Abstract
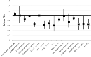
Green tea is commonly consumed in China, Japan, and Korea and certain parts of North Africa and is gaining popularity in other parts of the world. The aim of this review was to objectively evaluate the existing evidence related to green tea consumption and various health outcomes, especially cancer, cardiovascular disease and diabetes. This review captured evidence from meta-analyses as well as expert reports and recent individual studies. For certain individual cancer sites: endometrial, lung, oral and ovarian cancer, and non-Hodgkins lymphoma the majority of meta-analyses observed an inverse association with green tea. Mixed findings were observed for breast, esophageal, gastric, liver and a mostly null association for colorectal, pancreatic, and prostate cancer. No studies reported adverse effects from green tea related to cancer although consuming hot tea has been found to possibly increase the risk of esophageal cancer and concerns of hepatotoxity were raised as a result of high doses of green tea. The literature overall supports an inverse association between green tea and cardiovascular disease-related health outcomes. The evidence for diabetes-related health outcomes is less convincing, while the included meta-analyses generally suggested an inverse association between green tea and BMI-related and blood pressure outcomes. Fewer studies investigated the association between green tea and other health outcomes such as cognitive outcomes, dental health, injuries and respiratory disease. This review concludes that green tea consumption overall may be considered beneficial for human health.
This is a preview of subscription content, access via your institution
Access options
Subscribe to this journal
Receive 12 print issues and online access
$259.00 per year
only $21.58 per issue
Buy this article
- Purchase on SpringerLink
- Instant access to the full article PDF.
USD 39.95
Prices may be subject to local taxes which are calculated during checkout


Similar content being viewed by others
References
Graham HN. Green tea composition, consumption, and polyphenol chemistry. Prev Med. 1992;21:334–50.
World Cancer Research Fund/American Institute for Cancer Research. Non-alcoholic drinks and the risk of cancer. In: Continuous Update Project Expert Report 2018; 2018. Available at dietandcancerreport.org. https://www.wcrf.org/sites/default/files/Non-alcoholic-drinks.pdf.
International Agency for Research on Cancer. IARC monographs on the evaluation of carcinogenic risks to humans, volume 51. Coffee, tea, mate, methylxanthines and methylglyoxal. Lyon: IARC; 1991.
Huang J, Wang Y, Xie Z, Zhou Y, Zhang Y, Wan X. The anti-obesity effects of green tea in human intervention and basic molecular studies. Eur J Clin Nutr. 2014;68:1075–87. https://doi.org/10.1038/ejcn.2014.143.
Xing L, Zhang H, Qi R, Tsao R, Mine Y. Recent advances in the understanding of the health benefits and molecular mechanisms associated with green tea polyphenols. J Agric Food Chem. 2019;67:1029–43. https://doi.org/10.1021/acs.jafc.8b06146.
Dona M, Dell’Aica I, Calabrese F, Benelli R, Morini M, Albini A, et al. Neutrophil restraint by green tea: inhibition of inflammation, associated angiogenesis, and pulmonary fibrosis. J Immunol. 2003;170:4335–41. https://doi.org/10.4049/jimmunol.170.8.4335.
Sudano Roccaro A, Blanco AR, Giuliano F, Rusciano D, Enea V. Epigallocatechin-gallate enhances the activity of tetracycline in staphylococci by inhibiting its efflux from bacterial cells. Antimicrob Agents Chemother. 2004;48:1968–73. https://doi.org/10.1128/AAC.48.6.1968-1973.2004.
Weinreb O, Mandel S, Amit T, Youdim MB. Neurological mechanisms of green tea polyphenols in Alzheimer’s and Parkinson’s diseases. J Nutr Biochem. 2004;15:506–16. https://doi.org/10.1016/j.jnutbio.2004.05.002.
Raederstorff DG, Schlachter MF, Elste V, Weber P. Effect of EGCG on lipid absorption and plasma lipid levels in rats. J Nutr Biochem. 2003;14:326–32. https://doi.org/10.1016/s0955-2863(03)00054-8.
World Cancer Research Fund/American Institute for Cancer Research. Diet, nutrition, physical activity and cancer: a global persepective. Continuous Update Project Expert Report 2018; 2018. Available at dietandcancerreport.org.
Chacko SM, Thambi PT, Kuttan R, Nishigaki I. Beneficial effects of green tea: a literature review. Chin Med. 2010;5:13. https://doi.org/10.1186/1749-8546-5-13.
Yi M, Wu X, Zhuang W, Xia L, Chen Y, Zhao R, et al. Tea consumption and health outcomes: umbrella review of meta-analyses of observational studies in humans. Mol Nutr Food Res. 2019;63:e1900389. https://doi.org/10.1002/mnfr.201900389.
