Abstract
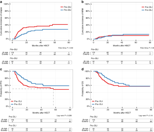
Donor lymphocyte infusion (DLI) after allogeneic hematopoietic stem cell transplantation (allo-HSCT) has been widely used in preventing post-transplant relapse. We conducted this study to compare the superiority of prophylactic modified DLI (pro-DLI) and preemptive modified DLI (pre-DLI) in patients with high-risk relapse features acute leukemia. Pro-DLI was performed in 95 patients, whereas the pre-DLI cohort included 176 patients. In the pre-DLI cohort, 42 patients relapsed without chance for pre-DLI while 95 patients remained CR without detectable minimal residual disease (MRD). Thirty-nine patients in the pre-DLI cohort became minimal MRD positive/mixed chimerism and received pre-DLI. Pro-DLI cohort had higher 3-year progression-free-survival (PFS) (63.4%vs.53.0%, P = 0.026) and overall survival (OS) (65.2% vs. 57.0%, P = 0.14) compared to the pre-DLI cohort. The 3-year cumulative incidence of relapse (CIR) was 25.3% in the pro-DLI cohort which was significantly lower than 36.7% in the pre-DLI cohort (P = 0.02). The cumulative incidence of grade III-IV aGVHD, cGVHD and non-relapse mortality were comparable between cohorts. Multivariable analysis demonstrated strong protective effect of pro-DLI on OS (hazard ratio (HR) = 0.63, P = 0.04), PFS (HR = 0.54, P = 0.005) and CIR (HR = 0.50, P = 0.005). In high-risk patients with acute leukemia, early scheduled pro-DLI rather than pre-DLI after detectable MRD would reduce post-transplant relapse and improve long-term survival.
This is a preview of subscription content, access via your institution
Access options
Subscribe to this journal
Receive 12 print issues and online access
$259.00 per year
only $21.58 per issue
Buy this article
- Purchase on SpringerLink
- Instant access to the full article PDF.
USD 39.95
Prices may be subject to local taxes which are calculated during checkout



Similar content being viewed by others
References
Horowitz M, Schreiber H, Elder A, Heidenreich O, Vormoor J, Toffalori C, et al. Epidemiology and biology of relapse after stem cell transplantation. Bone Marrow Transpl. 2018;53:1379–89. https://doi.org/10.1038/s41409-018-0171-z.
Lazaryan A, Dolan M, Zhang M-J, Wang H-L, Kharfan-Dabaja MA, Marks DI et al. Impact of cytogenetic abnormalities on outcomes of adult Philadelphia- negative acute lymphoblastic leukemia after allogeneic hematopoietic s tem cell transplantation: a study by the Acute Leukemia Working Commit tee of the Center for International Blood and Marrow Transplant Resear ch. Haematologica; 105: 1329-38 https://doi.org/10.3324/haematol.2019.220756.
Yan CH, Liu DH, Liu KY, Xu LP, Liu YR, Chen H, et al. Risk stratification-directed donor lymphocyte infusion could reduce relapse of standard-risk acute leukemia patients after allogeneic hematopoietic stem cell transplantation. Blood. 2012;119:3256–62. https://doi.org/10.1182/blood-2011-09-380386.
Dholaria B, Savani BN, Labopin M, Luznik L, Ruggeri A, Mielke S, et al. Clinical applications of donor lymphocyte infusion from an HLA-haploidentical donor: consensus recommendations from the Acute Leukemia Working Party of the EBMT. Haematologica. 2020;105:47–58. https://doi.org/10.3324/haematol.2019.219790.
Yuan XL, Tan YM, Shi JM, Zhao YM, Yu J, Lai XY, et al. Preemptive low-dose interleukin-2 or DLI for late-onset minimal residual disease in acute leukemia or myelodysplastic syndrome after allogeneic hematopoietic stem cell transplantation. Ann Hematol. 2021;100:517–27. https://doi.org/10.1007/s00277-020-04326-6.
