Fig. 2
From: Transport evidence of asymmetric spin–orbit coupling in few-layer superconducting 1Td-MoTe2

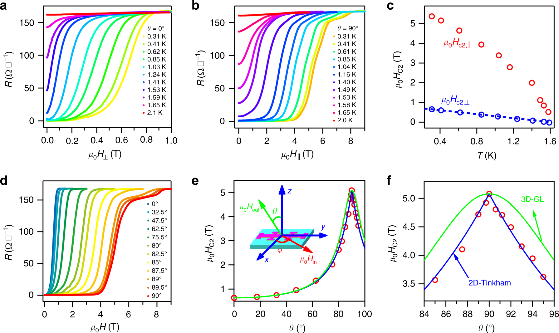
Two-dimensional superconductivity in few-layer 1Td-MoTe2 crystals. a, b Superconducting resistive transition of the 8.6-nm-thick MoTe2 crystal in perpendicular magnetic field (a) and in parallel magnetic field (b). c Temperature dependence of the upper critical field μ0Hc2 corresponding to reduced resistance r = 0.5, with magnetic field directions parallel (\(\mu _0H_{{\mathrm{c}}2,\parallel }\)) and perpendicular (\(\mu _0H_{{\mathrm{c}}2, \bot }\)) to the crystal plane. The dashed line is fitting to the 2D Ginzburg–Landau theory. d Magnetic field dependence of the sheet resistance of the 8.6-nm MoTe2 device at T = 0.3 K with different tilted angles θ. e Angular dependence of the upper critical field μ0Hc2. The solid lines represent the fitting with the 2D Tinkham formula \(\left| {\frac{{H_{{\mathrm{c}}2}(\theta )\cos \theta }}{{H_{{\mathrm{c}}2, \bot }}}} \right| + \left( {\frac{{H_{{\mathrm{c}}2}(\theta )\sin \theta }}{{H_{{\mathrm{c}}2,\parallel }}}} \right)^2 = 1\) (blue line) and the 3D anisotropic mass model (3D-GL) \(\left( {\frac{{H_{c2}(\theta )\cos \theta }}{{H_{{\mathrm{c}}2, \bot }}}} \right)^2 + \left( {\frac{{H_{c2}(\theta )\sin \theta }}{{H_{{\mathrm{c}}2,\parallel }}}} \right)^2 = 1\) (green line), respectively. The inset is a schematic drawing of the tilt experiment setup, where x, y, and z represents the crystallographic b-, a-, and c-axis, θ is the out-of-plane tilted angle between the out-of-plane magnetic field Bout and the positive direction of z-axis, and φ is the in-plane tilted angle between the in-plane magnetic field Bin and the positive direction of y-axis. f Zoom-in view of the region around θ = 90º