Zhang YF, Xu Q, Lu J, Wang P, Zhang HW, Zhou L, et al. Tea consumption and the incidence of cancer: a systematic review and meta-analysis of prospective observational studies. Eur J Cancer Prev. 2015;24:353–62. https://doi.org/10.1097/cej.0000000000000094.
Pang J, Zhang Z, Zheng TZ, Bassig BA, Mao C, Liu X, et al. Green tea consumption and risk of cardiovascular and ischemic related diseases: a meta-analysis. Int J Cardiol. 2016;202:967–74. https://doi.org/10.1016/j.ijcard.2014.12.176.
Poole R, Kennedy OJ, Roderick P, Fallowfield JA, Hayes PC, Parkes J. Coffee consumption and health: umbrella review of meta-analyses of multiple health outcomes. BMJ. 2017;359:j5024. https://doi.org/10.1136/bmj.j5024.
Gardner EJ, Ruxton CH, Leeds AR. Black tea–helpful or harmful? A review of the evidence. Eur J Clin Nutr. 2007;61:3–18. https://doi.org/10.1038/sj.ejcn.1602489.
Ouzzani MHH, Fedorowicz Z, Elmagarmid A. Rayyan—a web and mobile app for systematic reviews. Syst Rev. 2016;5:210.
Boehm K, Borrelli F, Ernst E, Habacher G, Hung SK, Milazzo S, et al. Green tea (Camellia sinensis) for the prevention of cancer. Cochrane Database Syst Rev. 2009; CD005004. https://doi.org/10.1002/14651858.CD005004.pub2.
Johnson R, Bryant S, Huntley AL. Green tea and green tea catechin extracts: an overview of the clinical evidence. Maturitas. 2012;73:280–7. https://doi.org/10.1016/j.maturitas.2012.08.008.
Eisenstein M. Tea’s value as a cancer therapy is steeped in uncertainty. Nature. 2019;566:S6.
Abe SK, Saito E, Sawada N, Tsugane S, Ito H, Lin Y, et al. Green tea consumption and mortality in Japanese men and women: a pooled analysis of eight population-based cohort studies in Japan. Eur J Epidemiol. 2019. https://doi.org/10.1007/s10654-019-00545-y.
Tang J, Zheng JS, Fang L, Jin Y, Cai W, Li D. Tea consumption and mortality of all cancers, CVD and all causes: a meta-analysis of eighteen prospective cohort studies. Br J Nutr. 2015;114:673–83. https://doi.org/10.1017/S0007114515002329.
Wang X, Lin YW, Wang S, Wu J, Mao QQ, Zheng XY, et al. A meta-analysis of tea consumption and the risk of bladder cancer. Urol Int. 2013;90:10–16. https://doi.org/10.1159/000342804.
Bai Y, Yuan H, Li J, Tang Y, Pu C, Han P. Relationship between bladder cancer and total fluid intake: a meta-analysis of epidemiological evidence. World J Surg Oncol. 2014;12:223 https://doi.org/10.1186/1477-7819-12-223.
Weng H, Zeng XT, Li S, Kwong JS, Liu TZ, Wang XH. Tea consumption and risk of bladder cancer: a dose-response meta-analysis. Front Physiol. 2016;7:693. https://doi.org/10.3389/fphys.2016.00693.
Hong X, Xu Q, Lan K, Huang H, Zhang Y, Chen S, et al. The effect of daily fluid management and beverages consumption on the risk of bladder cancer: a meta-analysis of observational study. Nutr Cancer. 2018;70:1217–27. https://doi.org/10.1080/01635581.2018.1512636.
Qin J, Xie B, Mao Q, Kong D, Lin Y, Zheng X. Tea consumption and risk of bladder cancer: a meta-analysis. World J Surg Oncol. 2012;10:172. https://doi.org/10.1186/1477-7819-10-172.
Wu S, Li F, Huang X, Hua Q, Huang T, Liu Z, et al. The association of tea consumption with bladder cancer risk: a meta-analysis. Asia Pac J Clin Nutr. 2013;22:128–37. https://doi.org/10.6133/apjcn.2013.22.1.15.
Yu S, Zhu L, Wang K, Yan Y, He J, Ren Y. Green tea consumption and risk of breast cancer: a systematic review and updated meta-analysis of case-control studies. Medicine. 2019;98:e16147. https://doi.org/10.1097/md.0000000000016147.
Gianfredi V, Nucci D, Abalsamo A, Acito M, Villarini M, Moretti M, et al. Green tea consumption and risk of breast cancer and recurrence—a systematic review and meta-analysis of observational studies. Nutrients. 2018; 10. https://doi.org/10.3390/nu10121886.
