurement in early lenalidomide PK studies in healthy controls [12, 13]. This is a novel finding and provides important clinical information on the safety of lenalidomide in combination with colesevelam.
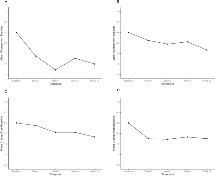
Patients reported overall improvements in gastrointestinal symptoms and less impact on their daily life after starting colesevelam. In the PRO-CTCAE questionnaires, patients reported fewer watery stools, better control of their bowel movements, improvements in abdominal pain, heartburn, bloating, and better appetite over the course of the study (Fig. 2, Supplementary Figure S1). Five patients reported adverse events with an increase in constipation, flatulence, heartburn, or nausea after starting colesevelam. Nevertheless, patients graded the effect of the gastrointestinal symptoms on their daily life and activities as less severe after starting colesevelam.
A In the last 7 days, how often did you have loose or watery stools? B In the last 7 days, how often did you lose control of bowel movements? C In the last 7 days, how often did you have pain in the abdomen? D In the last 7 days, how much pain in the abdomen interfere with your usual or daily activities?
Strengths of this study include the systematic assessment of colesevelam for treating lenalidomide-associated diarrhea, including several aspects such as outcome, PK data, and, importantly, patient reported outcomes. The study was conducted during the COVID-19 pandemic; due to this, some PRO-CTCAE questionnaires were not collected as part of the remote study visits. The PK substudy was a priori planned for 15 patients and included all planned subjects.
In summary, colesevelam was highly effective for the treatment of lenalidomide-associated diarrhea. The high response rate, 88%, to colesevelam in this and the previous study by Pawlyn et al support bile acid malabsorption as the underlying mechanism for lenalidomide-associated diarrhea. Importantly, the lenalidomide PK was not altered by colesevelam treatment. Lenalidomide maintenance prolongs progression-free survival, and properly managing diarrhea with colesevelam allows patients to stay on lenalidomide while maintaining the clinical benefit of lenalidomide.
Data availability
Data is not publicly available, please contact the corresponding author for questions.
References
Callander NS, Baljevic M, Adekola K, Anderson LD, Campagnaro E, Castillo JJ, et al. NCCN Guidelines(R) Insights: Multiple Myeloma, Version 3.2022. J Natl Compr Canc Netw. 2022;20:8–19.
Attal M, Lauwers-Cances V, Hulin C, Leleu X, Caillot D, Escoffre M, et al. Lenalidomide, bortezomib, and dexamethasone with transplantation for myeloma. N. Engl J Med. 2017;376:1311–20.
McCarthy PL, Holstein SA, Petrucci MT, Richardson PG, Hulin C, Tosi P, et al. Lenalidomide maintenance after autologous stem-cell transplantation in newly diagnosed multiple myeloma: a meta-analysis. J Clin Oncol. 2017;35:3279–89.
McCarthy PL, Owzar K, Hofmeister CC, Hurd DD, Hassoun H, Richardson PG, et al. Lenalidomide after stem-cell transplantation for multiple myeloma. N Engl J Med. 2012;366:1770–81.
Richardson PG, Jacobus SJ, Weller EA, Hassoun H, Lonial S, Raje NS. et al. Triplet therapy, transplantation, and maintenance until progression in myeloma. N Engl J Med.2022;387:132–47.
Gay F, Jackson G, Rosinol L, Holstein SA, Moreau P, Spada S, et al. Maintenance treatment and Survival in Patients With Myeloma: A Systematic Review and Network Meta-analysis. JAMA Oncol. 2018;4:1389–97.
Palumbo A, Cavallo F, Gay F, Di Raimondo F, Ben Yehuda D, Petrucci MT, et al. Autologous transplantation and maintenance therapy in multiple myeloma. N. Engl J Med. 2014;371:895–905.
Attal M, Lauwers-Cances V, Marit G, Caillot D, Moreau P, Facon T, et al. Lenalidomide maintenance after stem-cell transplantation for multiple myeloma. N. Engl J Med. 2012;366:1782–91.