Schmid C, Kuball J, Bug G. Defining the role of donor lymphocyte infusion in high-risk hematologic malignancies. J Clin Oncol : Off J Am Soc Clin Oncol. 2021;39:397–418. https://doi.org/10.1200/JCO.20.01719.
Miyamoto T, Fukuda T, Nakashima M, Henzan T, Kusakabe S, Kobayashi N, et al. Donor lymphocyte infusion for relapsed hematological malignancies after unrelated allogeneic bone marrow transplantation facilitated by the Japan Marrow Donor Program. Biol Blood Marrow Transpl. 2017;23:938–44. https://doi.org/10.1016/j.bbmt.2017.02.012.
Rashidi A, Huselton EJ, Stefanski HE, DeFor TE, Shanley R, Choi J, et al. A multicenter Phase 2 clinical trial of 10-Day Decitabine, dose-escalated donor lymphocyte infusion, and ruxolitinib for relapsed acute myeloid leukemia and myelodysplastic syndromes after allogeneic hematopoietic cell transplantation. Transpl Cell Ther. 2023;29:328.e321–e326. https://doi.org/10.1016/j.jtct.2023.02.010. e-pub ahead of print 2023/02/23.
Mo XD, Zhang XH, Xu LP, Wang Y, Yan CH, Chen H, et al. Comparison of outcomes after donor lymphocyte infusion with or without prior chemotherapy for minimal residual disease in acute leukemia/myelodysplastic syndrome after allogeneic hematopoietic stem cell transplantation. Ann Hematol. 2017;96:829–38. https://doi.org/10.1007/s00277-017-2960-7.
Sheth V, Potter V, de Lavallade H, Gandhi S, Kulasekararaj A, Krishnamurthy P, et al. Mixed T cell lineage chimerism in acute leukemia/MDS using pre-emptive donor lymphocyte infusion strategy-Is it prognostic?-a single-center retrospective study. Blood Cancer J. 2021;11:128 https://doi.org/10.1038/s41408-021-00519-y.
Schmid C, Labopin M, Schaap N, Veelken H, Brecht A, Stadler M, et al. Long-term results and GvHD after prophylactic and preemptive donor lymphocyte infusion after allogeneic stem cell transplantation for acute leukemia. Bone Marrow Transpl. 2022;57:215–23. https://doi.org/10.1038/s41409-021-01515-3.
Wang Y, Liu DH, Fan ZP, Sun J, Wu XJ, Ma X, et al. Prevention of relapse using DLI can increase survival following HLA-identical transplantation in patients with advanced-stage acute leukemia: a multi-center study. Clin Transplant. 2012;26:635–43. https://doi.org/10.1111/j.1399-0012.2012.01626.x.
Jaiswal SR, Zaman S, Chakrabarti A, Sen S, Mukherjee S, Bhargava S, et al. Improved outcome of refractory/relapsed acute myeloid leukemia after post-transplantation Cyclophosphamide-based Haploidentical transplantation with myeloablative conditioning and early prophylactic granulocyte colony-stimulating factor-mobilized donor lymphocyte infusions. Biol Blood Marrow Transplant : J Am Soc Blood Marrow Transplant. 2016;22:1867–73. https://doi.org/10.1016/j.bbmt.2016.07.016.
Cauchois R, Castagna L, Pagliardini T, Harbi S, Calmels B, Bramanti S, et al. Prophylactic donor lymphocyte infusions after haploidentical haematopoietic stem cell transplantation for high risk haematological malignancies: a retrospective bicentric analysis of serial infusions of increasing doses of CD3(+) cells. Br J Haematol. 2019;185:570–73. https://doi.org/10.1111/bjh.15544.
Schmid C, Labopin M, Schaap N, Veelken H, Schleuning M, Stadler M, et al. Prophylactic donor lymphocyte infusion after allogeneic stem cell transplantation in acute leukaemia - a matched pair analysis by the Acute Leukaemia Working Party of EBMT. Br J Haematol. 2019;184:782–87. https://doi.org/10.1111/bjh.15691.