Ogunleye AA, Xue F, Michels KB. Green tea consumption and breast cancer risk or recurrence: a meta-analysis. Breast Cancer Res Treat. 2010;119:477–84. https://doi.org/10.1007/s10549-009-0415-0.
Sun CL, Yuan JM, Koh WP, Yu MC. Green tea, black tea and breast cancer risk: a meta-analysis of epidemiological studies. Carcinogenesis. 2006;27:1310–5. https://doi.org/10.1093/carcin/bgi276.
Gao Y, Huang YB, Liu XO, Chen C, Dai HJ, Song FJ, et al. Tea consumption, alcohol drinking and physical activity associations with breast cancer risk among Chinese females: a systematic review and meta-analysis. Asian Pac J Cancer Prev. 2013;14:7543–50. https://doi.org/10.7314/apjcp.2013.14.12.7543.
Wang Y, Zhao Y, Chong F, Song M, Sun Q, Li T, et al. A dose-response meta-analysis of green tea consumption and breast cancer risk. Int J Food Sci Nutr. 2020:1–12. https://doi.org/10.1080/09637486.2020.1715353.
Najaf Najafi M, Salehi M, Ghazanfarpour M, Hoseini ZS, Khadem-Rezaiyan M. The association between green tea consumption and breast cancer risk: a systematic review and meta-analysis. Phytother Res. 2018;32:1855–64. https://doi.org/10.1002/ptr.6124.
Seely D, Mills EJ, Wu P, Verma S, Guyatt GH. The effects of green tea consumption on incidence of breast cancer and recurrence of breast cancer: a systematic review and meta-analysis. Integr Cancer Ther. 2005;4:144–55. https://doi.org/10.1177/1534735405276420.
Wu Y, Zhang D, Kang S. Black tea, green tea and risk of breast cancer: an update. Springerplus. 2013;2:240. https://doi.org/10.1186/2193-1801-2-240.
Wang SK, Xiao HM, Xia H, Sun GJ. Tea consumption and risk of breast cancer: a meta-analysis. Int J Clin Pharm Ther. 2018;56:617–9. https://doi.org/10.5414/cp203303.
Yu F, Jin Z, Jiang H, Xiang C, Tang J, Li T, et al. Tea consumption and the risk of five major cancers: a dose-response meta-analysis of prospective studies. BMC Cancer. 2014;14:197. https://doi.org/10.1186/1471-2407-14-197.
Chen Y, Wu Y, Du M, Chu H, Zhu L, Tong N, et al. An inverse association between tea consumption and colorectal cancer risk. Oncotarget. 2017;8:37367–76. https://doi.org/10.18632/oncotarget.16959.
Wang XJ, Zeng XT, Duan XL, Zeng HC, Shen R, Zhou P. Association between green tea and colorectal cancer risk: a meta-analysis of 13 case-control studies. Asian Pac J Cancer Prev. 2012;13:3123–7. https://doi.org/10.7314/apjcp.2012.13.7.3123. e-pub ahead of print 2012/09/22.
Wang ZH, Gao QY, Fang JY. Green tea and incidence of colorectal cancer: evidence from prospective cohort studies. Nutr Cancer. 2012;64:1143–52. https://doi.org/10.1080/01635581.2012.718031.
Zhang Y, Zhang Y, Wu X, Xiang M, Ma Y. Tea consumption reduces the incidence of gallbladder cancer based on a meta-analysis of epidemiologic studies. Sci China Life Sci. 2015;58:922–4. https://doi.org/10.1007/s11427-015-4896-2.
Sun CL, Yuan JM, Koh WP, Yu MC. Green tea, black tea and colorectal cancer risk: a meta-analysis of epidemiologic studies. Carcinogenesis. 2006;27:1301–9. https://doi.org/10.1093/carcin/bgl024.
Yi Y, Liang H, Jing H, Jian Z, Guang Y, Jun Z, et al. Green tea consumption and esophageal cancer risk: a meta-analysis. Nutr Cancer. 2019:1–9. https://doi.org/10.1080/01635581.2019.1636101.
Sang LX, Chang B, Li XH, Jiang M. Green tea consumption and risk of esophageal cancer: a meta-analysis of published epidemiological studies. Nutr Cancer. 2013;65:802–12. https://doi.org/10.1080/01635581.2013.805423.
Zheng JS, Yang J, Fu YQ, Huang T, Huang YJ, Li D. Effects of green tea, black tea, and coffee consumption on the risk of esophageal cancer: a systematic review and meta-analysis of observational studies. Nutr Cancer. 2013;65:1–16. https://doi.org/10.1080/01635581.2013.741762.