Pawlyn C, Khan MS, Muls A, Sriskandarajah P, Kaiser MF, Davies FE, et al. Lenalidomide-induced diarrhea in patients with myeloma is caused by bile acid malabsorption that responds to treatment. Blood. 2014;124:2467–8.
Melian EB, Plosker GL. Colesevelam. Am J Cardiovasc Drugs. 2001;1:141–6.
Chen N, Zhou S, Palmisano M. Clinical pharmacokinetics and pharmacodynamics of lenalidomide. Clin Pharmacokinet. 2017;56:139–52.
Connarn JN, Hwang R, Gao Y, Palmisano M, Chen N. Population pharmacokinetics of lenalidomide in healthy volunteers and patients with hematologic malignancies. Clin Pharm Drug Dev. 2018;7:465–73.
Hughes JH, Phelps MA, Upton RN, Reuter SE, Gao Y, Byrd JC, et al. Population pharmacokinetics of lenalidomide in patients with B-cell malignancies. Br J Clin Pharm. 2019;85:924–34.
Kluetz PG, Chingos DT, Basch EM, Mitchell SA. Patient-reported outcomes in cancer clinical trials: measuring symptomatic adverse events with the National Cancer Institute’s Patient-Reported Outcomes Version of the Common Terminology Criteria for Adverse Events (PRO-CTCAE). Am Soc Clin Oncol Educ Book. 2016;36:67–73.
Watson M, Nooka AK, Gleason C, Valla K, Kaufman JL, Lonial S. Colesevelam hydrochloride for the treatment of lenalidomide induced diarrhea. Blood. 2014;124:5779.
Acknowledgements
This work was supported by the Memorial Sloan Kettering Core Grant (P30 CA008748). We also thank Daiichi Sankyo and Cosette Pharmaceuticals for support of this investigator-initiated trial.
Author information
Authors and Affiliations
Contributions
MH, OL, and AML designed the study, MH, AD, DN, CJP, OL, and AML analyzed and interpreted the data, and MH wrote the paper. All authors (MH, HH, NK, KM, SM, DP, UAS, SRT, DJC, OBL, HJL, MS, GLS, SAG, MJP, MB, KB, MS, JC, LT, JB, TS, SH, DN, AD, OA, CJP, WDF, SZU, OL, and AML) provided critical input on the results and gave final approval of the manuscript.
Corresponding author
Ethics declarations
Competing interests
MH reports research funding from Daiichi Sankyo, Cosette Pharmaceuticals, GlaxoSmithKline, Abbvie, Beigene, The Binding Site; consulting fees from Curio Science LLC, Projects in Knowledge, Intellisphere LLC, and participated in scientific advisory boards for Bristol Myers Squibb, Janssen, and GlaxoSmithKline. HH reports grants from Takeda, and Janssen; NK reports research funding from Amgen, Janssen, Epizyme, Abbvie; and participates in advisory board for Janssen and speaking fees from Dava oncology; KM reports grant support from ASH, MMRF, and IMS; SM received consulting fees from Evicore, Optum, BioAscend, Janssen Oncology, Bristol Myers Squibb, AbbVie, ECor1, Galapagos, and Legend Biotech. Memorial Sloan Kettering Cancer Center receives research funding from the NCI, Janssen Oncology, Bristol Myers Squibb, Allogene Therapeutics, Fate Therapeutics, Caribou Therapeutics,and Takeda Oncology for research led by Sham Mailankody. Sham Mailankody received honoraria from OncLive, Physician Education Resource, MJH Life Sciences, and Plexus Communications, and is supported by the LLS Scholar in Clinical Research grant; UAS has received research funding from Janssen, Bristol Myers Squibb, Sabinsa and M and M Labs to the institution. She has consulted for Janssen, Bristol Myers Squibb, Sanofi and received honoraria from i3Health; CRT reports researching funding from Janssen and Takeda. Consultancy fees from Janssen and Sanofi; DJC receives research funding from Genentech; HJL reports research funding from Alexion Pharmaceuticals, Janssen Scientific Affairs LLC, Prothena, Protego, Nexcella and has advisory roles for Nexcella, Abbvie, Prothena; OBL reports research funding from Kite, received consulting