Yan CH, Liu QF, Wu DP, Zhang X, Xu LP, Zhang XH, et al. Prophylactic Donor Lymphocyte Infusion (DLI) followed by minimal residual disease and graft-versus-host disease-guided multiple DLIs could improve outcomes after allogeneic hematopoietic stem cell transplantation in patients with refractory/relapsed acute leukemia. Biol Blood Marrow Transpl. 2017;23:1311–19. https://doi.org/10.1016/j.bbmt.2017.04.028.
Gao XN, Lin J, Wang SH, Huang WR, Li F, Li HH, et al. Donor lymphocyte infusion for prevention of relapse after unmanipulated haploidentical PBSCT for very high-risk hematologic malignancies. Ann Hematol. 2019;98:185–93. https://doi.org/10.1007/s00277-018-3482-7.
Huang XJ, Wang Y, Liu DH, Xu LP, Chen H, Chen YH, et al. Modified donor lymphocyte infusion (DLI) for the prophylaxis of leukemia relapse after hematopoietic stem cell transplantation in patients with advanced leukemia-feasibility and safety study. J Clin Immunol. 2008;28:390–97. https://doi.org/10.1007/s10875-008-9193-4.
Yang L, Tan Y, Shi J, Zhao Y, Yu J, Hu Y. Prophylactic modified donor lymphocyte infusion after low-dose ATG-F-based haploidentical HSCT with myeloablative conditioning in high-risk acute leukemia: a matched-pair analysis. Bone Marrow Transpl. 2021;56:664–72. https://doi.org/10.1038/s41409-020-01088-7.
Luo Y, Xiao H, Lai X, Shi J, Tan Y, He J, et al. T-cell-replete haploidentical HSCT with low-dose anti-T-lymphocyte globulin compared with matched sibling HSCT and unrelated HSCT. Blood. 2014;124:2735–2743. https://doi.org/10.1182/blood-2014-04-571570.
Scrucca L, Santucci A, Aversa F. Competing risk analysis using R: an easy guide for clinicians. Bone Marrow Transpl. 2007;40:381–87. https://doi.org/10.1038/sj.bmt.1705727.
Giebel S, Czyz A, Ottmann O, Baron F, Brissot E, Ciceri F, et al. Use of tyrosine kinase inhibitors to prevent relapse after allogeneic hematopoietic stem cell transplantation for patients with Philadelphia chromosome-positive acute lymphoblastic leukemia: A position statement of the Acute Leukemia Working Party of the European Society for Blood and Marrow Transplantation. Cancer. 2016;122:2941–51. https://doi.org/10.1002/cncr.30130.
Burchert A, Bug G, Fritz LV, Finke J, Stelljes M, Rollig C, et al. Sorafenib maintenance after allogeneic hematopoietic stem cell transplantation for acute myeloid leukemia with FLT3-Internal Tandem Duplication Mutation (SORMAIN). J Clin Oncol. 2020;38:2993–3002. https://doi.org/10.1200/JCO.19.03345.
Xuan L, Wang Y, Yang K, Shao R, Huang F, Fan Z, et al. Sorafenib maintenance after allogeneic haemopoietic stem-cell transplantation in patients with FLT3-ITD acute myeloid leukaemia: long-term follow-up of an open-label, multicentre, randomised, phase 3 trial. Lancet Haematol. 2023;10:e600–e611. https://doi.org/10.1016/s2352-3026(23)00117-5. e-pub ahead of print 2023/07/07.
Gao L, Zhang Y, Wang S, Kong P, Su Y, Hu J, et al. Effect of rhG-CSF combined with decitabine prophylaxis on relapse of patients with high-risk MRD-negative AML after HSCT: An open-label, multicenter, randomized controlled trial. J Clin Oncol. 2020;38:4249–4259. https://doi.org/10.1200/JCO.19.03277.