Zheng P, Zheng HM, Deng XM, Zhang YD. Green tea consumption and risk of esophageal cancer: a meta-analysis of epidemiologic studies. BMC Gastroenterol. 2012;12:165. https://doi.org/10.1186/1471-230x-12-165.
Zhou Y, Li N, Zhuang W, Liu G, Wu T, Yao X, et al. Green tea and gastric cancer risk: meta-analysis of epidemiologic studies. Asia Pac J Clin Nutr. 2008;17:159–65.
Huang Y, Chen H, Zhou L, Li G, Yi D, Zhang Y, et al. Association between green tea intake and risk of gastric cancer: a systematic review and dose-response meta-analysis of observational studies. Public Health Nutr. 2017;20:3183–92. https://doi.org/10.1017/s1368980017002208.
Myung SK, Bae WK, Oh SM, Kim Y, Ju W, Sung J, et al. Green tea consumption and risk of stomach cancer: a meta-analysis of epidemiologic studies. Int J Cancer. 2009;124:670–7. https://doi.org/10.1002/ijc.23880.
Kang H, Rha SY, Oh KW, Nam CM. Green tea consumption and stomach cancer risk: a meta-analysis. Epidemiol Health. 2010;32:e2010001. https://doi.org/10.4178/epih/e2010001.
Huang YQ, Lu X, Min H, Wu QQ, Shi XT, Bian KQ, et al. Green tea and liver cancer risk: a meta-analysis of prospective cohort studies in Asian populations. Nutrition. 2016;32:3–8. https://doi.org/10.1016/j.nut.2015.05.021.
Ni CX, Gong H, Liu Y, Qi Y, Jiang CL, Zhang JP. Green tea consumption and the risk of liver cancer: a meta-analysis. Nutr Cancer. 2017;69:211–20. https://doi.org/10.1080/01635581.2017.1263754.
Yin X, Yang J, Li T, Song L, Han T, Yang M, et al. The effect of green tea intake on risk of liver disease: a meta analysis. Int J Clin Exp Med. 2015;8:8339–46.
Fon Sing M, Yang WS, Gao S, Gao J, Xiang YB. Epidemiological studies of the association between tea drinking and primary liver cancer: a meta-analysis. Eur J Cancer Prev. 2011;20:157–65. https://doi.org/10.1097/CEJ.0b013e3283447497. e-pub ahead of print 2011/03/16.
Tanaka K, Tamakoshi A, Sugawara Y, Mizoue T, Inoue M, Sawada N, et al. Coffee, green tea and liver cancer risk: an evaluation based on a systematic review of epidemiologic evidence among the Japanese population. Jpn J Clin Oncol. 2019;49:972–84. https://doi.org/10.1093/jjco/hyz097.
Guo Z, Jiang M, Luo W, Zheng P, Huang H, Sun B. Association of lung cancer and tea-drinking habits of different subgroup populations: meta-analysis of case-control studies and cohort studies. Iran J Public Health. 2019;48:1566–76.
Tang N, Wu Y, Zhou B, Wang B, Yu R. Green tea, black tea consumption and risk of lung cancer: a meta-analysis. Lung Cancer. 2009;65:274–83. https://doi.org/10.1016/j.lungcan.2008.12.002.
Wang Y, Yu X, Wu Y, Zhang D. Coffee and tea consumption and risk of lung cancer: a dose-response analysis of observational studies. Lung Cancer. 2012;78:169–70. https://doi.org/10.1016/j.lungcan.2012.08.009.
Wang L, Zhang X, Liu J, Shen L, Li Z. Tea consumption and lung cancer risk: a meta-analysis of case-control and cohort studies. Nutrition. 2014;30:1122–7. https://doi.org/10.1016/j.nut.2014.02.023.
Mirtavoos-Mahyari H, Salehipour P, Parohan M, Sadeghi A. Effects of coffee, black tea and green tea consumption on the risk of non-Hodgkin’s lymphoma: a systematic review and dose-response meta-analysis of observational studies. Nutr Cancer. 2019;71:887–97. https://doi.org/10.1080/01635581.2019.1595055.
Wang W, Yang Y, Zhang W, Wu W. Association of tea consumption and the risk of oral cancer: a meta-analysis. Oral Oncol. 2014;50:276–81. https://doi.org/10.1016/j.oraloncology.2013.12.014.
Liu Q, Jiao Y, Zhao Y, Wang YR, Li J, Ma S, et al. Tea consumption reduces the risk of oral cancer: a systematic review and meta-analysis. Int J Clin Exp Med. 2016;9:2688–97.