fees from Incyte and Sanofi, and serving on advisory boards for MorphoSys Inc., Kite, Daiichi Sankyo Inc., Sanofi, Incyte; MS served as a paid consultant for McKinsey & Company, Angiocrine Bioscience, Inc., and Omeros Corporation; received research funding from Angiocrine Bioscience, Inc., Omeros Corporation, Amgen Inc., Bristol Myers Squibb, and Sanofi; served on ad hoc advisory boards for Kite – A Gilead Company, and Miltenyi Biotec; and received honoraria from i3Health, Medscape, CancerNetwork for CME-related activity and honoraria from IDEOlogy; GLS reports research funding from Janssen, Amgen, BMS, Beyond Spring, and GPCR, and serves on the Data Safety Monitoring Board for ArcellX; SAG reports personal fees and advisory role (scientific advisory board) from Actinium, Celgene, Bristol Myers Squibb, Sanofi, Amgen, Pfizer, GlaxoSmithKline, JAZZ, Janssen, Omeros, Takeda, and Kite; MP reports research funding from Celgene/Bristol Myers Squibb, Abbvie, AstraZeneca, Nektar, Sanofi, Pfizer, Regeneron, and received honoraria/Consultancy from Janssen, Sanofi, Oncopeptides, Karyopharm, GSK, Pfizer; TS reports honoraria from Roche-Genentech; SZU reports grants and personal fees from AbbVie, Amgen, BMS, Celgene, GSK, Janssen, Merck, MundiPharma, Oncopeptides, Pharmacyclics, Sanofi, Seattle Genetics, SkylineDX, and Takeda; OL acknowledges funding from: NCI/NIH, FDA, LLS, Rising Tide Foundation, MMRF, IMF, Paula and Rodger Riney Foundation, Perelman Family Foundation, Amgen, Celgene, Janssen, Takeda, Glenmark, Seattle Genetics, Karyopharm; has received honoraria for scientific talks/participated in advisory boards for Adaptive, Amgen, Binding Site, BMS, Celgene, Cellectis, Glenmark, Janssen, Juno, Pfizer; and served on Independent Data Monitoring Committees (IDMC) for international randomized trials by: Takeda, Merck, Janssen, Theradex; AML reports grants from Bristol Myers Squibb; personal fees, grants and non-financial support from Pfizer; personal fees from Janssen and Arcellx. AML also has a patent US20150037346A1 with royalties paid; the remaining authors have no competing interest to disclose.
Additional information
Publisher’s note Springer Nature remains neutral with regard to jurisdictional claims in published maps and institutional affiliations.
Rights and permissions
Open Access This article is licensed under a Creative Commons Attribution-NonCommercial-NoDerivatives 4.0 International License, which permits any non-commercial use, sharing, distribution and reproduction in any medium or format, as long as you give appropriate credit to the original author(s) and the source, provide a link to the Creative Commons licence, and indicate if you modified the licensed material. You do not have permission under this licence to share adapted material derived from this article or parts of it. The images or other third party material in this article are included in the article’s Creative Commons licence, unless indicated otherwise in a credit line to the material. If material is not included in the article’s Creative Commons licence and your intended use is not permitted by statutory regulation or exceeds the permitted use, you will need to obtain permission directly from the copyright holder. To view a copy of this licence, visit http://creativecommons.org/licenses/by-nc-nd/4.0/.
About this article
Cite this article
Hultcrantz, M., Hassoun, H., Korde, N. et al. Colesevelam for lenalidomide associated diarrhea in patients with multiple myeloma. Blood Cancer J. 14, 164 (2024). https://doi.org/10.1038/s41408-024-01136-1
Received:
Revised:
Accepted:
Published:
Version of record:
DOI: https://doi.org/10.1038/s41408-024-01136-1