Liu L, Chang YJ, Xu LP, Zhang XH, Wang Y, Liu KY, et al. Reversal of T cell exhaustion by the first donor lymphocyte infusion is associated with the persistently effective antileukemic responses in patients with relapsed AML after Allo-HSCT. Biol Blood Marrow Transpl. 2018;24:1350–59. https://doi.org/10.1016/j.bbmt.2018.03.030.
Schultze-Florey CR, Kuhlmann L, Raha S, Barros-Martins J, Odak I, Tan L, et al. Clonal expansion of CD8+ T cells reflects graft-versus-leukemia activity and precedes durable remission following DLI. Blood Adv. 2021;5:4485–99. https://doi.org/10.1182/bloodadvances.2020004073.
Bachireddy P, Azizi E, Burdziak C, Nguyen VN, Ennis CS, Maurer K, et al. Mapping the evolution of T cell states during response and resistance to adoptive cellular therapy. Cell Rep. 2021;37:109992 https://doi.org/10.1016/j.celrep.2021.109992.
Guillaume T, Malard F, Magro L, Labopin M, Tabrizi R, Borel C, et al. Prospective phase II study of prophylactic low-dose azacitidine and donor lymphocyte infusions following allogeneic hematopoietic stem cell transplantation for high-risk acute myeloid leukemia and myelodysplastic syndrome. Bone Marrow Transpl. 2019;54:1815–26. https://doi.org/10.1038/s41409-019-0536-y. e-pub ahead of print 2019/05/16.
Mo XD, Lv M, Huang XJ. Preventing relapse after haematopoietic stem cell transplantation for acute leukaemia: the role of post-transplantation minimal residual disease (MRD) monitoring and MRD-directed intervention. Br J Haematol. 2017;179:184–97. https://doi.org/10.1111/bjh.14778.
Yan CH, Wang JZ, Liu DH, Xu LP, Chen H, Liu KY, et al. Chemotherapy followed by modified donor lymphocyte infusion as a treatment for relapsed acute leukemia after haploidentical hematopoietic stem cell transplantation without in vitro T-cell depletion: superior outcomes compared with chemotherapy alone and an analysis of prognostic factors. Eur J Haematol. 2013;91:304–14. https://doi.org/10.1111/ejh.12168.
Flotho C, Claus R, Batz C, Schneider M, Sandrock I, Ihde S, et al. The DNA methyltransferase inhibitors azacitidine, decitabine and zebularine exert differential effects on cancer gene expression in acute myeloid leukemia cells. Leukemia. 2009;23:1019–28. https://doi.org/10.1038/leu.2008.397.
Goodyear OC, Dennis M, Jilani NY, Loke J, Siddique S, Ryan G, et al. Azacitidine augments expansion of regulatory T cells after allogeneic stem cell transplantation in patients with acute myeloid leukemia (AML). Blood. 2012;119:3361–69. https://doi.org/10.1182/blood-2011-09-377044.
Claiborne J, Bandyopathyay D, Roberts C, Hawks K, Aziz M, Simmons G, et al. Managing post allograft relapse of myeloid neoplasms: azacitidine and donor lymphocyte infusions as salvage therapy. Leuk Lymphoma. 2019;60:2733–43. https://doi.org/10.1080/10428194.2019.1605066.
Poire X, Graux C, Ory A, Herman J, Baron F, Schoemans H, et al. Sequential administration of low dose 5-azacytidine (AZA) and donor lymphocyte infusion (DLI) for patients with acute myeloid leukemia (AML) or myelodysplastic syndrome (MDS) in relapse after allogeneic stem cell transplantation (SCT): a prospective study from the Belgian Hematology Society (BHS). Bone Marrow Transpl. 2022;57:116–8. https://doi.org/10.1038/s41409-021-01464-x.