Zeng JL, Li ZH, Wang ZC, Zhang HL. Green tea consumption and risk of pancreatic cancer: a meta-analysis. Nutrients. 2014;6:4640–50. https://doi.org/10.3390/nu6114640.
Wei J, Chen L, Zhu X. Tea drinking and risk of pancreatic cancer. Chin Med J. 2014;127:3638–44.
Chang B, Sang L, Wang Y, Tong J, Wang BY. Consumption of tea and risk for pancreatic cancer: a meta-analysis of published epidemiological studies. Nutr Cancer. 2014;66:1109–23. https://doi.org/10.1080/01635581.2014.951730.
Chen K, Zhang Q, Peng M, Shen Y, Wan P, Xie G. Relationship between tea consumption and pancreatic cancer risk: a meta-analysis based on prospective cohort studies and case-control studies. Eur J Cancer Prev. 2014;23:353–60. https://doi.org/10.1097/cej.0000000000000033.
Guo Y, Zhi F, Chen P, Zhao K, Xiang H, Mao Q, et al. Green tea and the risk of prostate cancer: a systematic review and meta-analysis. Medicine. 2017;96:e6426. https://doi.org/10.1097/md.0000000000006426.
Lin YW, Hu ZH, Wang X, Mao QQ, Qin J, Zheng XY, et al. Tea consumption and prostate cancer: an updated meta-analysis. World J Surg Oncol. 2014;12:38. https://doi.org/10.1186/1477-7819-12-38.
Zheng J, Yang B, Huang T, Yu Y, Yang J, Li D. Green tea and black tea consumption and prostate cancer risk: an exploratory meta-analysis of observational studies. Nutr Cancer. 2011;63:663–72. https://doi.org/10.1080/01635581.2011.570895.
Fei X, Shen Y, Li X, Guo H. The association of tea consumption and the risk and progression of prostate cancer: a meta-analysis. Int J Clin Exp Med. 2014;7:3881–91.
Butler LM, Wu AH. Green and black tea in relation to gynecologic cancers. Mol Nutr Food Res. 2011;55:931–40. https://doi.org/10.1002/mnfr.201100058.
Gao M, Ma W, Chen XB, Chang ZW, Zhang XD, Zhang MZ. Meta-analysis of green tea drinking and the prevalence of gynecological tumors in women. Asia Pac J Public Health. 2013;25 Suppl 4:43s–48s. https://doi.org/10.1177/1010539513493313.
Nagle CM, Olsen CM, Bain CJ, Whiteman DC, Green AC, Webb PM. Tea consumption and risk of ovarian cancer. Cancer Causes Control. 2010;21:1485–91. https://doi.org/10.1007/s10552-010-9577-7.
Zhang D, Kaushiva A, Xi Y, Wang T, Li N. Non-herbal tea consumption and ovarian cancer risk: a systematic review and meta-analysis of observational epidemiologic studies with indirect comparison and dose-response analysis. Carcinogenesis. 2018;39:808–18. https://doi.org/10.1093/carcin/bgy048.
Tang NP, Li H, Qiu YL, Zhou GM, Ma J. Tea consumption and risk of endometrial cancer: a metaanalysis. Am J Obstet Gynecol. 2009;201:605.e601–608. https://doi.org/10.1016/j.ajog.2009.07.030.
Zhou Q, Li H, Zhou JG, Ma Y, Wu T, Ma H. Green tea, black tea consumption and risk of endometrial cancer: a systematic review and meta-analysis. Arch Gynecol Obstet. 2016;293:143–55. https://doi.org/10.1007/s00404-015-3811-1.
Islami F, Poustchi H, Pourshams A, Khoshnia M, Gharavi A, Kamangar F, et al. A prospective study of tea drinking temperature and risk of esophageal squamous cell carcinoma. Int J Cancer. 2019. https://doi.org/10.1002/ijc.32220.
Inoue M, Sasazuki S, Wakai K, Suzuki T, Matsuo K, Shimazu T, et al. Green tea consumption and gastric cancer in Japanese: a pooled analysis of six cohort studies. Gut. 2009;58:1323–32. https://doi.org/10.1136/gut.2008.166710.
Isomura T, Suzuki S, Origasa H, Hosono A, Suzuki M, Sawada T, et al. Liver-related safety assessment of green tea extracts in humans: a systematic review of randomized controlled trials. Eur J Clin Nutr. 2016;70:1221–9. https://doi.org/10.1038/ejcn.2016.78.
Mazzanti G, Menniti-Ippolito F, Moro PA, Cassetti F, Raschetti R, Santuccio C, et al. Hepatotoxicity from green tea: a review of the literature and two unpublished cases. Eur J Clin Pharmacol. 2009;65:331–41. https://doi.org/10.1007/s00228-008-0610-7. e-pub ahead of print 2009/02/10.
Zhang X, Albanes D, Beeson WL, van den Brandt PA, Buring JE, Flood A, et al. Risk of colon cancer and coffee, tea, and sugar-sweetened soft drink intake: pooled analysis of prospective cohort studies. J Natl Cancer Inst. 2010;102:771–83. https://doi.org/10.1093/jnci/djq107.
Zhang C, Qin YY, Wei X, Yu FF, Zhou YH, He J. Tea consumption and risk of cardiovascular outcomes and total mortality: a systematic review and meta-analysis of prospective observational studies. Eur J Epidemiol. 2015;30:103–13. https://doi.org/10.1007/s10654-014-9960-x.
Arab L, Liu W, Elashoff D. Green and black tea consumption and risk of stroke: a meta-analysis. Stroke. 2009;40:1786–92. https://doi.org/10.1161/strokeaha.108.538470.
Shen L, Song LG, Ma H, Jin CN, Wang JA, Xiang MX. Tea consumption and risk of stroke: a dose-response meta-analysis of prospective studies. J Zhejiang Univ Sci B. 2012;13:652–62. https://doi.org/10.1631/jzus.B1201001. e-pub ahead of print 2012/07/31.
Wang ZM, Zhou B, Wang YS, Gong QY, Wang QM, Yan JJ, et al. Black and green tea consumption and the risk of coronary artery disease: a meta-analysis. Am J Clin Nutr. 2011;93:506–15. https://doi.org/10.3945/ajcn.110.005363. e-pub ahead of print 2011/01/21.
American Heart Association. Coronary artery disease - coronary heart disease. (American Heart Association, 2015). https://www.heart.org/en/health-topics/consumer-healthcare/what-is-cardiovascular-disease/coronaryartery-disease.
Yu J, Song P, Perry R, Penfold C, Cooper AR. The effectiveness of green tea or green tea extract on insulin resistance and glycemic control in type 2 diabetes mellitus: a meta-analysis. Diabetes Metab J. 2017;41:2510–262. https://doi.org/10.4093/dmj.2017.41.4.251.
Wang X, Tian J, Jiang J, Li L, Ying X, Tian H, et al. Effects of green tea or green tea extract on insulin sensitivity and glycaemic control in populations at risk of type 2 diabetes mellitus: a systematic review and meta-analysis of randomised controlled trials. J Hum Nutr Diet. 2014;27:501–12. https://doi.org/10.1111/jhn.12181.
Li Y, Wang C, Huai Q, Guo F, Liu L, Feng R, et al. Effects of tea or tea extract on metabolic profiles in patients with type 2 diabetes mellitus: a meta-analysis of ten randomized controlled trials. Diabetes Metab Res Rev. 2016;32:2–10. https://doi.org/10.1002/dmrr.2641.
Yang WS, Wang WY, Fan WY, Deng Q, Wang X. Tea consumption and risk of type 2 diabetes: a dose-response meta-analysis of cohort studies. Br J Nutr. 2014;111:1329–39. https://doi.org/10.1017/s0007114513003887. e-pub ahead of print 2013/12/18.
Kondo Y, Goto A, Noma H, Iso H, Hayashi K, Noda M. Effects of coffee and tea consumption on glucose metabolism: a systematic review and network meta-analysis. Nutrients. 2018;11. https://doi.org/10.3390/nu11010048.
Liu K, Zhou R, Wang B, Chen K, Shi LY, Zhu JD, et al. Effect of green tea on glucose control and insulin sensitivity: a meta-analysis of 17 randomized controlled trials. Am J Clin Nutr. 2013;98:340–8. https://doi.org/10.3945/ajcn.112.052746.
Nahas R, Moher M. Complementary and alternative medicine for the treatment of type 2 diabetes. Can Fam Physician. 2009;55:591–6.
Phung OJ, Baker WL, Matthews LJ, Lanosa M, Thorne A, Coleman CI. Effect of green tea catechins with or without caffeine on anthropometric measures: a systematic review and meta-analysis. Am J Clin Nutr. 2010;91:73–81. https://doi.org/10.3945/ajcn.2009.28157.
Vazquez Cisneros LC, Lopez-Uriarte P, Lopez-Espinoza A, Navarro Meza M, Espinoza-Gallardo AC, Guzman Aburto MB. Effects of green tea and its epigallocatechin (EGCG) content on body weight and fat mass in humans: a systematic review. Nutr Hosp. 2017;34:731–7. https://doi.org/10.20960/nh.753.