Qian CS, Ma X, Wang J, Wang TJ, Bai L, Zhou HX, et al. PD1 inhibitor in combination with 5-azacytidine and low-dose DLI for the successful treatment of AML patients who relapsed after transplantation. Bone Marrow Transpl. 2021;56:1003–5. https://doi.org/10.1038/s41409-020-01130-8.
Bruzzese A, Assanto GM, Diverio D, Quattrocchi L, Carmini D, La Rocca U, et al. Pre-emptive use of Sorafenib combined with DLI post HSCT in AML FLT3+: a single center experience. Bone Marrow Transplant. 2021;56:1455–57. https://doi.org/10.1038/s41409-020-01174-w.
Zhao P, Ni M, Ma D, Fang Q, Zhang Y, Li Y, et al. Venetoclax plus azacitidine and donor lymphocyte infusion in treating acute myeloid leukemia patients who relapse after allogeneic hematopoietic stem cell transplantation. Ann Hematol. 2022;101:119–30. https://doi.org/10.1007/s00277-021-04674-x.
Chauvet P, Paviglianiti A, Labopin M, Labussiere H, Boissel N, Robin M et al. Combining blinatumomab and donor lymphocyte infusion in B-ALL patients relapsing after allogeneic hematopoietic cell transplantation: a study of the SFGM-TC. Bone Marrow Transpl. 2022 https://doi.org/10.1038/s41409-022-01846-9.
Acknowledgements
This work was supported by grants from The National Natural Science Foundation of China [grant numbers 81970158, 82170205, 82000180] and Pediatric Leukemia Diagnostic and Therapeutic Technology Research Center of Zhejiang Province [JBZX-201904].
Author information
Authors and Affiliations
Contributions
L.Y. and Y.L. designed the research; L.Y., X.Y., T.Y., Y.L., L.L., J.S., C.Y., and H.X. enrolled and treated patients. L.Y., X.Y., and T.Y. analyzed the data and wrote the manuscript; and all authors provided patient data and gave final approval for the manuscript. The authors declare no competing financial interests.
Corresponding authors
Ethics declarations
Competing interests
The authors declare no competing interests.
Additional information
Publisher’s note Springer Nature remains neutral with regard to jurisdictional claims in published maps and institutional affiliations.
Rights and permissions
Springer Nature or its licensor (e.g. a society or other partner) holds exclusive rights to this article under a publishing agreement with the author(s) or other rightsholder(s); author self-archiving of the accepted manuscript version of this article is solely governed by the terms of such publishing agreement and applicable law.
About this article
Cite this article
Yang, L., Lai, X., Yang, T. et al. Prophylactic versus Preemptive modified donor lymphocyte infusion for high-risk acute leukemia after allogeneic hematopoietic stem cell transplantation: a multicenter retrospective study. Bone Marrow Transplant 59, 85–92 (2024). https://doi.org/10.1038/s41409-023-02137-7
Received:
Revised:
Accepted:
Published:
Version of record:
Issue date:
DOI: https://doi.org/10.1038/s41409-023-02137-7
This article is cited by
-
Phase II study of dual epigenetic targeting with chidamide and azacitidine in patients with high-risk acute myeloid leukemia after allo-HSCT
Clinical Epigenetics (2025)
-
Developmental stage modulates the prognostic impact of RAS pathway mutations in AML patients undergoing Allo-HSCT
Annals of Hematology (2025)
-
A novel conditioning regimen involving haploid immune cell infusion combined with umbilical cord blood transplantation for the treatment of juvenile myelomonocytic leukemia
European Journal of Pediatrics (2025)
-
Current scenario of allogeneic hematopoietic stem cell transplantation in adult patients with relapsed/refractory acute myeloid leukemia: a narrative review
Annals of Hematology (2025)
-
Re: Prophylactic versus preemptive modified donor lymphocyte infusion for high-risk acute leukemia after allogeneic hematopoietic stem cell transplantation: a multicenter retrospective study
Bone Marrow Transplantation (2024)