Hibi M, Takase H, Iwasaki M, Osaki N, Katsuragi Y. Efficacy of tea catechin-rich beverages to reduce abdominal adiposity and metabolic syndrome risks in obese and overweight subjects: a pooled analysis of 6 human trials. Nutr Res. 2018;55:1–10. https://doi.org/10.1016/j.nutres.2018.03.012.
Hursel R, Viechtbauer W, Westerterp-Plantenga MS. The effects of green tea on weight loss and weight maintenance: a meta-analysis. Int J Obes. 2009;33:956–61. https://doi.org/10.1038/ijo.2009.135.
Jurgens TM, Whelan AM, Killian L, Doucette S, Kirk S, Foy E. Green tea for weight loss and weight maintenance in overweight or obese adults. Cochrane Database Syst Rev. 2012;12:Cd008650. https://doi.org/10.1002/14651858.CD008650.pub2. e-pub ahead of print 2012/12/14.
Golzarand M, Toolabi K, Aghasi M. Effect of green tea, caffeine and capsaicin supplements on the anthropometric indices: a meta-analysis of randomized clinical trials. J Funct Food 2018;46:320–8. https://doi.org/10.1016/j.jff.2018.04.002.
van Baak MA, Mariman ECM. Dietary strategies for weight loss maintenance. Nutrients. 2019;11. https://doi.org/10.3390/nu11081916.
Khalesi S, Sun J, Buys N, Jamshidi A, Nikbakht-Nasrabadi E, Khosravi-Boroujeni H. Green tea catechins and blood pressure: a systematic review and meta-analysis of randomised controlled trials. Eur J Nutr. 2014;53:1299–311. https://doi.org/10.1007/s00394-014-0720-1.
Liu G, Mi XN, Zheng XX, Xu YL, Lu J, Huang XH. Effects of tea intake on blood pressure: a meta-analysis of randomised controlled trials. Br J Nutr. 2014;112:1043–54. https://doi.org/10.1017/s0007114514001731. e-pub ahead of print 2014/08/20.
Onakpoya I, Spencer E, Heneghan C, Thompson M. The effect of green tea on blood pressure and lipid profile: a systematic review and meta-analysis of randomized clinical trials. Nutr Metab Cardiovasc Dis. 2014;24:823–36. https://doi.org/10.1016/j.numecd.2014.01.016.
Peng X, Zhou R, Wang B, Yu X, Yang X, Liu K, et al. Effect of green tea consumption on blood pressure: a meta-analysis of 13 randomized controlled trials. Sci Rep. 2014;4:6251. https://doi.org/10.1038/srep06251. e-pub ahead of print 2014/09/02.
Huxley R, Lee CM, Barzi F, Timmermeister L, Czernichow S, Perkovic V, et al. Coffee, decaffeinated coffee, and tea consumption in relation to incident type 2 diabetes mellitus: a systematic review with meta-analysis. Arch Intern Med. 2009;169:2053–63. https://doi.org/10.1001/archinternmed.2009.439.
Odegaard AO, Pereira MA, Koh WP, Arakawa K, Lee HP, Yu MC. Coffee, tea, and incident type 2 diabetes: the Singapore Chinese Health Study. Am J Clin Nutr. 2008;88:979–85. https://doi.org/10.1093/ajcn/88.4.979. e-pub ahead of print 2008/10/10.
Iso H, Date C, Wakai K, Fukui M, Tamakoshi A, Group JS. The relationship between green tea and total caffeine intake and risk for self-reported type 2 diabetes among Japanese adults. Ann Intern Med. 2006;144:554–62.
Agrawal SK, Dahal S, Bhumika TV, Nair NS. Evaluating sanitization of toothbrushes using various decontamination methods: a meta-analysis. J Nepal Health Res Counc. 2019;16:364–71. e-pub ahead of print 2019/02/12.
Oh CM, Oh IH, Choe BK, Yoon TY, Choi JM, Hwang J. Consuming green tea at least twice each day is associated with reduced odds of chronic obstructive lung disease in middle-aged and older korean adults. J Nutr. 2018;148:70–76. https://doi.org/10.1093/jn/nxx016.
Liu X, Du X, Han G, Gao W. Association between tea consumption and risk of cognitive disorders: a dose-response meta-analysis of observational studies. Oncotarget. 2017;8:43306–21. https://doi.org/10.18632/oncotarget.17429. e-pub ahead of print 2017/05/13.
Yang CS, Lee MJ, Chen L, Yang GY. Polyphenols as inhibitors of carcinogenesis. Environ Health Perspect. 1997;105 Suppl 4:971–6.
Yang CS, Wang X, Lu G, Picinich SC. Cancer prevention by tea: animal studies, molecular mechanisms and human relevance. Nat Rev Cancer. 2009;9:429–39. https://doi.org/10.1038/nrc2641.
van Dam RM, Naidoo N, Landberg R. Dietary flavonoids and the development of type 2 diabetes and cardiovascular diseases: review of recent findings. Curr Opin Lipidol. 2013;24:25–33. https://doi.org/10.1097/MOL.0b013e32835bcdff.
Wang H, Provan G, Helliwell K. The functional benefits of flavonoids: the case of tea. In: Johnson I, Williamson G, Editors. Phytochemical funtional foods. Cambridge: Woodhead Publishing; 2003.
Schneider C, Segre T. Green tea: potential health benefits. Am Fam Physician. 2009;79:591–4.
Nagao T, Hase T, Tokimitsu I. A green tea extract high in catechins reduces body fat and cardiovascular risks in humans. Obesity. 2007;15:1473–83. https://doi.org/10.1038/oby.2007.176. e-pub ahead of print 2007/06/15.
Zheng XX, Xu YL, Li SH, Liu XX, Hui R, Huang XH. Green tea intake lowers fasting serum total and LDL cholesterol in adults: a meta-analysis of 14 randomized controlled trials. Am J Clin Nutr. 2011;94:601–10. https://doi.org/10.3945/ajcn.110.010926.
Zheng XX, Xu YL, Li SH, Hui R, Wu YJ, Huang XH. Effects of green tea catechins with or without caffeine on glycemic control in adults: a meta-analysis of randomized controlled trials. Am J Clin Nutr. 2013;97:750–62. https://doi.org/10.3945/ajcn.111.032573.
Zucchi R, Ronca-Testoni S. The sarcoplasmic reticulum Ca2+ channel/ryanodine receptor: modulation by endogenous effectors, drugs and disease states. Pharmacol Rev. 1997;49:1–51.
Spyridopoulos I, Fichtlscherer S, Popp R, Toennes SW, Fisslthaler B, Trepels T, et al. Caffeine enhances endothelial repair by an AMPK-dependent mechanism. Arterioscler Thromb Vasc Biol. 2008;28:1967–74. https://doi.org/10.1161/ATVBAHA.108.174060.
Yang J, Mao QX, Xu HX, Ma X, Zeng CY. Tea consumption and risk of type 2 diabetes mellitus: a systematic review and meta-analysis update. BMJ Open. 2014;4:e005632. https://doi.org/10.1136/bmjopen-2014-005632. e-pub ahead of print 2014/07/24.
Ferreira MA, Silva DM, de Morais AC Jr., Mota JF, Botelho PB. Therapeutic potential of green tea on risk factors for type 2 diabetes in obese adults—a review. Obes Rev. 2016;17:1316–28. https://doi.org/10.1111/obr.12452.
Ali AT, Hochfeld WE, Myburgh R, Pepper MS. Adipocyte and adipogenesis. Eur J Cell Biol. 2013;92:229–36. https://doi.org/10.1016/j.ejcb.2013.06.001.
Funding
This study was supported by the National Cancer Center Research and Development Funds (30-A-15).
Author information
Authors and Affiliations
Contributions
SKA designed the research, compiled the findings and drafted the manuscript. MI checked the manuscript for intellectual content.
Corresponding author
Ethics declarations
Conflict of interest
The authors declare that they have no conflict of interest.
Additional information
Publisher’s note Springer Nature remains neutral with regard to jurisdictional claims in published maps and institutional affiliations.
Rights and permissions
About this article
Cite this article
Abe, S.K., Inoue, M. Green tea and cancer and cardiometabolic diseases: a review of the current epidemiological evidence. Eur J Clin Nutr 75, 865–876 (2021). https://doi.org/10.1038/s41430-020-00710-7
Received:
Accepted:
Published:
Version of record:
Issue date:
DOI: https://doi.org/10.1038/s41430-020-00710-7
This article is cited by
-
Association of herbal tea consumption with cardiovascular diseases in the general population: evidence from the MESA cohort
Nutrition Journal (2025)
-
The relationship between green tea consumption and happiness
Scientific Reports (2025)
-
Hot beverage intake and oesophageal cancer in the UK Biobank: prospective cohort study
British Journal of Cancer (2025)
-
Green Synthesis of Gold Nanoparticles (AuNPs) by Using Plant Extract and Their Biological Application: A Review
BioNanoScience (2025)
-
The healthy beverage index is not associated with insulin resistance, prediabetes and type 2 diabetes risk in the Rotterdam Study
European Journal of Nutrition (2023)


